Beyond Brute Force: Why LoongFlow is the “Thinking” Evolution of OpenEvolve
From Random Mutation to Causal Reasoning: A Deep Dive into the Next Generation of Evolutionary Agents.
In the wake of DeepMind's AlphaEvolve, the AI community has been fascinated by the concept of Evolutionary Agents. The promise is tantalizing: agents that don't just execute code, but improve it over time, evolving solutions that human programmers might never conceive.
For a while, OpenEvolve has been the standard-bearer for open-source implementations of this concept. It utilizes a "survival of the fittest" approach - generating random code mutations and keeping the best results. However, developers attempting to use it for complex, real-world tasks often hit a wall. The process is computationally expensive, unstable, and often gets stuck in local optima.
Enter LoongFlow.
LoongFlow positions itself not just as an "evolutionary" framework, but as an agent that "thinks and learns." By shifting from random mutation to a structured PES (Plan-Execute-Summary) paradigm, it claims to achieve expert-level performance where others fail.
In this article, we'll compare LoongFlow directly against OpenEvolve to see if the architecture matches the hype.
1. The Core Philosophy: "Blind Mutation" vs. "Expert Intuition"
The fundamental difference between the two frameworks lies in how they iterate.
OpenEvolve: The Brute Force Approach
OpenEvolve generally follows the classic evolutionary algorithm pattern found in AlphaEvolve. It relies on random variation and selection.
Mechanism: It generates code -> evaluates it -> keeps the elite -> mutates again.
The Flaw: As noted in LoongFlow's analysis, this is akin to "blind attempts". It lacks a feedback loop for why a previous attempt failed. It's like a person trying to crack a safe by guessing random numbers.
LoongFlow: The PES Paradigm
LoongFlow introduces the PES (Plan-Execute-Summary) thinking paradigm. It mimics how a human scientist conducts research:
Plan: Instead of guessing, the agent analyzes the task and history to build a blueprint.
Execute: It implements the code with flexible error correction, not just blind luck.
Summary: This is the game-changer. The agent performs a "multi-dimensional review," summarizing what worked and what didn't, and storing this into a structured memory.
The Analogy:
If OpenEvolve is Thomas Edison testing 6,000 materials to find a lightbulb filament (exhaustive search), LoongFlow is a modern physicist analyzing material properties to deduce the best candidate in just a few attempts.
2. Benchmark Battle: Efficiency and Stability
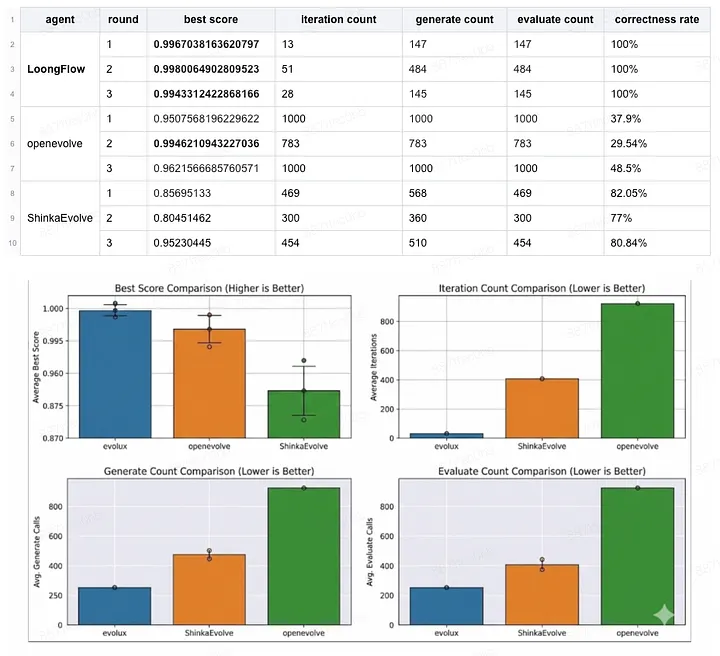
Philosophy is fine, but does it work? The LoongFlow team ran head-to-head comparisons against OpenEvolve and ShinkaEvolve using the Circle Packing problem (a standard math optimization challenge).
We conducted two separate experiments to evaluate performance under different constraints: Evolution Efficiency (how fast it solves the problem) and Stability (how consistently it succeeds).
Experiment 1: Efficiency & Stability Test
Setup: DeepSeek-R1–0528 model, 24-hour time limit.
Metric: We measured the Best Score (higher is better) and the number of iterations required to reach it (lower is better).
Key Findings:
Massive Efficiency Gap: LoongFlow is exponentially faster. It required an average of only 258 generation calls to solve the problem, whereas OpenEvolve needed nearly 4x more calls (927) and still failed to converge in two out of three runs.
Stability: LoongFlow achieved a 100% success rate, consistently hitting scores above 0.99. OpenEvolve was highly unstable - in one run it hit 0.99, but in others, it plateaued at 0.95 or 0.96 despite running for 1,000 iterations.
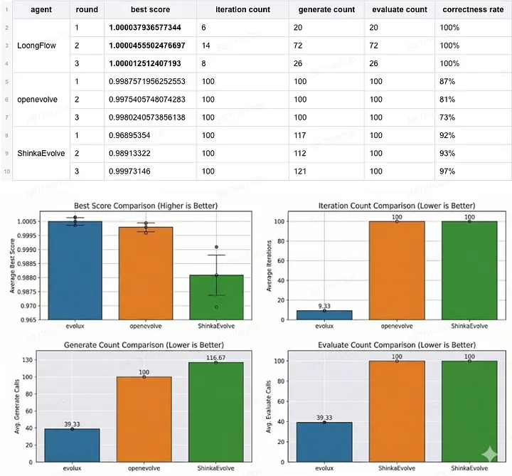
Experiment 2: Constrained Resource Test
Setup: Gemini-3-Pro model, strictly limited to 100 iterations.
Goal: To see which agent learns fastest when compute budget is tight.
Key Findings:
- Breaking the Ceiling: LoongFlow was the only framework to break the "1.0" normalized score barrier, and it did so in every single trial.
- Rapid Convergence: While OpenEvolve and ShinkaEvolve exhausted the entire 100-iteration budget without fully solving the problem, LoongFlow finished the task in an average of just 39 generation calls.
Conclusion: Quality Over Quantity
The data reveals a critical flaw in traditional evolutionary agents like OpenEvolve: they rely on brute force. They achieve results by throwing thousands of variations at the wall to see what sticks.
LoongFlow, by contrast, demonstrates causal reasoning. Because its Summary module analyzes why a previous attempt failed, it doesn't waste compute on repeating mistakes. The result is an agent that is not only smarter but significantly cheaper to run.
3. Under the Hood: Why LoongFlow Wins
Three architectural choices explain LoongFlow's superior performance:
A. The Evolution Tree & Global Memory
OpenEvolve often suffers from "amnesia" - it keeps the best code but loses the context of the failures. LoongFlow utilizes an Evolution Tree combined with MAP-Elites (Multi-dimensional Archive of Phenotypic Elites). This structure maintains diverse solutions to prevent the agent from getting stuck in local optima (drilling into a dead end). It allows the agent to "jump" across the solution space, balancing exploration and exploitation via Boltzmann selection.
B. Role-Based Sub-Agents
LoongFlow doesn't just ask one LLM to "do better." It splits the cognitive load into specific roles:
Planner: Designed for strategic reasoning and absorbing domain priors.
Executor: Focuses on code generation and contract verification.
Summary: Dedicated to abductive reflection - analyzing why the score improved or dropped.
C. Domain Generalization (Beyond Math)
While OpenEvolve is heavily associated with math puzzles, LoongFlow has been architected for broader applications, specifically Machine Learning Engineering. It includes a specialized "ML Evolve Agent" that breaks down ML workflows into a canonical six-stage structure (Load -> Cross Val -> Feature Eng -> Train -> Ensemble -> Workflow). This architecture allowed LoongFlow to win 22 Gold Medals on Kaggle benchmarks (MLE-bench), proving it can handle the messiness of real-world data, not just clean math problems.
Conclusion: The "Thinking" Agent
The era of "blind" evolutionary agents is ending. While OpenEvolve served as an important proof of concept for code mutation, the lack of structured reasoning limits its application in complex, long-horizon tasks.
LoongFlow represents the next step. By injecting a "metacognitive" layer - the ability to plan, execute, and reflect - it transforms the agent from a random guesser into a domain expert.
For developers looking to build agents that can solve complex problems (like algorithm discovery or automated ML pipelines) without burning through millions of tokens on random attempts, LoongFlow appears to be the superior choice.
GitHub Repository: https://github.com/baidu-baige/LoongFlow
Technical Report: arXiv:2512.24077



