images images listlengths 0 4 | problem stringlengths 21 3.35k | answer stringlengths 29 5.71k |
|---|---|---|
有两个静止的点电荷,它们的电荷量都是 1 C ,试分别求它们相距为
1 m 和 1 km 时,它们之间相互作用力的大小。
另一方面, $6.242 \times 10^{18}$ 个电子(或质子)的电荷加在一起,才有 1 C 的电荷量。所以,从粒子所带电荷量的角度看,库仑也是一个非常大的单位。 | 【解】相距 1 m 时,相互作用力的大小为
$$
F=\frac{1}{4 \pi \varepsilon_{0}} \frac{q_{1} q_{2}}{r^{2}}=9.0 \times 10^{9} \times \frac{1 \times 1}{1^{2}}=9.0 \times 10^{9}(\mathrm{~N})
$$
这个力相当于 90 万吨物体的重量。
相距一公里时,相互作用力的大小为
$$
F=\frac{1}{4 \pi \varepsilon_{0}} \frac{q_{1} q_{2}}{r^{2}}=9.0 \times 10^{9} \times \frac{1 \times 1}{\left(10^{3}\right)^{2}}=9.0 \times 10^{3}(\mathrm{~N})
$$
这个力相当于 900 kg 物体的重量. | |
真空中两个点电荷静止时相距 10 cm ,它们间的相互作用力为 $9.0 \times 10^{-4} \mathrm{~N}$ ;当它们合在一起时,就成为 $3.0 \times 10^{-8} \mathrm{C}$ 的一个点电荷。试问原来两电荷的电荷量各是多少? | 【解】设两电荷的电荷量分别为 $q_{1}$ 和 $q_{2}$ ,则由题意得
$$
\begin{gathered}
q_{1}+q_{2}=3.0 \times 10^{-8} \\
q_{1} q_{2}=4 \pi \varepsilon_{0} r^{2} F=\frac{1}{9.0 \times 10^{9}} \times\left(10 \times 10^{-2}\right)^{2} \times\left( \pm 9.0 \times 10^{-4}\right) \\
= \pm 1.0 \times 10^{-15}
\end{gathered}
$$
式中正号为 $q_{1}$ 与 $q_{2}$ 同号(即 $q_{1} q_{2}>0$ )时用,负号为 $q_{1}$ 与 $q_{2}$ 异号(即 $q_{1} q_{2}<0$ )时用.当式(2)右边取正号时,便有
$$
\begin{aligned}
\left(q_{1}-q_{2}\right)^{2} & =\left(q_{1}+q_{2}\right)^{2}-4 q_{1} q_{2} \\
& =\left(3.0 \times 10^{-8}\right)^{2}-4 \times 1.0 \times 10^{-15}<0
\end{aligned}
$$
这不可能。所以,式(2)右边只能取负号。这时
$$
\begin{aligned}
q_{1}-q_{2} & =\sqrt{\left(q_{1}+q_{2}\right)^{2}-4 q_{1} q_{2}} \\
& =\sqrt{\left(3.0 \times 10^{-8}\right)^{2}+4 \times 1.0 \times 10^{-15}} \\
& = \pm 7.0 \times 10^{-8}
\end{aligned}
$$
由式(1)、(4)解得
$$
q_{1}=5.0 \times 10^{-8} \mathrm{C}, \quad q_{2}=-2.0 \times 10^{-8} \mathrm{C}
$$ | |
质量都是 $m$ 的两小球,带有相同的电荷量 $q$ ,用长度都是 $l$ 的细丝线
挂在同一点,静止时两线夹角为 $2 \theta[$ 图1.1.5(1)$]$ .设小球的半径和线的质量都可略去不计,试求 $q$ 的值。 | 【解】小球静止时,作用在它上面的库仑力 $\boldsymbol{F}_{c}$ 和重力 $\boldsymbol{F}_{g}$ 两者在垂直于悬线方向上的分量必定相等[图1.1.5(2)],即
$$
F_{c} \cos \theta=F_{g} \sin \theta
$$
所以
$$
F_{c}=F_{g} \tan \theta
$$
故
$$
\frac{1}{4 \pi \varepsilon_{0}} \frac{q^{2}}{(2 l \sin \theta)^{2}}=m g \tan \theta
$$

图1.1.5(1)

图1.1.5(2)
解得
$$
q= \pm 2 l \sin \theta \sqrt{4 \pi \varepsilon_{0} m g \tan \theta}
$$
正号用于 $q>0$ ,负号用于 $q<0$ 。 | |
$A 、 B$ 两个带电小球,所带电荷量都是 $q$ ,用等长的两根丝线悬于同一点,线长为 $l, B$ 球靠在绝缘墙上,它的悬线坚直,如图1.1.6(1)所示。当 $A$ 球的质量为 $m$ 时,因静电斥力使两球相距为 $x$ ,达到静止。试问在 $A 、 B$ 两球所带电荷量不变的情况下,$A$ 球的质量增为多大时,$A 、 B$ 间的静止距离缩短为 $x / 2$ ?设小球的半径和丝线的质量都可略去不计。

图1.1.6(1)

图1.1.6(2) | 【解】 $A$ 受到 $B$ 作用的库仑力的大小为
$$
F=\frac{1}{4 \pi \varepsilon_{0}} \frac{q^{2}}{x^{2}}
$$
设 $A$ 线中的张力为 $T[$ 图 1.1.6(2)$]$ ,则 $A$ 的平衡方程为
| 坚直方向: | $T \cos \theta+F \cos \alpha=m g$ |
| :--- | :---: |
| 水平方向: | $T \sin \theta=F \sin \alpha$ |
| 三角形正弦定律: | $\sin \theta / x=\sin \alpha / l$ |
由式(3)、(4)得
$$
T=\frac{l}{x} F
$$
因为
$$
\begin{aligned}
\cos \theta & =\cos (\pi-2 \alpha)=-\cos 2 \alpha=1-2 \cos ^{2} \alpha \\
& =1-\frac{x^{2}}{2 l^{2}}
\end{aligned}
$$
将式(1)、(5)、(6)代人式(2)得
所以
$$
\begin{gathered}
\frac{l}{x} \frac{1}{4 \pi \varepsilon_{0}} \frac{q^{2}}{x^{2}}\left(1-\frac{x^{2}}{2 l^{2}}\right)+\frac{1}{4 \pi \varepsilon_{0}} \frac{q^{2}}{x^{2}} \frac{x}{2 l}=m g \\
m=\frac{l q^{2}}{4 \pi \varepsilon_{0} g x^{3}}
\end{gathered}
$$
由此得出,当 $A$ 的质量为 $m^{\prime}$ 时,静止时 $A 、 B$ 间的距离为 $x^{\prime}$ ,便有
$$
m^{\prime}=\frac{l q^{2}}{4 \pi \varepsilon_{0} g x^{\prime 3}}
$$
由式(7)、(8)得
$$
m^{\prime} / m=\left(x / x^{\prime}\right)^{3}
$$
令 $x^{\prime}=x / 2$ ,便得所求的质量为
$$
m^{\prime}=8 m
$$ | |
两个固定的点电荷,电荷量分别为 $q$ 和 $4 q$ ,相距为 $l$ 。(1)试问在什么地方放一个什么样的点电荷,可以使这三个电荷都达到平衡(即每个电荷受另外两个电荷的库仑力之和都等于零)?(2)这种平衡是稳定平衡还是不稳定平衡?

图1.1.7 | 【解】(1)设所放的点电荷其电荷量为 $q^{\prime}$ .若 $q^{\prime}$ 与 $q$ 同号,则三者互相排斥,不可能达到平衡,故 $q^{\prime}$ 只能与 $q$ 异号。若 $q^{\prime}$ 在 $q$和 $4 q$ 连线之外的任何地方,也不可能达到平衡。由此得知,只有 $q^{\prime}$ 与 $q$ 异号(即 $q^{\prime} q<0$ )且 $q^{\prime}$ 在 $q$ 和 $4 q$ 的连线上,才有可能达到所要求的平衡.设这时 $q^{\prime}$ 到 $q$ 的距离为 $x, e$ 为从 $q$ 到 $4 q$ 方向上的单位矢量(图1.1.7),则 $q^{\prime}$ 所受的力为
$$
\begin{aligned}
\boldsymbol{F}^{\prime} & =\frac{1}{4 \pi \varepsilon_{0}} \frac{q q^{\prime}}{x^{2}} \boldsymbol{e}+\frac{1}{4 \pi \varepsilon_{0}} \frac{4 q q^{\prime}}{(l-x)^{2}}(-\boldsymbol{e}) \\
& =\frac{q q^{\prime}}{4 \pi \varepsilon_{0}}\left[\frac{1}{x^{2}}-\frac{4}{(l-x)^{2}}\right] \boldsymbol{e}
\end{aligned}
$$
平衡时 $\boldsymbol{F}^{\prime}=0$ ,所以 $(l-x)^{2}=4 x^{2}$ ,解得
$$
x=l / 3 \quad \text { 和 } \quad x=-l
$$
其中 $x=-l$ 是 $q^{\prime}$ 在 $q$ 和 $4 q$ 的连线之外,故舍去.于是得所求的值为 $x=l / 3$ .
这时 $q$ 所受的力为
$$
\begin{aligned}
\boldsymbol{F} & =\frac{1}{4 \pi \varepsilon_{0}} \frac{q q^{\prime}}{l / 3)^{2}}(-\boldsymbol{e})+\frac{1}{4 \pi \varepsilon_{0}} \frac{4 q^{2}}{l^{2}}(-\boldsymbol{e}) \\
& =\frac{q}{4 \pi \varepsilon_{0} l^{2}}\left[9 q^{\prime}+4 q\right](-\boldsymbol{e})
\end{aligned}
$$
平衡时 $\boldsymbol{F}=0$ ,故得
$$
q^{\prime}=-\frac{4}{9} q
$$
很容易验证,这时 $4 q$ 所受力的力也是零.即三个电荷都达到平衡.
(2)这种平衡是不稳定平衡,因三者中任何一个稍微移动一点,它们受的力并不都指向平衡点. | |
电荷量都是 $q$ 的三个点电荷,分别放在正三角形的三个顶点。试问: (1)在这三角形中心放一个什么样的点电荷,就可以使这四个电荷都达到平衡(即每个电荷受其他三个电荷的库仑力之和均为零)?(2)这种平衡与三角形的边长有无关系?(3)这样的平衡是稳定平衡还是不稳定平衡? | 【解】(1)设所放的电荷量为 $q^{\prime}$ ,要达到平衡,$q^{\prime}$ 必须与 $q$ 异号。因三个 $q$ 在三角形中心产生的电场强度为 $\boldsymbol{E}=0$ ,故 $q^{\prime}$ 不论为何值,它所受的力总是零。所以只需考虑任一个角上的 $q$ 所受的力。如图1.1.8,设三角形的边长为 $a$ ,则 $q$ 所受的合力的大小为
$$
\begin{aligned}
F & =2 \cdot \frac{1}{4 \pi \varepsilon_{0}} \frac{q^{2}}{a^{2}} \cos 30^{\circ}+\frac{1}{4 \pi \varepsilon_{0}} \frac{q q^{\prime}}{(a / \sqrt{3})^{2}} \\
& =\frac{q}{4 \pi \varepsilon_{0} a^{2}}\left(\sqrt{3} q+3 q^{\prime}\right)
\end{aligned}
$$

图1.1.8
达到平衡时,$F=0$ .于是得
$$
q^{\prime}=-q / \sqrt{3}
$$
(2)由上式可以看出,这种平衡与三角形的边长 $a$ 无关.
(3)这种平衡是不稳定平衡.因其中任一电荷稍有任何位移,每个电荷所受的力并不都指向平衡点. | |
电荷量都是 $q=1.6 \times 10^{-19} \mathrm{C}$ 的三个点电荷,分别固定在边长为 $a= 3.0 \times 10^{-10} \mathrm{~m}$ 的正三角形的三个顶点;在这三角形的中心 $O$ ,有一个质量为 $m= 2.3 \times 10^{-26} \mathrm{~kg}$ 、电荷量为 $Q=-4.8 \times 10^{-19} \mathrm{C}$ 的粒子。(1)试

图1.1.9
论证这个粒子处在平衡位置;(2)设这粒子以 $O$ 为中心,沿垂直于三角形平面的轴线作微小振动,试求振动频率. | 【解】(1)由于对称性,三个 $q$ 在中心 $O$ 产生的电场强度为 $\boldsymbol{E}=0$ ,故这个粒子所受的合力为零,所以它处在平衡位置.
(2)设 $Q$ 离开平衡位置 $O$ ,到 $O$ 的距离为 $r$ ,如图1.1.9所示,则 $Q$ 所受的力的方向指向 $O$ ,其大小为
$$
F=3 \cdot \frac{1}{4 \pi \varepsilon_{0}} \frac{q Q}{r^{2}+a^{2} / 3} \sin \theta=\frac{3 q Q}{4 \pi \varepsilon_{0}} \frac{r}{\left(r^{2}+a^{2} / 3\right)^{3 / 2}}
$$
在这个力的作用下,粒子的运动方程为
$$
m \frac{\mathrm{~d}^{2} r}{\mathrm{~d} t^{2}}=\frac{3 q Q}{4 \pi \varepsilon_{0}} \frac{r}{\left(r^{2}+a^{2} / 3\right)^{3 / 2}}
$$
当 $r \ll a$ 时,$\left(r^{2}+a^{2} / 3\right)^{-3 / 2} \approx\left(a^{2} / 3\right)^{-3 / 2}=\frac{3 \sqrt{3}}{a^{3}}$ .这时式(2)化为
$$
\frac{\mathrm{d}^{2} r}{\mathrm{~d} t^{2}}=\frac{9 \sqrt{3} q Q}{4 \pi \varepsilon_{0} m a^{3}} r
$$
因为 $q Q<0$ ,故上式是一个简谐振动的方程,振动频率为
$$
\begin{aligned}
\nu & =\frac{\omega}{2 \pi}=\frac{1}{2 \pi} \sqrt{\frac{-9 \sqrt{3} q Q}{4 \pi \varepsilon_{0} m a^{3}}} \\
& =\frac{1}{2 \pi} \sqrt{\frac{(-9 \sqrt{3}) \times\left(-4.8 \times 10^{-19}\right) \times 1.6 \times 10^{-19} \times 9.0 \times 10^{9}}{2.3 \times 10^{-26} \times\left(3.0 \times 10^{-10}\right)^{3}}} \\
& =2.1 \times 10^{13}(\mathrm{~Hz})
\end{aligned}
$$ | |
电荷量都是 $q$ 的四个点电荷,分别处在正方形的四个顶点,如图 1.1.10(1)所示.(1)在这正方形中心放一个什么样的点电荷,就可以使每个电荷都达到平衡?(2)这样的平衡是稳定平衡还是不稳定平衡? | 【解】(1)设所放的电荷量为 $q^{\prime}$ ,要达到平衡,$q^{\prime}$ 必须与 $q$ 异号。由于对称性,四个 $q$ 在正方形中心产生的电场强度为 $\boldsymbol{E}=0$ ,故 $q^{\prime}$ 不论为何值,它所受的力总是零。所以只需考虑任一个角上的 $q$ 所受的力。
设正方形边长为 $a$ ,则另外三个角上的电荷作用在 $q$ 上的库仑力之和为
$$
\begin{aligned}
\boldsymbol{F} & =2 \cdot \frac{1}{4 \pi \varepsilon_{0}} \frac{q^{2}}{a^{2}} \cos 45^{\circ} \boldsymbol{e}+\frac{1}{4 \pi \varepsilon_{0}} \frac{q^{2}}{(\sqrt{2} a)^{2}} \boldsymbol{e} \\
& =\frac{1}{4 \pi \varepsilon_{0}}\left(\frac{2 \sqrt{2}+1}{2}\right) \frac{q^{2}}{a^{2}} \boldsymbol{e}
\end{aligned}
$$

图1.1.10(1)

图1.1.10(2)
式中 $\boldsymbol{e}$ 是沿对角线方向上的单位矢量, $\boldsymbol{F}$ 的方向如图1.1.10(2)所示.$q^{\prime}$ 作用在 $q$ 上的库仑力为
$$
\boldsymbol{F}^{\prime}=\frac{1}{4 \pi \varepsilon_{0}} \frac{q q^{\prime}}{(a / \sqrt{2})^{2}} \boldsymbol{e}=\frac{1}{4 \pi \varepsilon_{0}} \frac{2 q q^{\prime}}{a^{2}} \boldsymbol{e}
$$
由于 $q q^{\prime}<0$ ,故 $\boldsymbol{F}^{\prime}$ 的方向如图1.1.10(2)所示.由式(1)、(2)得,$q$ 所受的库仑力的合力为
$$
\boldsymbol{F}+\boldsymbol{F}^{\prime}=\frac{1}{4 \pi \varepsilon_{0}}\left(\frac{2 \sqrt{2}+1}{2} q+2 q^{\prime}\right) \frac{q}{a^{2}} \boldsymbol{e}
$$
当 $\boldsymbol{F}+\boldsymbol{F}^{\prime}=0$ 时,便达到平衡.这时由式(3)得
$$
q^{\prime}=-\frac{2 \sqrt{2}+1}{4} q
$$
(2)因五个电荷中任一电荷稍有任何位移,每个电荷所受的力并不都指向平衡点,故这样的平衡是不稳定平衡。 | |
两个固定的点电荷,电荷量都是 $Q$ ,相距为 $l$ ,连线中点为 $O$ ;另一点电荷,电荷量为 $q$ ,在连线的中垂面上距离 $O$ 为 $r$ 处,如图 1.1.11所示。(1)求 $q$ 受的力;(2)若开始时 $q$ 是静止的,然后让它自己运动,问它将如何运动?

图1.1.11
试分别就 $q$ 与 $Q$ 同号和异号两种情况加以讨论。
$$
\boldsymbol{a}=\frac{\mathrm{d}^{2} \boldsymbol{r}}{\mathrm{~d} t^{2}}=\frac{q Q}{2 \pi \varepsilon_{0} m} \frac{\boldsymbol{r}}{\left[(l / 2)^{2}+r^{2}\right]^{3 / 2}}
$$
当 $r \ll l$ 时,略去上式分母中的 $r^{2}$ ,便得
$$
\frac{\mathrm{d}^{2} \boldsymbol{r}}{\mathrm{~d} t^{2}}=\frac{4 q Q}{\pi \varepsilon_{0} m l^{3}} \boldsymbol{r}
$$
这时若 $q$ 与 $Q$ 异号(即 $q Q<0$ ),则式(3)便是简谐振动的方程,其振动的角频率为
$$
\omega=\sqrt{-\frac{4 q Q}{\pi \varepsilon_{0} m l^{3}}}
$$
因此,在 $r \ll l$ 和 $q$ 与 $Q$ 异号的情况下,$m$ 的运动近似于角频率为 $\omega$ 的简谐振动. | 【解】(1)$q$ 所受的力为
$$
\begin{aligned}
\boldsymbol{F} & =2 \cdot \frac{1}{4 \pi \varepsilon_{0}} \frac{q Q}{(l / 2)^{2}+r^{2}} \frac{r}{\sqrt{(l / 2)^{2}+r^{2}}} \frac{\boldsymbol{r}}{r} \\
& =\frac{q Q}{2 \pi \varepsilon_{0}} \frac{\boldsymbol{r}}{\left[(l / 2)^{2}+r^{2}\right]^{3 / 2}}
\end{aligned}
$$
式中 $\boldsymbol{r}$ 是从 $O$ 到 $q$ 的位矢。
(2)$q$ 与 $Q$ 同号时, $\boldsymbol{F}$ 背向 $O$ 点,故 $q$ 将沿两 $Q$ 的中垂线加速地趋向无穷远.$q$ 与 $Q$ 异号时, $\boldsymbol{F}$ 指向 $O$ 点,故 $q$ 将以 $O$ 为中心作周期性振动,振幅为 $r$ 。 | |
真空中有一个质子和一个电子,相距为 1 m ,开始时都静止,然后在它

图1.1.13
们之间的库仑力的作用下,相向运动。已知质子质量为 $m_{\mathrm{p}}=1.673 \times 10^{-27} \mathrm{~kg}$ ,电荷量为 $e=1.602 \times 10^{-19} \mathrm{C}$ ,电子质量为 $m=9.109 \times 10^{-31} \mathrm{~kg}$ ,电荷量为 $-e$ .试求它们相碰的时间. | 【解】因无外力,故它们的质心 $C$ 不动。以 $C$ 为原点取 $x$ 轴,使质子和电子都在 $x$ 轴上,如图1.1.13所示.设开始( $t=0$ )时,质子与电子相距为 $l$ ,电子的坐标为 $x_{0}(>0)$ ;$t$ 时刻,电子的坐标为 $x(>0)$ ,质子的坐标为 $x_{\mathrm{p}}(<0)$ ,则有
$$
m x=m_{\mathrm{p}}\left|x_{\mathrm{p}}\right|
$$
电子的运动方程为
$$
m \frac{\mathrm{~d}^{2} x}{\mathrm{~d} t^{2}}=-\frac{e^{2}}{4 \pi \varepsilon_{0}} \frac{1}{\left(x+\left|x_{\mathrm{p}}\right|\right)^{2}}
$$
将式(1)代人式(2)消去 $x_{\mathrm{p}}$ 得
$$
\frac{\mathrm{d}^{2} x}{\mathrm{~d} t^{2}}=-\frac{e^{2} m_{\mathrm{p}}^{2}}{4 \pi \varepsilon_{0} m\left(m_{\mathrm{p}}+m\right)^{2}} \frac{1}{x^{2}}
$$
为求解上式,将它乘以 $2 \frac{\mathrm{~d} x}{\mathrm{~d} t}$ 得
所以
$$
\begin{aligned}
2 \frac{\mathrm{~d} x}{\mathrm{~d} t} \frac{\mathrm{~d}^{2} x}{\mathrm{~d} t^{2}} & =-\frac{e^{2} m_{\mathrm{p}}^{2}}{2 \pi \varepsilon_{0} m\left(m_{\mathrm{p}}+m\right)^{2}} \frac{1}{x^{2}} \frac{\mathrm{~d} x}{\mathrm{~d} t} \\
\frac{\mathrm{~d}}{\mathrm{~d} t}\left(\frac{\mathrm{~d} x}{\mathrm{~d} t}\right)^{2} & =\frac{e^{2} m_{\mathrm{p}}^{2}}{2 \pi \varepsilon_{0} m\left(m_{\mathrm{p}}+m\right)^{2}} \frac{\mathrm{~d}}{\mathrm{~d} t}\left(\frac{1}{x}\right)
\end{aligned}
$$
积分得
$$
\left(\frac{\mathrm{d} x}{\mathrm{~d} t}\right)^{2}-\left(\frac{\mathrm{d} x}{\mathrm{~d} t}\right)_{0}^{2}=\frac{e^{2} m_{\mathrm{p}}^{2}}{2 \pi \varepsilon_{0} m\left(m_{\mathrm{p}}+m\right)^{2}}\left(\frac{1}{x}-\frac{1}{x_{0}}\right)
$$
式中 $x_{0}$ 和 $\left(\frac{\mathrm{d} x}{\mathrm{~d} t}\right)_{0}$ 分别是开始 $(t=0)$ 时电子的坐标和速度.因题给
$$
\left(\frac{\mathrm{d} x}{\mathrm{~d} t}\right)_{0}=0
$$
故式(6)化为
$$
\left(\frac{\mathrm{d} x}{\mathrm{~d} t}\right)^{2}=\frac{e^{2} m_{\mathrm{p}}^{2}}{2 \pi \varepsilon_{0} m\left(m_{\mathrm{p}}+m\right)^{2}} \frac{x_{0}-x}{x_{0} x}
$$
开方,因 $e 、 m 、 x 、 x_{0}$ 均为正,且 $x_{0}>x, \frac{\mathrm{~d} x}{\mathrm{~d} t}<0$ ,故得
$$
-\frac{\mathrm{d} x}{\mathrm{~d} t}=\frac{1}{\sqrt{2 \pi \varepsilon_{0} m}} \frac{e m_{\mathrm{p}}}{m_{\mathrm{p}}+m} \sqrt{\frac{x_{0}-x}{x_{0} x}}
$$
积分
$$
\begin{aligned}
-\int_{x_{0}}^{x} \sqrt{\frac{x_{0} x}{x_{0}-x}} \mathrm{~d} x & =-\sqrt{x_{0}}\left[x_{0} \arcsin \sqrt{\frac{x}{x_{0}}}-\sqrt{x\left(x_{0}-x\right)}\right]_{x_{0}}^{x} \\
& =\sqrt{x_{0}}\left[\frac{\pi}{2} x_{0}-x_{0} \arcsin \sqrt{\frac{x}{x_{0}}}+\sqrt{x\left(x_{0}-x\right)}\right] \\
& =\frac{1}{\sqrt{2 \pi \varepsilon_{0} m}} \frac{e m_{\mathrm{p}}}{m_{\mathrm{p}}+m} t
\end{aligned}
$$
所以
$$
t=\sqrt{2 \pi \varepsilon_{0} m} \frac{m_{\mathrm{p}}+m}{e m_{\mathrm{p}}} \sqrt{x_{0}}\left[\frac{\pi}{2} x_{0}-x_{0} \arcsin \sqrt{\frac{x}{x_{0}}}+\sqrt{x\left(x_{0}-x\right)}\right]
$$
这便是电子的坐标 $x$ 与时间 $t$ 的关系.相碰时,$x=0$ ,故由上式得
$$
t=\frac{\pi}{2} \frac{m_{\mathrm{p}}+m}{e m_{\mathrm{p}}} x_{0} \sqrt{2 \pi \varepsilon_{0} m x_{0}}
$$
因开始( $t=0$ )时质子与电子相距为 $l$ ,故由式(1)得
$$
x_{0}=\frac{m_{\mathrm{p}}}{m_{\mathrm{p}}+m} l
$$
代人式(12)得
$$
t=\frac{\pi l}{2 e} \sqrt{\frac{2 \pi \varepsilon_{0} m_{\mathrm{p}} m l}{m_{\mathrm{p}}+m}}
$$
代人数值得
$$
\begin{aligned}
t & =\frac{\pi}{2 \times 1.602 \times 10^{-19}} \times \sqrt{\frac{2 \pi \times 8.854 \times 10^{-12} \times 1.673 \times 10^{-27} \times 9.109 \times 10^{-31} \times 1}{1.673 \times 10^{-27}+9.109 \times 10^{-31}}} \\
& =6.978 \times 10^{-2}(\mathrm{~s})
\end{aligned}
$$ | |
氢原子由一个质子(即氢原子核)和一个电子组成.根据经典模型,在
正常状态下,电子绕核运动,轨道半径是 $5.29 \times 10^{-11} \mathrm{~m}$ 。电子带负电,质子带正电,它们的电荷量大小相等,都是 $1.60 \times 10^{-19} \mathrm{C}$ ,电子质量 $m=9.11 \times 10^{-31} \mathrm{~kg}$ ,质子质量 $M=1.67 \times 10^{-27} \mathrm{~kg}$ ,万有引力常量 $G=6.67 \times 10^{-11} \mathrm{~m}^{3} / \mathrm{kg} \cdot \mathrm{s}^{-2}$ 。试求:(1)电子受质子作用的库仑力;(2)电子受质子作用的库仑力是万有引力的多少倍?(3)电子绕核运动的速率和频率。 | 【解】(1)电子受质子作用的库仑力为
$$
F_{e}=\frac{1}{4 \pi \varepsilon_{0}} \frac{e^{2}}{r^{2}}=8.99 \times 10^{9} \times\left(\frac{1.60 \times 10^{-19}}{5.29 \times 10^{-11}}\right)^{2}=8.22 \times 10^{-8}(\mathrm{~N})
$$
(2)电子受质子作用的万有引力为
$$
\begin{aligned}
F_{g}= & G \frac{m M}{r^{2}}=6.67 \times 10^{-11} \times \frac{9.11 \times 10^{-31} \times 1.67 \times 10^{-27}}{\left(5.29 \times 10^{-11}\right)^{2}} \\
= & 3.63 \times 10^{-47}(\mathrm{~N}) \\
& F_{e} / F_{g}=8.22 \times 10^{-8} / 3.63 \times 10^{-47}=2.26 \times 10^{39}
\end{aligned}
$$
(3)电子的运动方程为
$$
m \frac{v^{2}}{r}=\frac{1}{4 \pi \varepsilon_{0}} \frac{e^{2}}{r^{2}}
$$
由此得电子绕核运动的速率为
$$
\begin{aligned}
v & =\sqrt{\frac{1}{4 \pi \varepsilon_{0}} \frac{e^{2}}{m r}}=\sqrt{8.99 \times 10^{9} \times \frac{\left(1.60 \times 10^{-19}\right)^{2}}{9.11 \times 10^{-31} \times 5.29 \times 10^{-11}}} \\
& =2.19 \times 10^{6}(\mathrm{~m} / \mathrm{s})
\end{aligned}
$$
频率为
$$
f=\frac{v}{2 \pi r}=\frac{2.19 \times 10^{6}}{2 \pi \times 5.29 \times 10^{-11}}=6.59 \times 10^{15}(\mathrm{~Hz})
$$ | |
氢原子由一个质子(即氢原子核)和一个电子组成。根据经典模型,电子环绕质子作圆周运动。假定电子环绕质子运动的角动量只能是 $\hbar=1.054 \times 10^{-34} \mathrm{J} \cdot \mathrm{s}$ 的整数倍,即 $m r^{2} \omega=n \hbar, n=1,2,3, \cdots$ 。已知质子带正电,电子带负电,它们的电荷量的大小都是 $1.602 \times 10^{-19} \mathrm{C}$ ,电子质量为 $9.11 \times 10^{-31} \mathrm{~kg}$ 。试求 $n=1$(基态)时电子轨道半径的值(这个值通常称为玻尔半径)。 | 【解】 电子的运动方程为
$$
m \frac{v^{2}}{r}=\frac{1}{4 \pi \varepsilon_{0}} \frac{e^{2}}{r^{2}}
$$
量子条件为
$$
m r^{2} \omega=n \hbar, \quad n=1,2,3, \cdots
$$
因 $v=\omega r$ ,故由以上两式得
$$
r_{n}=\frac{4 \pi \varepsilon_{0} n^{2} \hbar^{2}}{m e^{2}}
$$
基态 $n=1$ ,故得
$$
\begin{aligned}
r_{1} & =\frac{4 \pi \varepsilon_{0} \hbar^{2}}{m e^{2}}=\frac{\left(1.054 \times 10^{-34}\right)^{2}}{8.99 \times 10^{9} \times 9.11 \times 10^{-31} \times\left(1.602 \times 10^{-19}\right)^{2}} \\
& =5.29 \times 10^{-11}(\mathrm{~m})
\end{aligned}
$$ | |
把总电荷量为 $Q$ 的同一种电荷分成两部分,一部分均匀分布在地球上,另一部分均匀分布在月球上,使它们之间的库仑力正好抵消万有引力。已知 $\frac{1}{4 \pi \varepsilon_{0}}=8.99 \times 10^{9} \mathrm{~N} \cdot \mathrm{~m}^{2} / \mathrm{C}^{2}$ ,万有引力常量 $G=6.67 \times 10^{-11} \mathrm{~N} \cdot \mathrm{~m}^{2} / \mathrm{kg}^{2}$ ,地球质量 $M=5.98 \times 10^{24} \mathrm{~kg}$ ,月球质量 $m=7.34 \times 10^{22} \mathrm{~kg}$ 。(1)试求 $Q$ 的最小值;(2)如果电荷量的分配与质量成正比,试求 $Q$ 的值。 | 【解】(1)设放到月球上的电荷量为 $x$ ,则地球上的电荷量便为 $Q-x$ .依题意有
$$
F_{c}=\frac{1}{4 \pi \varepsilon_{0}} \frac{x(Q-x)}{r^{2}}=G \frac{m M}{r^{2}}
$$
所以
$$
x(Q-x)=4 \pi \varepsilon_{0} G m M
$$
要使电荷量 $Q$ 为最小,就是在给定 $Q$ 值下,如何分配电荷量,使 $F_{c}$ 为极大.由式(1)得
$$
\frac{\mathrm{d} F_{c}}{\mathrm{~d} x}=\frac{1}{4 \pi \varepsilon_{0} r^{2}} \frac{\mathrm{~d}}{\mathrm{~d} x}[x(Q-x)]=\frac{1}{4 \pi \varepsilon_{0} r^{2}}[Q-2 x]=0
$$
所以
$$
x=\frac{Q}{2}
$$
即把电荷量的一半放在月球上,另一半放在地球上,产生的库仑力 $F_{c}$ 为最大,这时所需的电荷量为最小。将式(4)代人式(2)得
$$
Q_{\min }=\sqrt{16 \pi \varepsilon_{0} G m M}
$$
代人数值得
$$
\begin{aligned}
Q_{\min } & =\sqrt{\frac{4}{8.99 \times 10^{9}} \times 6.67 \times 10^{-11} \times 7.34 \times 10^{22} \times 5.98 \times 10^{24}} \\
& =1.14 \times 10^{14}(\mathrm{C})
\end{aligned}
$$
(2)若电荷量的分配与质量成正比,则
$$
\begin{gathered}
x=k m, \quad Q-x=k M \\
x /(Q-x)=m / M
\end{gathered}
$$
所以
解得
$$
x=\frac{m}{m+M} Q, \quad Q-x=\frac{M}{m+M} Q
$$
令库仑力等于万有引力,便得
$$
\frac{1}{4 \pi \varepsilon_{0}} \frac{m M Q^{2}}{(m+M)^{2} r^{2}}=G \frac{m M}{r^{2}}
$$
所以
$$
Q=(m+M) \sqrt{4 \pi \varepsilon_{0} G}
$$
代人数值得
$$
\begin{aligned}
Q & =\left(7.34 \times 10^{22}+5.98 \times 10^{24}\right) \sqrt{\frac{6.67 \times 10^{-11}}{8.99 \times 10^{9}}} \\
& =5.21 \times 10^{14}(\mathrm{C})
\end{aligned}
$$ | |
电荷量 $Q$ 均匀分布在半径为 $R$ 的金属圆环上,现在环中心放一个电荷量为 $q$ 的点电荷.试求由于 $q$ 的出现而在环中产生的张力。 | 【解】 如图 1.1.19 所示,取环的一条直径 $A B, q$ 作用在环上 $C$ 处的电荷元 $\mathrm{d} Q=\frac{Q}{2 \pi} \mathrm{~d} \theta$ 上的力为
$$
\mathrm{d} \boldsymbol{F}=\frac{q \mathrm{~d} Q}{4 \pi \varepsilon_{0} R^{2}} \boldsymbol{e}_{r}=\frac{q Q \boldsymbol{e}_{r}}{8 \pi^{2} \varepsilon_{0} R^{2}} \mathrm{~d} \theta
$$
式中 $\boldsymbol{e}_{r}$ 为从 $q$ 到 $C$ 的方向上的单位矢量.由对称性可知,上半

图1.1.19
圆环 $A C B$ 上的电荷受 $q$ 的作用力其方向必定垂直于 $A B$ 并向
上(设 $q Q>0$ )。因此,这个力的大小为
$$
F=\int_{\theta=0}^{\theta=\pi}(\mathrm{d} F) \cos \left(\frac{\pi}{2}-\theta\right)=\frac{q Q}{8 \pi^{2} \varepsilon_{0} R^{2}} \int_{0}^{\pi} \cos \left(\frac{\pi}{2}-\theta\right) \mathrm{d} \theta=\frac{q Q}{4 \pi^{2} \varepsilon_{0} R^{2}}
$$
于是得 $A 、 B$ 两处的张力均为
$$
T=\frac{F}{2}=\frac{q Q}{8 \pi^{2} \varepsilon_{0} R^{2}}
$$
这便是由于 $q$ 的出现而在环中产生的张力. | |
电荷量 $q$ 均匀分布在半径为 $R$ 的圆环上,在环的轴线上有一条均匀带电的直线,单位长度的电荷量为 $\lambda$ ,直线的一端在环心,另一端趋向无穷远.试求它们之间的相互作用力。 | 【解】如图 1.1.20,环上的电荷元 $\mathrm{d} q=\frac{q}{2 \pi} \mathrm{~d} \phi$ 作用在直线上 $P$ 处电荷元 $\lambda \mathrm{d} x$ 上的库仑力其大小为

图1.1.20
$$
\mathrm{d}^{2} F=\frac{\lambda \mathrm{d} x \mathrm{~d} q}{4 \pi \varepsilon_{0}\left(R^{2}+x^{2}\right)}=\frac{q \lambda}{8 \pi^{2} \varepsilon_{0}} \frac{\mathrm{~d} x \mathrm{~d} \phi}{R^{2}+x^{2}}
$$
根据对称性,整个圆环上的电荷作用在 $\lambda \mathrm{d} x$ 上的力其大小为
$$
\mathrm{d} F=\oint\left(\mathrm{d}^{2} F\right) \cos \theta=\frac{q \lambda}{8 \pi^{2} \varepsilon_{0}} \frac{\mathrm{~d} x}{R^{2}+x^{2}} \cos \theta \oint \mathrm{~d} \phi=\frac{q \lambda}{4 \pi \varepsilon_{0}} \frac{x \mathrm{~d} x}{\left(R^{2}+x^{2}\right)^{3 / 2}}
$$
其方向沿轴线向外(当 $q \lambda>0$ 时)或向内(当 $q \lambda<0$ 时)。
于是得圆环上的电荷作用在直线电荷上的力其大小为
$$
F=\frac{q \lambda}{4 \pi \varepsilon_{0}} \int_{0}^{\infty} \frac{x \mathrm{~d} x}{\left(R^{2}+x^{2}\right)^{3 / 2}}=\frac{q \lambda}{4 \pi \varepsilon_{0}}\left[-\frac{1}{\sqrt{R^{2}+x^{2}}}\right]_{0}^{\infty}=\frac{q \lambda}{4 \pi \varepsilon_{0} R}
$$
力的方向沿轴线向外(当 $q \lambda>0$ 时)或向内(当 $q \lambda<0$ 时).
【关于场】场是现代物理学中的一个重要概念,它是英国科学家法拉第 (M.Faraday,1791-1867)于1845年(我国清代道光二十五年)提出来的.有关资料可参看张之翔《电磁学教学参考》(北京大学出版社,2015),315— 317 页.描述场的量也可称为场量,电场强度 $\boldsymbol{E}$ 便是电场的场量. | |
电场强度的物理意义是单位正电荷量所受的力.因为电荷量的单位是库仑,故某点的电场强度等于在该点放一个电荷量为一库仑的点电荷所受的力.你认为对吗? | 【解答】不对.因为电场强度的定义式
$$
\boldsymbol{E}=\boldsymbol{F} / q
$$
中,要求试验电荷的电荷量 $q$ 必须充分小,使得它的出现所引起的原来电场的变化可以略去不计。而库仑是一个非常大的单位,需要 $6.242 \times 10^{18}$ 个质子的电荷加在一起,才够一库仑的电荷量.这样大的电荷量必然使原来电场发生非常大的变化,因而不符合试验电荷的要求.而且,要使这样大的电荷量集中在一个"点"的范围内,目前在技术上也不可能办到. | |
氢原子由一个质子(氢原子核)和一个电子组成。根据经典模型,在正常状态下,电子绕核作匀速圆周运动,轨道半径是 $5.29 \times 10^{-11} \mathrm{~m}$ 。已知质子的电荷量为 $1.60 \times 10^{-19} \mathrm{C}$ ,试求质子在电子轨道上产生的电场强度的大小。 | 【解】所求的电场强度的大小为
$$
\begin{aligned}
E & =\frac{1}{4 \pi \varepsilon_{0}} \frac{e}{r^{2}}=8.99 \times 10^{9} \times \frac{1.60 \times 10^{-19}}{\left(5.29 \times 10^{-11}\right)^{2}} \\
& =5.14 \times 10^{11}(\mathrm{~V} / \mathrm{m})
\end{aligned}
$$ | |
两个点电荷,电荷量分别为 $q_{1}=8.0 \mu \mathrm{C}$ , $q_{2}=-16.0 \mu \mathrm{C}$ ,相距 20 cm 。试求这两个电荷在离它们都是 20 cm 处产生的电场强度 $\boldsymbol{E}$ . | 【解】设 $q_{1}$ 和 $q_{2}$ 所产生的电场强度分别为 $\boldsymbol{E}_{1}$ 和 $\boldsymbol{E}_{2}$ ,如图1.2.3所示,它们的大小分别为
$$
\begin{aligned}
E_{1} & =\frac{1}{4 \pi \varepsilon_{0}} \frac{q_{1}}{r_{1}^{2}}=9.0 \times 10^{9} \times \frac{8.0 \times 10^{-6}}{\left(20 \times 10^{-2}\right)^{2}} \\
& =1.8 \times 10^{6}(\mathrm{~V} / \mathrm{m}) \\
E_{2} & =\frac{1}{4 \pi \varepsilon_{0}} \frac{q_{2}}{r_{2}^{2}}=9.0 \times 10^{9} \times \frac{16.0 \times 10^{-6}}{\left(20 \times 10^{-2}\right)^{2}} \\
& =3.6 \times 10^{6}(\mathrm{~V} / \mathrm{m})
\end{aligned}
$$
所求的电场强度为

图1.2.3
$$
\boldsymbol{E}=\boldsymbol{E}_{1}+\boldsymbol{E}_{2}
$$
$\boldsymbol{E}$ 的大小为
$$
\begin{aligned}
E & =\sqrt{E_{1}^{2}+E_{2}^{2}-2 E_{1} E_{2} \cos 60^{\circ}}=\sqrt{1+2^{2}-2 \times 2 \times \frac{1}{2}} E_{1} \\
& =\sqrt{3} E_{1}=1.73 \times 1.8 \times 10^{6}=3.1 \times 10^{6}(\mathrm{~V} / \mathrm{m})
\end{aligned}
$$
$\boldsymbol{E}$ 的方向如图1.2.3所示,其中
$$
\theta=\arcsin \left(\frac{E_{1}}{E} \sin 60^{\circ}\right)=\arcsin \left(\frac{1}{\sqrt{3}} \cdot \frac{\sqrt{3}}{2}\right)=30^{\circ}
$$ | |
电荷量都是 $q$ 的两个点电荷,相距为 $l$ ,连线的中点为 $O$ .试求它们在连线的中垂面上离 $O$ 为 $r$ 处产生的电场强度.
$$
\boldsymbol{E}=\frac{1}{2 \pi \varepsilon_{0}} \frac{q \boldsymbol{r}}{\left(r^{2}+l^{2} / 4\right)^{3 / 2}}
$$
可以包括以上两种情况。 | 【解】由对称性可知,两 $q$ 所产生的电场强度 $\boldsymbol{E}=\boldsymbol{E}_{1}+\boldsymbol{E}_{2}$ ,其方向沿 $O P$(当 $q>0$ 时),如图1.2.4所示,其大小为

图1.2.4
$$
E=2 E_{1} \cos \theta=\frac{1}{4 \pi \varepsilon_{0}} \frac{2 q}{r^{2}+(l / 2)^{2}} \frac{r}{\sqrt{r^{2}+(l / 2)^{2}}}=\frac{1}{2 \pi \varepsilon_{0}} \frac{q r}{\left(r^{2}+l^{2} / 4\right)^{3 / 2}}
$$ | |
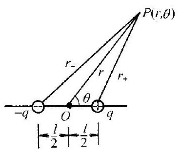
相距为 $l$ 的两个点电荷,电荷量分别为 $q$ 和 $-q$ ,它们间连线的中点为 $O$ ,如图1.2.5(1)所示.(1)试求它们在下列两处所产生的电场强度:(i)在连线的
延长线上离 $O$ 为 $r$ 处;(ii)在连线的中垂面上离 $O$ 为 $r$ 处。(2)对于 $r \gg l$ 的区域来说,这两个电荷构成的系统称为电偶极子。试求电偶极子在上述两处产生的电场强度。

图1.2.5(1)

图1.2.5(2)
$$
\boldsymbol{E}=\boldsymbol{E}_{+}+\boldsymbol{E}_{-}=\frac{q}{4 \pi \varepsilon_{0}}\left[\frac{1}{\left(r-\frac{l}{2}\right)^{2}}-\frac{1}{\left(r+\frac{l}{2}\right)^{2}}\right] \boldsymbol{e}
$$
如果略去 $\frac{l}{r}$ 项,上式便得出 $\boldsymbol{E}=0$ .这显然是不对的.只有将式(8)化成式(1)或式 (2)的最后结果,再略去 $\left(\frac{l}{r}\right)^{2}$ 项,才能得出正确的式(5)。 | 【解】(1)(i)如图1.2.5(2),$P$ 点的电场强度为 $q$ 和 $-q$ 所产生的电场强度 $\boldsymbol{E}_{+}$和 $\boldsymbol{E}_{-}$之和,即
$$
\begin{aligned}
\boldsymbol{E} & =\boldsymbol{E}_{+}+\boldsymbol{E}_{-}=\frac{1}{4 \pi \varepsilon_{0}} \frac{q}{\left(r-\frac{l}{2}\right)^{2}} \boldsymbol{e}+\frac{1}{4 \pi \varepsilon_{0}} \frac{-q}{\left(r+\frac{l}{2}\right)^{2}} \boldsymbol{e} \\
& =\frac{q}{4 \pi \varepsilon_{0}}\left[\frac{1}{\left(r-\frac{l}{2}\right)^{2}}-\frac{1}{\left(r+\frac{l}{2}\right)^{2}}\right] \boldsymbol{e}=\frac{q}{4 \pi \varepsilon_{0}} \frac{2 l r}{\left[r^{2}-\left(\frac{l}{2}\right)^{2}\right]^{2}} \boldsymbol{e}
\end{aligned}
$$
式中 $\boldsymbol{e}$ 是从 $-q$ 到 $q$ 方向上的单位矢量.$P^{\prime}$ 点的电场强度为
$$
\begin{aligned}
\boldsymbol{E}^{\prime} & =\boldsymbol{E}_{+}^{\prime}+\boldsymbol{E}_{-}^{\prime}=\frac{1}{4 \pi \varepsilon_{0}} \frac{q}{\left(r+\frac{l}{2}\right)^{2}}(-\boldsymbol{e})+\frac{1}{4 \pi \varepsilon_{0}} \frac{-q}{\left(r-\frac{l}{2}\right)^{2}}(-\boldsymbol{e}) \\
& =\frac{q}{4 \pi \varepsilon_{0}}\left[\frac{1}{\left(r-\frac{l}{2}\right)^{2}}-\frac{1}{\left(r+\frac{l}{2}\right)^{2}}\right] \boldsymbol{e}=\frac{1}{4 \pi \varepsilon_{0}} \frac{2 q l r}{\left[r^{2}-\left(\frac{l}{2}\right)^{2}\right]^{2}} \boldsymbol{e}
\end{aligned}
$$
由以上两式可见 $\boldsymbol{E}^{\prime}=\boldsymbol{E}$ .
(ii)如图1.2.5(3),根据距离相等,可知 $q$ 和 $-q$ 所产生的电场强度 $\boldsymbol{E}_{+}$和 $\boldsymbol{E}_{-}$大小相等,故 $P$ 点的电场强度 $\boldsymbol{E}=\boldsymbol{E}_{+}+\boldsymbol{E}_{-}$的方向与 $\boldsymbol{e}$ 相反, $\boldsymbol{E}$ 的大小为
$$
\begin{aligned}
E & =2 \cdot \frac{1}{4 \pi \varepsilon_{0}} \frac{q}{r^{2}+\left(\frac{l}{2}\right)^{2}} \cos \theta \\
& =2 \cdot \frac{q}{4 \pi \varepsilon_{0}} \frac{1}{r^{2}+\left(\frac{l}{2}\right)^{2}} \frac{l / 2}{\sqrt{r^{2}+\left(\frac{l}{2}\right)^{2}}} \\
& =\frac{1}{4 \pi \varepsilon_{0}} \frac{q l}{\left[r^{2}+\left(\frac{l}{2}\right)^{2}\right]^{3 / 2}}
\end{aligned}
$$

图1.2.5(3)
所以
$$
\boldsymbol{E}=-\frac{1}{4 \pi \varepsilon_{0}} \frac{q l}{\left[r^{2}+\left(\frac{l}{2}\right)^{2}\right]^{3 / 2}} \boldsymbol{e}
$$
(2)电偶极子的电场强度 根据电偶极子的定义,$r \gg l$ ,故式(1)、(2)和(4)分母中的 $\left(\frac{l}{2}\right)^{2}$与 $r^{2}$ 相比,可以略去.于是得延长线上的电场强度为
$$
\boldsymbol{E}^{\prime}=\boldsymbol{E}=\frac{\boldsymbol{p}}{2 \pi \varepsilon_{0} r^{3}}
$$
中垂面上的电场强度为
$$
\boldsymbol{E}=-\frac{\boldsymbol{p}}{4 \pi \varepsilon_{0} r^{3}}
$$
式中
$$
\boldsymbol{p}=q l \boldsymbol{e}=p \boldsymbol{e}
$$
是电偶极子的电偶极矩。 | |
相距为 $l$ 的两个点电荷,电荷量分别为 $q$ 和 $-q$ ,它们连线的中点为 $O$ ,如图1.2.6(1)所示. $\boldsymbol{e}$ 是从 $-q$ 到 $q$ 方向上的单位矢量, $\boldsymbol{r}$ 是 $O$ 到 $P$ 点的位矢,$\theta$是 $\boldsymbol{r}$ 与 $\boldsymbol{l}(\boldsymbol{l}=\boldsymbol{e})$ 的夹角。(1)试求它们在 $P$ 点产生的电场强度 $\boldsymbol{E}$ 在 $\boldsymbol{r}$ 方向上的分量 $E_{r}$ 和在 $\theta$ 方向上的分量 $E_{\theta}$ 。(2)对于 $r \gg l$ 的区域来说,这两个电荷构成的系统称为电偶极子。试求电偶极子在 $P$ 点产生的 $E_{r}$ 和 $E_{\theta}$ 。

图1.2.6(1)

图1.2.6(2) | 【解】(1)如图1.2.6(2),$q$ 和 $-q$ 在 $P$ 点产生的电场强度分别为 $\boldsymbol{E}_{+}$和 $\boldsymbol{E}_{-}$,其大小分别为
$$
E_{+}=\frac{1}{4 \pi \varepsilon_{0}} \frac{q}{r_{+}^{2}}, \quad E_{-}=\frac{1}{4 \pi \varepsilon_{0}} \frac{q}{r_{-}^{2}}
$$
式中
$$
r_{+}^{2}=r^{2}+\left(\frac{l}{2}\right)^{2}-r l \cos \theta, \quad r_{-}^{2}=r^{2}+\left(\frac{l}{2}\right)^{2}+r l \cos \theta
$$
由图1.2.6(2)可见,$P$ 点的电场强度 $\boldsymbol{E}=\boldsymbol{E}_{+}+\boldsymbol{E}_{-}$在 $\boldsymbol{r}$ 方向上的分量为
$$
E_{r}=E_{+} \cos \left(\theta_{+}-\theta\right)-E_{-} \cos \left(\theta_{-} \theta_{-}\right)
$$
$\boldsymbol{E}$ 在 $\theta$ 方向上的分量为
$$
E_{\theta}=E_{+} \sin \left(\theta_{+}-\theta\right)+E_{-} \sin \left(\theta-\theta_{-}\right)
$$
式中 $\theta_{+}$和 $\theta_{-}$分别为 $\boldsymbol{r}_{+}$和 $\boldsymbol{r}_{-}$与 $\boldsymbol{l}$ 的夹角.由图1.2.6(2)可见
$$
\begin{gathered}
\cos \left(\theta_{+}-\theta\right)=\frac{r^{2}+r_{+}^{2}-l^{2} / 4}{2 r r_{+}}, \quad \cos \left(\theta-\theta_{-}\right)=\frac{r^{2}+r_{-}^{2}-l^{2} / 4}{2 r r_{-}} \\
\sin \left(\theta_{+}-\theta\right)=\frac{l}{2 r_{+}} \sin \theta, \quad \sin \left(\theta-\theta_{-}\right)=\frac{l}{2 r_{-}} \sin \theta
\end{gathered}
$$
将式(1)、(2)、(5)、(6)分别代人式(3)和式(4),便得出用 $r$ 和 $\theta$ 表示的 $E_{r}$ 和 $E_{\theta}$ 如下:
$$
\begin{aligned}
E_{r}= & \frac{q}{4 \pi \varepsilon_{0}} \frac{1}{r_{+}^{2}} \cos \left(\theta_{+}-\theta\right)-\frac{q}{4 \pi \varepsilon_{0}} \frac{1}{r_{-}^{2}} \cos \left(\theta-\theta_{-}\right) \\
= & \frac{q}{4 \pi \varepsilon_{0}}\left\{\frac{1}{r_{+}^{2}} \frac{r^{2}+r_{+}^{2}-l^{2} / 4}{2 r r_{+}}-\frac{1}{r_{-}^{2}} \frac{r^{2}+r_{-}^{2}-l^{2} / 4}{2 r r_{-}}\right\} \\
= & \frac{q}{4 \pi \varepsilon_{0}}\left\{\frac{r-\frac{l}{2} \cos \theta}{\left(r^{2}+l^{2} / 4-r l \cos \theta\right)^{3 / 2}}-\frac{r+\frac{l}{2} \cos \theta}{\left(r^{2}+l^{2} / 4+r l \cos \theta\right)^{3 / 2}}\right\} \\
= & \frac{q}{4 \pi \varepsilon_{0}}\left\{r\left[\frac{1}{\left(r^{2}+l^{2} / 4-r l \cos \theta\right)^{3 / 2}}-\frac{1}{\left(r^{2}+l^{2} / 4+r l \cos \theta\right)^{3 / 2}}\right]\right. \\
& \left.-\frac{l}{2} \cos \theta\left[\frac{1}{\left(r^{2}+l^{2} / 4-r l \cos \theta\right)^{3 / 2}}+\frac{1}{\left(r^{2}+l^{2} / 4+r l \cos \theta\right)^{3 / 2}}\right]\right\} \\
E_{\theta} & =\frac{q}{4 \pi \varepsilon_{0}} \frac{1}{r_{+}^{2}} \sin \left(\theta_{+}-\theta\right)+\frac{q}{4 \pi \varepsilon_{0}} \frac{1}{r_{-}^{2}} \sin (\theta-\theta-) \\
& =\frac{q}{4 \pi \varepsilon_{0}}\left\{\frac{1}{r_{+}^{2}} \frac{l \sin \theta}{2 r_{+}}+\frac{1}{r_{-}^{2}} \frac{l \sin \theta}{2 r_{-}}\right\} \\
& =\frac{q l \sin \theta}{8 \pi \varepsilon_{0}}\left\{\frac{1}{\left(r^{2}+l^{2} / 4-r l \cos \theta\right)^{3 / 2}}+\frac{1}{\left(r^{2}+l^{2} / 4+r l \cos \theta\right)^{3 / 2}}\right\}
\end{aligned}
$$
(2)上面式(7)、(8)都是准确表达式.当 $r \gg l$ 时,可取近似如下:
$$
\begin{aligned}
& \frac{1}{\left(r^{2}+l^{2} / 4-r l \cos \theta\right)^{3 / 2}}-\frac{1}{\left(r^{2}+l^{2} / 4+r l \cos \theta\right)^{3 / 2}} \\
\approx & \frac{1}{r^{3}\left(1-\frac{l \cos \theta}{r}\right)^{3 / 2}}-\frac{1}{r^{3}\left(1+\frac{l \cos \theta}{r}\right)^{3 / 2}} \\
\approx & \frac{1}{r^{3}}\left[1+\frac{3}{2} \frac{l}{r} \cos \theta-1+\frac{3}{2} \frac{l}{r} \cos \theta\right]=\frac{3 l}{r^{4}} \cos \theta \\
& \frac{1}{\left(r^{2}+l^{2} / 4-r l \cos \theta\right)^{3 / 2}}+\frac{1}{\left(r^{2}+l^{2} / 4+r l \cos \theta\right)^{3 / 2}} \\
\approx & \frac{1}{r^{3}}\left[1+\frac{3}{2} \frac{l}{r} \cos \theta+1-\frac{3}{2} \frac{l}{r} \cos \theta\right]=\frac{2}{r^{3}}
\end{aligned}
$$
将以上两式分别代人式(7)、(8)便得
$$
\begin{aligned}
E_{r} & =\frac{2 q l \cos \theta}{4 \pi \varepsilon_{0} r^{3}}=\frac{2 p \cos \theta}{4 \pi \varepsilon_{0} r^{3}} \\
E_{\theta} & =\frac{q l \sin \theta}{4 \pi \varepsilon_{0} r^{3}}=\frac{p \sin \theta}{4 \pi \varepsilon_{0} r^{3}}
\end{aligned}
$$
式中 $p=q l$ 是这电偶极子的电偶极矩 $\boldsymbol{p}=q l$ 的大小。 | |
相距为 $l$ 的两个点电荷,电荷量分别为 $q$ 和 $-q$ ,以它们的连线为 $x$轴,连线的中点为原点,取笛卡儿坐标系如图1.2.7(1)所示。(1)$P(x, y)$ 为 $x, y$ 平面上任一点,试求它们在 $P$ 点产生的电场强度 $\boldsymbol{E}$ ;(2)对于 $r \gg l$ 的区域来说,这两个电荷构成的系统称为电偶极子。试求电偶极子在 $P$ 点产生的电场强度。

图1.2.7(1)

图1.2.7(2) | 【解】(1)如图1.2.7(1),$q$ 和 $-q$ 在 $P$ 点产生的电场强度分别为 $\boldsymbol{E}_{+}$和 $\boldsymbol{E}_{-}$,其大小分别为
$$
E_{+}=\frac{q}{4 \pi \varepsilon_{0}} \frac{1}{r_{+}^{2}}, \quad E_{-}=\frac{q}{4 \pi \varepsilon_{0}} \frac{1}{r_{-}^{2}}
$$
式中
$$
r_{+}^{2}=\left(x-\frac{l}{2}\right)^{2}+y^{2}, \quad r_{-}^{2}=\left(x+\frac{l}{2}\right)^{2}+y^{2}
$$
由图1.2.7(2)可见,$P$ 点的电场强度 $\boldsymbol{E}=\boldsymbol{E}_{+}+\boldsymbol{E}_{-}$在 $x$ 方向上的分量为
$$
\begin{aligned}
E_{x} & =E_{+} \cos \theta_{+}-E_{-} \cos \theta_{-}=E_{+} \frac{x-l / 2}{r_{+}}-E_{-} \frac{x+l / 2}{r_{-}} \\
& =\frac{q}{4 \pi \varepsilon_{0}}\left\{\frac{x-l / 2}{r_{+}^{3}}-\frac{x+l / 2}{r_{-}^{3}}\right\} \\
& =\frac{q}{4 \pi \varepsilon_{0}}\left\{\frac{x-l / 2}{\left[(x-l / 2)^{2}+y^{2}\right]^{3 / 2}}-\frac{x+l / 2}{\left[(x+l / 2)^{2}+y^{2}\right]^{3 / 2}}\right\}
\end{aligned}
$$
在 $y$ 方向的分量为
$$
\begin{aligned}
E_{y} & =E_{+} \sin \theta_{+}-E_{-} \sin \theta_{-}=E_{+} \frac{y}{r_{+}}-E_{-} \frac{y}{r_{-}} \\
& =\frac{q}{4 \pi \varepsilon_{0}}\left\{\frac{y}{\left[(x-l / 2)^{2}+y^{2}\right]^{3 / 2}}-\frac{y}{\left[(x+l / 2)^{2}+y^{2}\right]^{3 / 2}}\right\}
\end{aligned}
$$
于是得所求的电场强度为
$$
\boldsymbol{E}=\frac{q}{4 \pi \varepsilon_{0}}\left\{\frac{(x-l / 2) \boldsymbol{i}+y \boldsymbol{j}}{\left[(x-l / 2)^{2}+y^{2}\right]^{3 / 2}}-\frac{(x+l / 2) \boldsymbol{i}+y \boldsymbol{j}}{\left[(x+l / 2)^{2}+y^{2}\right]^{3 / 2}}\right\}
$$
(2)上面式(5)是准确表达式.当 $r=\sqrt{x^{2}+y^{2}} \gg l$ 时,可近似如下:
$$
\begin{aligned}
\frac{1}{\left[(x-l / 2)^{2}+y^{2}\right]^{3 / 2}} & \approx \frac{1}{\left[x^{2}+y^{2}-x l\right]^{3 / 2}} \\
& =\frac{1}{\left(x^{2}+y^{2}\right)^{3 / 2}}\left[1-\frac{x l}{x^{2}+y^{2}}\right]^{-3 / 2} \approx \frac{1}{\left(x^{2}+y^{2}\right)^{3 / 2}}\left[1+\frac{3 x l}{2\left(x^{2}+y^{2}\right)}\right] \\
\frac{1}{\left[(x+l / 2)^{2}+y^{2}\right]^{3 / 2}} & \approx \frac{1}{\left(x^{2}+y^{2}\right)^{3 / 2}}\left[1-\frac{3 x l}{2\left(x^{2}+y^{2}\right)}\right]
\end{aligned}
$$
所以
$$
\begin{aligned}
& \frac{x-l / 2}{\left[(x-l / 2)^{2}+y^{2}\right]^{3 / 2}}-\frac{x+l / 2}{\left[(x+l / 2)^{2}+y^{2}\right]^{3 / 2}} \\
\approx & \frac{1}{\left(x^{2}+y^{2}\right)^{3 / 2}}\left\{(x-l / 2)\left[1+\frac{3 x l}{2\left(x^{2}+y^{2}\right)}\right]-(x+l / 2)\left[1-\frac{3 x l}{2\left(x^{2}+y^{2}\right)}\right]\right\} \\
= & \frac{\left(2 x^{2}-y^{2}\right) l}{\left(x^{2}+y^{2}\right)^{5 / 2}} \\
& \quad \frac{1}{\left[(x-l / 2)^{2}+y^{2}\right]^{3 / 2}}-\frac{1}{\left[(x+l / 2)^{2}+y^{2}\right]^{3 / 2}} \approx \frac{3 x l}{\left(x^{2}+y^{2}\right)^{5 / 2}}
\end{aligned}
$$
将式(8)、(9)代人式(5),便得所求的电场强度为
$$
\boldsymbol{E}=\frac{p}{4 \pi \varepsilon_{0}\left(x^{2}+y^{2}\right)^{5 / 2}}\left[\left(2 x^{2}-y^{2}\right) \boldsymbol{i}+3 x y \boldsymbol{j}\right]
$$
式中 $p=q l$ 是这电偶极子的电偶极矩 $\boldsymbol{p}=q l$ 的大小,$l$ 是从 $-q$ 到 $q$ 的位矢。 | |
电荷量都是 $q$ 的两个点电荷,相距为 $2 l$ ,另一点电荷的电荷量为

图1.2.10
$-2 q$ ,处在它们连线的中点,如图1.2.10所示.$P$ 是它们延长线上的一点,$P$ 到 $-2 q$ 的距离为 $r$ 。(1)试求这三个点电荷在 $P$ 点产生的电场强度;(2)对于 $r \gg l$的区域来说,这个电荷系统称为线性电四极子。试求这线性电四极子在 $P$ 点产生的电场强度。
求电偶极子的电场强度 $\boldsymbol{E}$ 的计算中,可略去 $\left(\frac{l}{r}\right)^{2}$ 项及更高次项;而在求电四极子的电场强度 $\boldsymbol{E}$ 的计算中,要保留 $\left(\frac{l}{r}\right)^{2}$ 项,略去 $\left(\frac{l}{r}\right)^{4}$ 项及更高次项。 | 【解】(1)如图1.2.10,令 $\boldsymbol{e}$ 表示从 $-2 q$ 到 $P$ 的方向上的单位矢量,则三个点电荷在 $P$ 点产生的电场强度为
$$
\begin{aligned}
\boldsymbol{E} & =\frac{1}{4 \pi \varepsilon_{0}} \frac{q}{(r-l)^{2}} \boldsymbol{e}+\frac{1}{4 \pi \varepsilon_{0}} \frac{-2 q}{r^{2}} \boldsymbol{e}+\frac{1}{4 \pi \varepsilon_{0}} \frac{q}{(r+l)^{2}} \boldsymbol{e} \\
& =\frac{q}{4 \pi \varepsilon_{0}}\left[\frac{1}{(r-l)^{2}}+\frac{1}{(r+l)^{2}}-\frac{2}{r^{2}}\right] \boldsymbol{e}=\frac{q}{4 \pi \varepsilon_{0}}\left[\frac{2 r^{2}+2 l^{2}}{\left(r^{2}-l^{2}\right)^{2}}-\frac{2}{r^{2}}\right] \boldsymbol{e} \\
& =\frac{2 q}{4 \pi \varepsilon_{0} r^{2}}\left[\frac{r^{2}+l^{2}}{r^{2}\left(1-\frac{l^{2}}{r^{2}}\right)^{2}}-1\right] \boldsymbol{e}
\end{aligned}
$$
(2)当 $r \gg l$ 时,上式方括号内可化为
$$
\begin{aligned}
\frac{r^{2}+l^{2}}{r^{2}\left(1-\frac{l^{2}}{r^{2}}\right)^{2}}-1 & =\frac{1+\frac{l^{2}}{r^{2}}}{\left(1-\frac{l^{2}}{r^{2}}\right)^{2}}-1 \approx\left(1+\frac{l^{2}}{r^{2}}\right)\left(1+2 \frac{l^{2}}{r^{2}}\right)-1 \\
& =1+3 \frac{l^{2}}{r^{2}}+2 \frac{l^{4}}{r^{4}}-1 \approx 3 \frac{l^{2}}{r^{2}}
\end{aligned}
$$
于是得这时
$$
\boldsymbol{E}=\frac{2 q}{4 \pi \varepsilon_{0} r^{2}} \cdot 3 \frac{l^{2}}{r^{2}} \boldsymbol{e}=\frac{1}{4 \pi \varepsilon_{0}} \frac{3 Q_{0}}{r^{4}} \boldsymbol{e}
$$
式中
$$
Q=2 q l^{2}
$$
称为这电四极子的电四极矩. | |
四个点电荷分别处在一个边长为 $l$ 的正方形的四个角上,它们的电荷量分别为 $-q 、 q 、-q$ 和 $q$ ,如图1.2.11(1)所示。 $P$ 是与正方形在同一平面内的一点,$P$ 到正方形中心 $O$ 的距离为 $r$ ,且 $O P$ 连线平行于正方形的两边。(1)试求四个电荷在 $P$ 点产生的电场强度; (2)对于 $r \gg l$ 的区域来说,这四个电荷构成的

图1.2.11(1)
系统称为平面电四极子。试求这平面电四极子在 $P$ 点产生的电场强度。 | 【解】(1)以 $O$ 为原点,$O P$ 为 $x$ 轴取笛卡儿坐标系,如图1.2.11(2)所示.由对称性可见
$$
\begin{aligned}
E_{x}=E_{1 x}+E_{2 x}+E_{3 x}+E_{4 x}=0 & \\
E_{y}= & E_{1 y}+E_{2 y}+E_{3 y}+E_{4 y}=2 E_{1 y}+2 E_{2 y}=\frac{2 q}{4 \pi \varepsilon_{0} r_{1}^{2}} \sin \theta_{1}-\frac{2 q}{4 \pi \varepsilon_{0} r_{2}^{2}} \sin \theta_{2} \\
= & \frac{2 q}{4 \pi \varepsilon_{0}}\left\{\frac{1}{r_{1}^{2}} \frac{l / 2}{r_{1}}-\frac{1}{r_{2}^{2}} \frac{l / 2}{r_{2}}\right\}=\frac{q l}{4 \pi \varepsilon_{0}}\left\{\frac{1}{r_{1}^{3}}-\frac{1}{r_{2}^{3}}\right\} \\
= & \frac{q l}{4 \pi \varepsilon_{0}}\left\{\frac{1}{\left[(r-l / 2)^{2}+(l / 2)^{2}\right]^{3 / 2}}-\frac{1}{\left[(r+l / 2)^{2}+(l / 2)^{2}\right]^{3 / 2}}\right\} \\
= & \frac{q l}{4 \pi \varepsilon_{0}}\left\{\frac{1}{\left(r^{2}-r l+l^{2} / 2\right)^{3 / 2}}-\frac{1}{\left(r^{2}+r l+l^{2} / 2\right)^{3 / 2}}\right\}
\end{aligned}
$$
于是得 $P$ 点的电场强度为
$$
\boldsymbol{E}_{P}=E_{x} \boldsymbol{i}+E_{y} \boldsymbol{j}=\frac{q l}{4 \pi \varepsilon_{0}}\left\{\frac{1}{\left(r^{2}-r l+l^{2} / 2\right)^{3 / 2}}-\frac{1}{\left(r^{2}+r l+l^{2} / 2\right)^{3 / 2}}\right\} \boldsymbol{j}
$$

图1.2.11(2)
(2)当 $r \gg l$ 时,式(3)中方括号内可化为
所以
$$
\begin{aligned}
& \frac{1}{\left(r^{2}-r l+l^{2} / 2\right)^{3 / 2}}-\frac{1}{\left(r^{2}+r l+l^{2} / 2\right)^{3 / 2}} \\
& \approx \frac{1}{\left(r^{2}-r l\right)^{3 / 2}}-\frac{1}{\left(r^{2}+r l\right)^{3 / 2}}=\frac{1}{r^{3}}\left[\frac{1}{(1-l / r)^{3 / 2}}-\frac{1}{(1+l / r)^{3 / 2}}\right] \\
& \approx \frac{1}{r^{3}}\left[1+\frac{3}{2} \frac{l}{r}-\left(1-\frac{3}{2} \frac{l}{r}\right)\right]=\frac{3 l}{r^{4}} \\
& \boldsymbol{E}_{P}=\frac{q l}{4 \pi \varepsilon_{0}} \cdot \frac{3 l}{r^{4}} \boldsymbol{j}=\frac{3 q l^{2}}{4 \pi \varepsilon_{0} r^{4}} \boldsymbol{j}
\end{aligned}
$$ | |
电荷量 $q$ 均匀地分布在长为 $2 l$ 的一段直线上,线的中点为 $O$ .试求这电荷在下列各处产生的电场强度:(1)线的延长线上离 $O$ 为 $r$ 处;(2)线的中垂面上离 $O$ 为 $r$ 处;(3)通过一端的垂面上离该端为 $r$ 处。

图1.2.12(1) | 【解】(1)延长线上离 $O$ 为 $r$ 处的 $A$ 点.由对称性可知,所求的电场强度 $\boldsymbol{E}_{A}$ 沿 $O A$ 方向(设 $q>0$ )。电荷线上 $x$ 处 [图 1.2.12(1)] $\mathrm{d} x$ 段上的电荷量 $\mathrm{d} q=\frac{q}{2 l} \mathrm{~d} x$ 在 $A$ 点产生的电场强度为
$$
\mathrm{d} \boldsymbol{E}_{A}=\frac{\mathrm{d} q}{4 \pi \varepsilon_{0}(r-x)^{2}} \boldsymbol{e}_{A}=\frac{q}{8 \pi \varepsilon_{0} l} \frac{\mathrm{~d} x}{(r-x)^{2}} \boldsymbol{e}_{A}
$$
式中 $\boldsymbol{e}_{A}$ 为 $O A$ 方向上的单位矢量.积分得
$$
\begin{aligned}
\boldsymbol{E}_{A} & =\frac{q \boldsymbol{e}_{A}}{8 \pi \varepsilon_{0} l} \int_{-l}^{l} \frac{\mathrm{~d} x}{(r-x)^{2}}=\left.\frac{q \boldsymbol{e}_{A}}{8 \pi \varepsilon_{0} l} \frac{1}{r-x}\right|_{-l} ^{l} \\
& =\frac{q \boldsymbol{e}_{A}}{8 \pi \varepsilon_{0} l}\left[\frac{1}{r-l}-\frac{1}{r+l}\right]=\frac{q}{4 \pi \varepsilon_{0}} \frac{1}{r^{2}-l^{2}} \boldsymbol{e}_{A}, \quad r>l
\end{aligned}
$$
(2)中垂面上离 $O$ 为 $r$ 处的 $B$ 点.由对称性可知,所求的电场强度 $\boldsymbol{E}_{B}$ 沿 $O B$ 方向(设 $q>0$ ).如图1.2.12(2),电荷线上 $x$ 处 $\mathrm{d} x$ 段上的电荷量 $\mathrm{d} q=\frac{q}{2 l} \mathrm{d} x$ 在 $B$ 点产生的电场强度 $\mathrm{d} \boldsymbol{E}_{B}$ 的大小为
$$
\mathrm{d} E_{B}=\frac{\mathrm{d} q}{4 \pi \varepsilon_{0}\left(r^{2}+x^{2}\right)}=\frac{q}{8 \pi \varepsilon_{0} l r^{2}+x^{2}} \frac{\mathrm{~d} x}{}
$$
于是得 $\boldsymbol{E}_{B}$ 的大小为

$$
\begin{aligned}
E_{B} & =\int\left(\mathrm{d} E_{B}\right) \cos \theta=\int(\mathrm{d} E) \frac{r}{\sqrt{r^{2}+x^{2}}} \\
& =\frac{q r}{8 \pi \varepsilon_{0} l} \int_{-l}^{l} \frac{\mathrm{~d} x}{\left(r^{2}+x^{2}\right)^{3 / 2}}
\end{aligned}
$$
图1.2.12(2)
$$
=\frac{q r}{8 \pi \varepsilon_{0} l}\left[\frac{x}{r^{2} \sqrt{r^{2}+x^{2}}}\right]_{-l}^{l}=\frac{q}{4 \pi \varepsilon_{0} r \sqrt{r^{2}+l^{2}}}
$$
所以
$$
\boldsymbol{E}_{B}=\frac{q}{4 \pi \varepsilon_{0}} \frac{1}{r \sqrt{r^{2}+l^{2}}} \boldsymbol{e}_{B}, \quad r>0
$$
式中 $\boldsymbol{e}_{B}$ 为 $O B$ 方向上的单位矢量.
(3)一端的垂面上离该端为 $r$ 处的 $C$ 点.由对称性可知,所求的电场强度 $\boldsymbol{E}_{C}$ 其方向在 $C$ 点与带电线所构成的平面内. $\boldsymbol{E}_{C}$ 可表示为
$$
\boldsymbol{E}_{C}=\boldsymbol{E}_{\|}+\boldsymbol{E}_{\perp}
$$
式中 $\boldsymbol{E}_{\|}$为平行于带电线的分量, $\boldsymbol{E}_{\perp}$ 为垂直于带电线的分量.如图1.2.12(3),电荷线上 $x$ 处 $\mathrm{d} x$ 段上的电荷量 $\mathrm{d} q=\frac{q}{2 l} \mathrm{~d} x$ 在 $C$ 点产生的电场强度 $\mathrm{d} \boldsymbol{E}_{C}$ ,其平行于带电线的分量为
$$
\begin{aligned}
\mathrm{d} E_{\|} & =\frac{\mathrm{d} q}{4 \pi \varepsilon_{0}} \frac{1}{(l-x)^{2}+r^{2}} \sin \theta \\
& =\frac{q}{8 \pi \varepsilon_{0} l} \frac{\mathrm{~d} x}{(l-x)^{2}+r^{2}} \frac{l-x}{\sqrt{(l-x)^{2}+r^{2}}} \\
& =\frac{q}{8 \pi \varepsilon_{0} l} \frac{(l-x) \mathrm{d} x}{\left[(l-x)^{2}+r^{2}\right]^{3 / 2}}
\end{aligned}
$$

图1.2.12(3)
积分得
$$
\begin{aligned}
E_{\|} & =\frac{q}{8 \pi \varepsilon_{0} l} \int_{-l}^{l} \frac{(l-x) \mathrm{d} x}{\left[(l-x)^{2}+r^{2}\right]^{3 / 2}}=\frac{q}{8 \pi \varepsilon_{0} l}\left[\frac{1}{\sqrt{(l-x)^{2}+r^{2}}}\right]_{-l}^{l} \\
& =\frac{q}{8 \pi \varepsilon_{0} l}\left[\frac{1}{r}-\frac{1}{\sqrt{r^{2}+4 l^{2}}}\right], \quad r>0
\end{aligned}
$$
$\mathrm{d} \boldsymbol{E}_{C}$ 垂直于带电线的分量为
$$
\begin{aligned}
\mathrm{d} E_{\perp} & =\frac{\mathrm{d} q}{4 \pi \varepsilon_{0}} \frac{1}{(l-x)^{2}+r^{2}} \cos \theta=\frac{q}{8 \pi \varepsilon_{0} l} \frac{\mathrm{~d} x}{(l-x)^{2}+r^{2}} \frac{r}{\sqrt{(l-x)^{2}+r^{2}}} \\
& =\frac{q r}{8 \pi \varepsilon_{0} l} \frac{\mathrm{~d} x}{\left[(l-x)^{2}+r^{2}\right]^{3 / 2}}
\end{aligned}
$$
积分得
$$
\begin{aligned}
E_{\perp} & =\frac{q r}{8 \pi \varepsilon_{0} l} \int_{-l}^{l} \frac{\mathrm{~d} x}{\left[(l-x)^{2}+r^{2}\right]^{3 / 2}}=-\frac{q}{8 \pi \varepsilon_{0} l}\left[\frac{l-x}{r \sqrt{(l-x)^{2}+r^{2}}}\right]_{-l}^{l} \\
& =\frac{q}{4 \pi \varepsilon_{0}} \frac{1}{r \sqrt{r^{2}+4 l^{2}}}, \quad r>0
\end{aligned}
$$
于是得 $\boldsymbol{E}_{C}$ 的大小为
$$
\begin{aligned}
E_{C} & =\sqrt{E_{\|}^{2}+E_{\perp}^{2}} \\
& =\frac{q}{4 \pi \varepsilon_{0}}\left\{\left[\frac{1}{2 l}\left(\frac{1}{r}-\frac{1}{\sqrt{r^{2}+4 l^{2}}}\right)\right]^{2}+\left[\frac{1}{r \sqrt{r^{2}+4 l^{2}}}\right]^{2}\right\}^{1 / 2}
\end{aligned}
$$
$$
\begin{aligned}
& =\frac{q}{4 \pi \varepsilon_{0}}\left\{\frac{1}{4 l^{2} r^{2}}-\frac{1}{2 r l^{2} \sqrt{r^{2}+4 l^{2}}}+\frac{1}{4 l^{2}\left(r^{2}+4 l^{2}\right)}+\frac{1}{r^{2}\left(r^{2}+4 l^{2}\right)}\right\}^{1 / 2} \\
& =\frac{q}{4 \pi \varepsilon_{0}}\left\{\frac{1}{2 r^{2} l^{2}}-\frac{1}{2 r l^{2} \sqrt{r^{2}+4 l^{2}}}\right\}^{1 / 2}=\frac{q}{4 \pi \varepsilon_{0}}\left\{\frac{1}{2 l^{2} r^{2}}\left(1-\frac{r}{\sqrt{r^{2}+4 l^{2}}}\right)\right\}^{1 / 2} \\
& =\frac{q}{4 \pi \varepsilon_{0}} \sqrt{\frac{\sqrt{r^{2}+4 l^{2}}-r}{2 r^{2} l^{2} \sqrt{r^{2}+4 l^{2}}}}, \quad r>0
\end{aligned}
$$
$\boldsymbol{E}_{C}$ 的方向与该端垂面的夹角为
$$
\begin{aligned}
\theta_{C} & =\arctan \frac{E_{\|}}{E_{\perp}}=\arctan \left\{\frac{1}{2 l}\left[\frac{1}{r}-\frac{1}{\sqrt{r^{2}+4 l^{2}}}\right] r \sqrt{r^{2}+4 l^{2}}\right\} \\
& =\arctan \left(\frac{\sqrt{r^{2}+4 l^{2}}-r}{2 l}\right), \quad r>0
\end{aligned}
$$ | |
电荷量 $q$ 均匀地分布在长为 $l$ 的一段直线上.(1)试求这直线的中垂面上离线的中点为 $r$ 处 $q$ 所产生的电场强度 $\boldsymbol{E} ; ~(2)$ 当 $l \rightarrow 0$ 时, $\boldsymbol{E}=$ ?(3)当 $l \rightarrow \infty$且使 $\frac{q}{l}=\lambda$ 保持为常数时, $\boldsymbol{E}=$ ?

图1.2.13 | 【解】(1)设带电线的中点为 $O$ ,中垂面上的场点为 $P$ ,如图1.2.13所示.由对称性可知,$q$ 在 $P$ 点产生的电场强度 $\boldsymbol{E}$ 的方向必沿 $O P$ 方向(设 $q>0$ )。带电线上 $x$ 处 $\mathrm{d} x$ 段的电荷量 $\mathrm{d} q=\frac{q}{l} \mathrm{~d} x$ 在 $P$点产生 $\mathrm{d} \boldsymbol{E}$ ,其大小为
$$
\mathrm{d} E=\frac{\mathrm{d} q}{4 \pi \varepsilon_{0}\left(r^{2}+x^{2}\right)}=\frac{q}{4 \pi \varepsilon_{0} l r} \frac{\mathrm{~d} x}{r^{2}+x^{2}}
$$
$\mathrm{d} \boldsymbol{E}$ 在 $O P$ 方向上的分量为
$$
(\mathrm{d} E) \cos \theta=(\mathrm{d} E) \frac{r}{\sqrt{r^{2}+x^{2}}}=\frac{q r}{4 \pi \varepsilon_{0} l} \frac{\mathrm{~d} x}{\left(r^{2}+x^{2}\right)^{3 / 2}}
$$
积分得
$$
\begin{aligned}
E & =\frac{q r}{4 \pi \varepsilon_{0} l} \int_{-l / 2}^{l / 2} \frac{\mathrm{~d} x}{\left(r^{2}+x^{2}\right)^{3 / 2}}=\frac{q r}{4 \pi \varepsilon_{0} l}\left[\frac{x}{r^{2} \sqrt{r^{2}+x^{2}}}\right]_{-l / 2}^{l / 2} \\
& =\frac{q}{4 \pi \varepsilon_{0}} \frac{1}{r \sqrt{r^{2}+l^{2} / 4}}, \quad r>0
\end{aligned}
$$
所以
$$
\boldsymbol{E}=\frac{q}{4 \pi \varepsilon_{0}} \frac{\boldsymbol{r}}{r^{2} \sqrt{r^{2}+l^{2} / 4}}, \quad r>0
$$
式中 $\boldsymbol{r}=\overrightarrow{O P}$ .
(2)当 $l \rightarrow 0$ 时,$q$ 即成为点电荷.这时式(4)化为
$$
\boldsymbol{E}=\frac{q}{4 \pi \varepsilon_{0}} \frac{\boldsymbol{r}}{r^{3}}, \quad r>0
$$
(3)当 $l \rightarrow \infty$ 时,先将式(4)化为
$$
\boldsymbol{E}=\frac{q}{4 \pi \varepsilon_{0}} \frac{\boldsymbol{r}}{r^{2}} \frac{2 / l}{\sqrt{1+4(r / l)^{2}}}=\frac{\lambda}{2 \pi \varepsilon_{0}} \frac{\boldsymbol{r}}{r^{2}} \frac{1}{\sqrt{1+4(r / l)^{2}}}
$$
所以
$$
\boldsymbol{E}=\frac{\lambda}{2 \pi \varepsilon_{0}} \frac{\boldsymbol{r}}{r^{2}} \lim _{l \rightarrow \infty} \frac{1}{\sqrt{1+4(r / l)^{2}}}=\frac{\lambda}{2 \pi \varepsilon_{0}} \frac{\boldsymbol{r}}{r^{2}}, \quad r>0
$$ | |
两个共轴的均匀带电圆环,半径都是 $R$ ,相距为 $l$ ,所带电荷量分别为 $q$ 和 $-q$ ;以两环间轴线的中点 $O$ 为原点,沿轴线取 $x$ 轴,如图1.2.17所示。已知 $l \ll R$ ,试求轴线上 $x$ 处的电场强度.

图1.2.17 | 【解】根据1.2.16 题的式(3),均匀带电圆环在轴线上产生的电场强度为
$$
\boldsymbol{E}=\frac{q}{4 \pi \varepsilon_{0}} \frac{\boldsymbol{r}}{\left(r^{2}+R^{2}\right)^{3 / 2}}
$$
由此式得图1.2.17中轴线上 $x>l / 2$ 处的电场强度为
$$
\begin{aligned}
\boldsymbol{E} & =\boldsymbol{E}_{+}+\boldsymbol{E}_{-} \\
& =\frac{q}{4 \pi \varepsilon_{0}} \frac{x-l / 2}{\left[(x-l / 2)^{2}+R^{2}\right]^{3 / 2}} \boldsymbol{e}_{x}-\frac{q}{4 \pi \varepsilon_{0}} \frac{x+l / 2}{\left[(x+l / 2)^{2}+R^{2}\right]^{3 / 2}} \boldsymbol{e}_{x} \\
& =\frac{q}{4 \pi \varepsilon_{0}}\left\{\frac{x-l / 2}{\left[(x-l / 2)^{2}+R^{2}\right]^{3 / 2}}-\frac{x+l / 2}{\left[(x+l / 2)^{2}+R^{2}\right]^{3 / 2}}\right\} \boldsymbol{e}_{x}
\end{aligned}
$$
式中 $\boldsymbol{e}_{x}$ 为 $x$ 轴方向上的单位矢量。
因 $l \ll R$ ,故上式可以简化如下:
$$
\begin{aligned}
& \frac{x-l / 2}{\left[(x-l / 2)^{2}+R^{2}\right]^{3 / 2}}-\frac{x+l / 2}{\left[(x+l / 2)^{2}+R^{2}\right]^{3 / 2}} \\
\approx & \frac{x-l / 2}{\left[x^{2}+R^{2}-x l\right]^{3 / 2}}-\frac{x+l / 2}{\left[x^{2}+R^{2}+x l\right]^{3 / 2}} \\
= & \frac{1}{\left(x^{2}+R^{2}\right)^{3 / 2}}\left[(x-l / 2)\left(1-\frac{x l}{x^{2}+R^{2}}\right)^{-3 / 2}-(x+l / 2)\left(1+\frac{x l}{x^{2}+R^{2}}\right)^{3 / 2}\right] \\
\approx & \frac{1}{\left(x^{2}+R^{2}\right)^{3 / 2}}\left[(x-l / 2)\left(1+\frac{3}{2} \frac{x l}{x^{2}+R^{2}}\right)-(x+l / 2)\left(1-\frac{3}{2} \frac{x l}{x^{2}+R^{2}}\right)\right] \\
= & \frac{l\left(2 x^{2}-R^{2}\right)}{\left(x^{2}+R^{2}\right)^{5 / 2}}
\end{aligned}
$$
故得
$$
\boldsymbol{E}=\frac{q l}{4 \pi \varepsilon_{0}} \frac{2 x^{2}-R^{2}}{\left(x^{2}+R^{2}\right)^{5 / 2}} \boldsymbol{e}_{x}, \quad x>l / 2
$$
在轴线上 $x<-l / 2$ 处,电场强度为
$$
\boldsymbol{E}=\boldsymbol{E}_{+}+\boldsymbol{E}_{-}=\frac{q}{4 \pi \varepsilon_{0}} \frac{x-l / 2}{\left[(x-l / 2)^{2}+R^{2}\right]^{3 / 2}} \boldsymbol{e}_{x}-\frac{q}{4 \pi \varepsilon_{0}} \frac{x+l / 2}{\left[(x+l / 2)^{2}+R^{2}\right]^{3 / 2}} \boldsymbol{e}_{x}
$$
因 $l \ll R$ ,故利用式(3),式(5)可化为
$$
\boldsymbol{E}=\frac{q l}{4 \pi \varepsilon_{0}} \frac{2 x^{2}-R^{2}}{\left(x^{2}+R^{2}\right)^{5 / 2}} \boldsymbol{e}_{x}, \quad x<-l / 2
$$
可见在 $x<-l / 2$ 处与在 $x>l / 2$ 处,电场表达式的形式相同。
再考虑两圆环之间轴线上的电场强度,这时由式(1)和式(3)得
$$
\begin{aligned}
\boldsymbol{E} & =\frac{q}{4 \pi \varepsilon_{0}} \frac{x-l / 2}{\left[(x-l / 2)^{2}+R^{2}\right]^{3 / 2}} \boldsymbol{e}_{x}-\frac{q}{4 \pi \varepsilon_{0}} \frac{x+l / 2}{\left[(x+l / 2)^{2}+R^{2}\right]^{3 / 2}} \boldsymbol{e}_{x} \\
& =\frac{q l}{4 \pi \varepsilon_{0}} \frac{2 x^{2}-R^{2}}{\left(x^{2}+R^{2}\right)^{5 / 2}} \boldsymbol{e}_{x}, \quad l / 2>x>-l / 2
\end{aligned}
$$
因现在 $|x| \leqslant l \ll R$ ,故上式可简化为
$$
\boldsymbol{E}=-\frac{q l}{4 \pi \varepsilon_{0} R^{3}} \boldsymbol{e}_{x}, \quad l / 2>x>-l / 2
$$
这个结果表明,在两圆环之间的轴线上,电场近似为均匀电场。
【别解】本题也可以先求出轴线上 $x$ 处的电势 $U$(参见后面1.4.45题),然后由电场强度 $\boldsymbol{E}$ 与电势 $U$ 的关系式 $\boldsymbol{E}=-\nabla U$ 求 $\boldsymbol{E}$ 。 | |
电荷量 $q$ 均匀分布在半径为 $R$ 的半圆环上,试求环心的电场强度. | 【解】 如图 1.2.18,半圆环 $A C B$ 上 $C$ 处的电荷量 $\mathrm{d} q= \frac{q}{\pi R} R \mathrm{~d} \theta=\frac{q}{\pi} \mathrm{~d} \theta$ 在环心 $O$ 产生的电场强度 $\mathrm{d} \boldsymbol{E}$ ,其大小为
$$
\mathrm{d} E=\frac{\mathrm{d} q}{4 \pi \varepsilon_{0} R^{2}}=\frac{q}{4 \pi^{2} \varepsilon_{0} R^{2}} \mathrm{~d} \theta
$$

图1.2.18
由对称性可知,半圆环上的电荷在 $O$ 点产生的电场强度 $\boldsymbol{E}$其方向必定垂直于直径 $A B$ ,其大小为
$$
E=\int(\mathrm{d} E) \sin \theta=\frac{q}{4 \pi^{2} \varepsilon_{0} R^{2}} \int_{0}^{\pi} \sin \theta \mathrm{d} \theta=\frac{q}{2 \pi^{2} \varepsilon_{0} R^{2}}
$$
于是得
$$
\boldsymbol{E}=\frac{q}{2 \pi^{2} \varepsilon_{0} R^{2}} \boldsymbol{e}
$$
式中 $\boldsymbol{e}$ 为垂直于 $A B$ 并向上的单位矢量. | |
一无穷长均匀带电线,有一部分弯成半圆形,其余部分则为两条无穷长的平行直线,两直线都与半圆的直径 $A B$ 垂直,且它们都在同一平面内,如图 1.2.20(1)所示.试求圆心 $O$ 的电场强度. | 【解】用电场强度叠加原理求解.先求半圆上的电荷在圆心 $O$ 产生的电场强度 $\boldsymbol{E}_{1}$ .设圆的半径为 $R$ ,单位长度的电荷量为 $\lambda$ ,则如图1.2.20(2)所示,圆上 $C$ 处的电荷量 $\mathrm{d} q=\lambda R \mathrm{~d} \theta$ 在 $O$点产生的电场强度 $\mathrm{d} \boldsymbol{E}_{1}$ 其大小为
$$
\mathrm{d} E_{1}=\frac{\lambda R \mathrm{~d} \theta}{4 \pi \varepsilon_{0} R^{2}}=\frac{\lambda \mathrm{d} \theta}{4 \pi \varepsilon_{0} R}
$$

图1.2.20(1)

图1.2.20(2)
$\mathrm{d} \boldsymbol{E}_{1}$ 平行于两直线的分量为
$$
\left(\mathrm{d} E_{1}\right) \sin \theta=\frac{\lambda}{4 \pi \varepsilon_{0} R} \sin \theta \mathrm{~d} \theta
$$
根据对称性,半圆上的电荷在 $O$ 点产生的电场强度 $\boldsymbol{E}_{1}$ 应平行于两直线.因此, $\boldsymbol{E}_{1}$ 的大小应为
$$
E_{1}=\int_{\theta=0}^{\theta=\pi}\left(\mathrm{d} E_{1}\right) \sin \theta=\frac{\lambda}{4 \pi \varepsilon_{0} R} \int_{0}^{\pi} \sin \theta \mathrm{d} \theta=\frac{\lambda}{2 \pi \varepsilon_{0} R}
$$
于是得
$$
\boldsymbol{E}_{1}=\frac{\lambda}{2 \pi \varepsilon_{0} R} \boldsymbol{e}
$$
式中 $\boldsymbol{e}$ 是图1.2.20(2)中垂直于直径 $A B$ 并指向右边的单位

图1.2.20(3)
矢量。
再求两条半无穷长直线电荷在 $O$ 点产生的电场强度 $\boldsymbol{E}_{2}$ .如图1.2.20(3),一条半无穷长直线上 $D$ 处的电荷量 $\mathrm{d} q =\lambda \mathrm{d} l$ 在 $O$ 点产生的电场强度 $\mathrm{d} \boldsymbol{E}_{2}$ 的大小为
$$
\mathrm{d} E_{2}=\frac{\lambda \mathrm{d} l}{4 \pi \varepsilon_{0}\left(R^{2}+l^{2}\right)}
$$
这 $\mathrm{d} \boldsymbol{E}_{2}$ 的平行于直线的分量为
$$
\left(\mathrm{d} E_{2}\right) \sin \alpha=\frac{\lambda \mathrm{d} l}{4 \pi \varepsilon_{0}\left(R^{2}+l^{2}\right)} \frac{l}{\sqrt{R^{2}+l^{2}}}=\frac{\lambda}{4 \pi \varepsilon_{0}} \frac{l \mathrm{~d} l}{\left(R^{2}+l^{2}\right)^{3 / 2}}
$$
根据对称性,这两条半无穷长带电直线在 $O$ 点产生的 $\boldsymbol{E}_{2}$ 应平行于两直线.于是由式(6)得 $\boldsymbol{E}_{2}$ 的大小应为
$$
\begin{aligned}
E_{2} & =2 \cdot \frac{\lambda}{4 \pi \varepsilon_{0}} \int_{0}^{\infty} \frac{l \mathrm{~d} l}{\left(R^{2}+l^{2}\right)^{3 / 2}}=\frac{\lambda}{2 \pi \varepsilon_{0}}\left[-\frac{1}{\sqrt{R^{2}+l^{2}}}\right]_{0}^{\infty} \\
& =\frac{\lambda}{2 \pi \varepsilon_{0} R}
\end{aligned}
$$
因为两直线上的电荷与半圆上的电荷是同一种电荷,故由对称性可知, $\boldsymbol{E}_{2}$ 必定与 $\boldsymbol{E}_{1}$ 方向相反,于是得
$$
\boldsymbol{E}_{2}=-\frac{\lambda}{2 \pi \varepsilon_{0} R} \boldsymbol{e}
$$
由式(4)、(8)得 $O$ 点的电场强度为
$$
\boldsymbol{E}=\boldsymbol{E}_{1}+\boldsymbol{E}_{2}=0
$$
【别解】用圆周上的电荷与直线上相应的电荷在 $O$ 点产生的电场强度互相抵消来求解.如图1.2.20(4)所示,圆周上 $C$ 处的电荷量 $\mathrm{d} q= \lambda R \mathrm{~d} \theta$ 在 $O$ 点产生的电场强度 $\mathrm{d} \boldsymbol{E}$ 的大小为
$$
\mathrm{d} E=\frac{\lambda R \mathrm{~d} \theta}{4 \pi \varepsilon_{0} R^{2}}=\frac{\lambda \mathrm{d} \theta}{4 \pi \varepsilon_{0} R}
$$

图1.2.20(4)
直线上 $D$ 处相应的电荷量为
$$
\begin{array}{r}
\mathrm{d} q^{\prime}=\lambda \mathrm{d} l=\lambda \mathrm{d}(R \operatorname{tg} \theta)=\lambda R \sec ^{2} \theta \mathrm{~d} \theta \\
=\lambda R \frac{R^{2}+l^{2}}{R^{2}} \mathrm{~d} \theta=\lambda \frac{R^{2}+l^{2}}{R} \mathrm{~d} \theta
\end{array}
$$
这 $\mathrm{d} q^{\prime}$ 在 $O$ 点产生的电场强度 $\mathrm{d} \boldsymbol{E}^{\prime}$ 的大小为
$$
\mathrm{d} E^{\prime}=\frac{\mathrm{d} q^{\prime}}{4 \pi \varepsilon_{0}\left(R^{2}+l^{2}\right)}=\frac{\lambda \mathrm{d} \theta}{4 \pi \varepsilon_{0} R}
$$
可见 $\mathrm{d} \boldsymbol{E}^{\prime}$ 与 $\mathrm{d} \boldsymbol{E}$ 大小相等,而它们的方向正好相反.因此,半圆周上的电荷与两条半无穷长直线上的电荷在 $O$ 点产生的电场强度正好互相抵消.所以 $O$ 点的电场强度为零. | |
半径为 $R$ 的圆面均匀带电,电荷量的面密度为 $\sigma$ .(1)试求这圆面电荷在轴线上离圆心为 $r$ 处产生的电场强度 $\boldsymbol{E}$ ;(2)在保持 $\sigma$ 不变的情况下,当 $R \rightarrow 0$ 和 $R \rightarrow \infty$ 时结果各如何?(3)在保持总电荷量 $Q=\pi R^{2} \sigma$ 不变的情况下,当 $R \rightarrow 0$ 和 $R \rightarrow \infty$ 时结果各如何? | 【解】(1)由对称性可知,所求的电场强度 $\boldsymbol{E}$ 沿 $O P$ 方向.如图1.2.21,圆面上面积元 $\mathrm{d} S=2 \pi y \mathrm{~d} y$ 的电荷量为

图1.2.21
$$
\mathrm{d} q=\sigma \mathrm{d} S=2 \pi \sigma y \mathrm{~d} y
$$
这 $\mathrm{d} q$ 在 $P$ 点产生的电场强度的大小为[参见前面1.2.16题的式(2)]
$$
\mathrm{d} E=\frac{\mathrm{d} q}{4 \pi \varepsilon_{0}} \frac{r}{\left(r^{2}+y^{2}\right)^{3 / 2}}=\frac{2 \pi \sigma r y \mathrm{~d} y}{4 \pi \varepsilon_{0}\left(r^{2}+y^{2}\right)^{3 / 2}}=\frac{\sigma r}{4 \varepsilon_{0}} \frac{2 y \mathrm{~d} y}{\left(r^{2}+y^{2}\right)^{3 / 2}}
$$
所以
$$
E=\frac{\sigma r}{4 \varepsilon_{0}} \int_{0}^{R} \frac{2 y \mathrm{~d} y}{\left(r^{2}+y^{2}\right)^{3 / 2}}=\frac{\sigma r}{4 \varepsilon_{0}}\left[-\frac{2}{\sqrt{r^{2}+y^{2}}}\right]_{0}^{R}=\frac{\sigma}{2 \varepsilon_{0}}\left[1-\frac{r}{\sqrt{r^{2}+R^{2}}}\right]
$$
令 $\boldsymbol{r}=\overrightarrow{\mathrm{OP}}$ ,便得所求的电场强度为
$$
\boldsymbol{E}=\frac{\sigma}{2 \varepsilon_{0}}\left[\frac{\boldsymbol{r}}{r}-\frac{\boldsymbol{r}}{\sqrt{r^{2}+R^{2}}}\right], \quad r>0
$$
(2)保持 $\sigma$ 不变,由式(4)得
$$
\begin{gathered}
R \rightarrow 0 \text { 时, } \quad \boldsymbol{E}=0 \\
R \rightarrow \infty \text { 时, } \quad \boldsymbol{E}=\frac{\sigma}{2 \varepsilon_{0}} \frac{\boldsymbol{r}}{r}
\end{gathered}
$$
(3)保持总电荷量不变,即 $Q=\pi R^{2} \sigma$ 不变时,由式(4)得
$$
\boldsymbol{E}=\frac{Q}{2 \pi \varepsilon_{0} R^{2}}\left[\frac{\boldsymbol{r}}{r}-\frac{\boldsymbol{r}}{\sqrt{r^{2}+R^{2}}}\right]
$$
其大小为
$$
E=\frac{Q}{2 \pi \varepsilon_{0} R^{2}}\left[1-\frac{r}{\sqrt{r^{2}+R^{2}}}\right]
$$
当 $R$ 很小时,其中
$$
\begin{aligned}
1-\frac{r}{\sqrt{R^{2}+r^{2}}} & =1-\frac{1}{\sqrt{1+\left(\frac{R}{r}\right)^{2}}} \\
& =1-\left[1-\frac{1}{2}\left(\frac{R}{r}\right)^{2}+\frac{1 \cdot 3}{2 \cdot 4}\left(\frac{R}{r}\right)^{4}-\frac{1 \cdot 3 \cdot 5}{2 \cdot 4 \cdot 6}\left(\frac{R}{r}\right)^{6}+\cdots\right] \\
& =\frac{1}{2}\left(\frac{R}{r}\right)^{2}-\frac{3}{8}\left(\frac{R}{r}\right)^{4}+\frac{5}{16}\left(\frac{R}{r}\right)^{6}-\cdots
\end{aligned}
$$
故当 $R \rightarrow 0$ 时,便得
$$
\begin{gathered}
E=\lim _{R \rightarrow 0} \frac{Q}{2 \pi \varepsilon_{0} R^{2}}\left[\frac{1}{2}\left(\frac{R}{r}\right)^{2}-\frac{3}{8}\left(\frac{R}{r}\right)^{4}+\frac{5}{16}\left(\frac{R}{r}\right)^{6}-\cdots\right]=\frac{Q}{4 \pi \varepsilon_{0} r^{2}} \\
\boldsymbol{E}=\frac{Q}{4 \pi \varepsilon_{0}} \frac{\boldsymbol{r}}{r^{3}}
\end{gathered}
$$
当 $R \rightarrow \infty$ 时
$$
E=\lim _{R \rightarrow \infty} \frac{Q}{2 \pi \varepsilon_{0} R^{2}}\left[1-\frac{r}{\sqrt{r^{2}+R^{2}}}\right]=0
$$
所以
$$
\boldsymbol{E}=0
$$ | |
两个共轴线的圆面,半径都是 $R$ ,相距为 $l$ ,它们上面都均匀分布着电荷,电荷量的面密度分别为 $\sigma$ 和 $-\sigma$ ;以它们间轴线的中点 $O$ 为原点,沿轴线取 $x$轴,如图1.2.22(1)和图1.2.22(2)所示.已知 $l \ll R$ ,试求轴线上 $x$ 处的电场强度. | 【解】根据前面1.2.21题的结果,均匀圆面电荷在轴线上产生的电场强度为
$$
\boldsymbol{E}=\frac{\sigma}{2 \varepsilon_{0}}\left[1-\frac{r}{\sqrt{r^{2}+R^{2}}}\right] \boldsymbol{e}_{r}
$$
式中 $\boldsymbol{e}_{r}=\boldsymbol{r} / r$ 是沿轴线方向的单位矢量。
根据式(1),这两个圆面电荷在轴线上 $x>l / 2$ 处产生的电场强度为

图1.2.22(1)

图1.2.22(2)
$$
\begin{aligned}
\boldsymbol{E} & =\boldsymbol{E}_{+}+\boldsymbol{E}_{-} \\
& =\frac{\sigma}{2 \varepsilon_{0}}\left[1-\frac{x-l / 2}{\sqrt{(x-l / 2)^{2}+R^{2}}}\right] \boldsymbol{e}_{x}+\frac{-\sigma}{2 \varepsilon_{0}}\left[1-\frac{x+l / 2}{\sqrt{(x+l / 2)^{2}+R^{2}}}\right] \boldsymbol{e}_{x} \\
& =\frac{\sigma}{2 \varepsilon_{0}}\left[\frac{x+l / 2}{\sqrt{(x+l / 2)^{2}+R^{2}}}-\frac{x-l / 2}{\sqrt{(x-l / 2)^{2}+R^{2}}}\right] \boldsymbol{e}_{x}
\end{aligned}
$$
式中 $\boldsymbol{e}_{x}$ 为沿 $x$ 轴方向的单位矢量。
因 $l \ll R$ ,故式(2)中方括号内可简化如下:
$$
\begin{aligned}
& \frac{x+l / 2}{\sqrt{(x+l / 2)^{2}+R^{2}}}-\frac{x-l / 2}{\sqrt{(x-l / 2)^{2}+R^{2}}} \\
& \quad \approx \frac{x+l / 2}{\sqrt{x^{2}+x l+R^{2}}}-\frac{x-l / 2}{\sqrt{x^{2}-x l+R^{2}}} \\
& \quad=\frac{1}{\sqrt{x^{2}+R^{2}}}\left[\left(x+\frac{l}{2}\right)\left(1+\frac{x l}{x^{2}+R^{2}}\right)^{-1 / 2}-\left(x-\frac{l}{2}\right)\left(1-\frac{x l}{x^{2}+R^{2}}\right)^{-1 / 2}\right] \\
& \approx \frac{1}{\sqrt{x^{2}+R^{2}}}\left[\left(x+\frac{l}{2}\right)\left\{1-\frac{x l}{2\left(x^{2}+R^{2}\right)}\right\}-\left(x-\frac{l}{2}\right)\left\{1+\frac{x l}{2\left(x^{2}+R^{2}\right)}\right\}\right] \\
& \quad=\frac{1}{\sqrt{x^{2}+R^{2}}}\left[l-\frac{x^{2} l}{x^{2}+R^{2}}\right]=\frac{l R^{2}}{\left(x^{2}+R^{2}\right)^{3 / 2}}
\end{aligned}
$$
于是得
$$
\boldsymbol{E}=\frac{\sigma l R^{2}}{2 \varepsilon_{0}\left(x^{2}+R^{2}\right)^{3 / 2}} \boldsymbol{e}_{x}
$$
在轴线上 $x<-l / 2$ 处,由式(1)得两圆面电荷产生的电场强度为
$$
\begin{aligned}
\boldsymbol{E} & =\frac{\sigma}{2 \varepsilon_{0}}\left[1+\frac{x-l / 2}{\sqrt{(x-l / 2)^{2}+R^{2}}}\right]\left(-\boldsymbol{e}_{x}\right)+\frac{-\sigma}{2 \varepsilon_{0}}\left[1+\frac{x+l / 2}{\sqrt{(x+l / 2)^{2}+R^{2}}}\right]\left(-\boldsymbol{e}_{x}\right) \\
& =\frac{\sigma}{2 \varepsilon_{0}}\left[\frac{x+l / 2}{\sqrt{(x+l / 2)^{2}+R^{2}}}-\frac{x-l / 2}{\sqrt{(x-l / 2)^{2}+R^{2}}}\right] \boldsymbol{e}_{x}
\end{aligned}
$$
在形式上与 $x>l / 2$ 处的式(2)相同.于是得两圆面之外轴线上 $x$ 处的电场强度为
$$
\boldsymbol{E}=\frac{\sigma}{2 \varepsilon_{0}}\left[\frac{x+l / 2}{\sqrt{(x+l / 2)^{2}+R^{2}}}-\frac{x-l / 2}{\sqrt{(x-l / 2)^{2}+R^{2}}}\right] \boldsymbol{e}_{x}, \quad|x|>l / 2
$$
利用 $l \ll R$ 条件,便得
$$
\boldsymbol{E}=\frac{\sigma l R^{2}}{2 \varepsilon_{0}\left(x^{2}+R^{2}\right)^{3 / 2}} \boldsymbol{e}_{x}, \quad|x|>l / 2
$$
在两圆面之间,$|x|<l / 2$ ,由式(1)得到所求的电场强度为
$$
\begin{aligned}
\boldsymbol{E} & =\boldsymbol{E}_{+}+\boldsymbol{E}_{-} \\
& =\frac{\sigma}{2 \varepsilon_{0}}\left[1-\frac{l / 2-x}{\sqrt{(l / 2-x)^{2}+R^{2}}}\right]\left(-\boldsymbol{e}_{x}\right)+\frac{-\sigma}{2 \varepsilon_{0}}\left[1-\frac{x+l / 2}{\sqrt{(x+l / 2)^{2}+R^{2}}}\right] \boldsymbol{e}_{x} \\
& =-\frac{\sigma}{2 \varepsilon_{0}}\left[2+\frac{x-l / 2}{\sqrt{(x-l / 2)^{2}+R^{2}}}-\frac{x+l / 2}{\sqrt{(x+l / 2)^{2}+R^{2}}}\right] \boldsymbol{e}_{x}
\end{aligned}
$$
因这时 $|x| \leqslant l \leqslant R$ ,故上式可简化成
$$
\boldsymbol{E} \approx-\frac{\sigma}{\varepsilon_{0}} \boldsymbol{e}_{x}, \quad|x|<\frac{l}{2}
$$
可见两圆面间轴线上的电场近似为均匀电场。 | |
一无限大平面均匀带电,电荷量的面密度为 $\sigma$ ,但这面上有一半径为 $R$ 的圆洞.试求这圆洞轴线上离洞心为 $r$ 处的电场强度. | 【解】根据前面1.2.21题的式(2),带电的圆环带在轴线上离环心为 $r$ 处产生的电场强度的大小为
$$
\mathrm{d} E=\frac{\sigma r}{4 \varepsilon_{0}} \frac{2 y \mathrm{~d} y}{\left(r^{2}+y^{2}\right)^{3 / 2}}
$$
积分便得
$$
E=\frac{\sigma r}{4 \varepsilon_{0}} \int_{R}^{\infty} \frac{2 y \mathrm{~d} y}{\left(r^{2}+y^{2}\right)^{3 / 2}}=\frac{\sigma r}{4 \varepsilon_{0}}\left[-\frac{2}{\sqrt{r^{2}+y^{2}}}\right]_{R}^{\infty}=\frac{\sigma}{2 \varepsilon_{0}} \frac{r}{\sqrt{r^{2}+R^{2}}}
$$
于是得所求的电场强度为
$$
\boldsymbol{E}=\frac{\sigma}{2 \varepsilon_{0}} \frac{\boldsymbol{r}}{\sqrt{r^{2}+R^{2}}}
$$
式中 $\boldsymbol{r}$ 是洞心到场点的位矢。
【别解】本题等于无限大的均匀带电平面,加上一个半径为 $R$ 的异号电荷圆片.根据前面 1.2.21题的式(6)和式(4),便得所求的电场强度为
$$
\boldsymbol{E}=\frac{\sigma}{2 \varepsilon_{0}} \frac{\boldsymbol{r}}{r}+\frac{-\sigma}{2 \varepsilon_{0}}\left[\frac{\boldsymbol{r}}{r}-\frac{\boldsymbol{r}}{\sqrt{r^{2}+R^{2}}}\right]=\frac{\sigma}{2 \varepsilon_{0}} \frac{\boldsymbol{r}}{\sqrt{r^{2}+R^{2}}}
$$ | |
电荷量 $q$ 均匀分布在半径为 $R$ 的球面上,试求距离球心为 $r$ 处的电场强度:(1)$r<R$ ;(2)$r>R$ .

图1.2.25(1) | 【解】(1)球内的电场强度 $\boldsymbol{E}_{i}(r<R)$ .设 $O$ 为球心,$P$ 为球内任一点,$P$ 到 $O$ 的距离为 $r$ ,如图1.2.25(1)所示.以过 $O 、 P$ 两点的直径为轴线,把球面分成许多环带;在 $\theta$ 处宽为 $R \mathrm{~d} \theta$ 的环带,其面积为 $\mathrm{d} S= 2 \pi R^{2} \sin \theta \mathrm{~d} \theta$ ,其上的电荷量为
$$
\mathrm{d} q=2 \pi \sigma R^{2} \sin \theta \mathrm{~d} \theta
$$
式中 $\sigma=\frac{q}{4 \pi R^{2}}$ 是球面上电荷量的面密度.根据对称性,这电荷在 $P$ 点产生的电场强度 $\mathrm{d} \boldsymbol{E}_{i}$ 的方向沿 $O P$ ,其大小为
$$
\mathrm{d} E_{i}=\frac{1}{4 \pi \varepsilon_{0}} \frac{\mathrm{~d} q}{a^{2}} \cos \alpha=\frac{\sigma R^{2}}{2 \varepsilon_{0}} \frac{\sin \theta \cos \alpha \mathrm{~d} \theta}{a^{2}}
$$
对 $\theta$ 积分便得所求 $\boldsymbol{E}_{i}$ 的大小 $E_{i}$ 。为便于积分,把 $a$ 和 $\alpha$ 都表成 $\theta$ 的函数。由图1.2.25(1)可见
$$
a=\sqrt{(R \sin \theta)^{2}+(R \cos \theta+r)^{2}}=\sqrt{R^{2}+r^{2}+2 r R \cos \theta}
$$
$$
\cos \alpha=\frac{r+R \cos \theta}{a}=\frac{r+R \cos \theta}{\sqrt{R^{2}+r^{2}+2 r R \cos \theta}}
$$
将式(3)、(4)代入式(2)得
$$
\mathrm{d} E_{i}=\frac{\sigma R^{2}}{2 \varepsilon_{0}} \frac{(r+R \cos \theta) \sin \theta \mathrm{d} \theta}{\left(R^{2}+r^{2}+2 r R \cos \theta\right)^{3 / 2}}
$$
所以
$$
E_{i}=\frac{\sigma R^{2}}{2 \varepsilon_{0}} \int_{0}^{\pi} \frac{(r+R \cos \theta) \sin \theta \mathrm{d} \theta}{\left(R^{2}+r^{2}+2 r R \cos \theta\right)^{3 / 2}}
$$
利用积分公式
$$
\int \frac{(r+R x) \mathrm{d} x}{\left(R^{2}+r^{2}+2 r R x\right)^{3 / 2}}=\frac{R+r x}{r^{2} \sqrt{R^{2}+r^{2}+2 r R x}}
$$
得
$$
\begin{aligned}
E_{i} & =-\frac{\sigma R^{2}}{2 \varepsilon_{0}} \int_{\theta=0}^{\theta=\pi} \frac{(r+R \cos \theta) \mathrm{d}(\cos \theta)}{\left(R^{2}+r^{2}+2 r R \cos \theta\right)^{3 / 2}} \\
& =-\frac{\sigma R^{2}}{2 \varepsilon_{0}}\left[\frac{R+r \cos \theta}{r^{2} \sqrt{R^{2}+r^{2}+2 r R \cos \theta}}\right]_{0}^{\pi} \\
& =-\frac{\sigma R^{2}}{2 \varepsilon_{0} r^{2}}\left[\frac{R-r}{\sqrt{R^{2}+r^{2}-2 r R}}-\frac{R+r}{\sqrt{R^{2}+r^{2}+2 r R}}\right] \\
& =-\frac{\sigma R^{2}}{2 \varepsilon_{0} r^{2}}\left[\frac{R-r}{R-r}-\frac{R+r}{R+r}\right]=0
\end{aligned}
$$
所以
$$
\boldsymbol{E}_{i}=0
$$

图1.2.25(2)
这个结果表明:均匀球面电荷在球内产生的电场强度为零.
(2)球外的电场强度 $\boldsymbol{E}_{0}(r>R)$ .设 $P$ 为球外任一点,到球心 $O$ 的距离为 $r$ ,如图1.2.25(2)所示。这时,仍考虑球面上 $\theta$ 处的环带,它上面的电荷量仍由式(1)表示,这电荷在球外 $P$ 点产生的电场强度 $\mathrm{d} \boldsymbol{E}_{0}$ 的大小仍如式(2)所示
$$
\mathrm{d} E_{0}=\frac{\sigma R^{2}}{2 \varepsilon_{0}} \frac{\sin \theta \cos \alpha \mathrm{~d} \theta}{a^{2}}
$$
这时关系式(3)和(4)仍然成立,故得
$$
E_{0}=\frac{\sigma R^{2}}{2 \varepsilon_{0}} \int_{0}^{\pi} \frac{(r+R \cos \theta) \sin \theta \mathrm{d} \theta}{\left(R^{2}+r^{2}+2 r R \cos \theta\right)^{3 / 2}}
$$
利用积分公式(7)得
$$
\begin{aligned}
E_{0} & =-\frac{\sigma R^{2}}{2 \varepsilon_{0}} \int_{\theta=0}^{\theta=\pi} \frac{(r+R \cos \theta) \mathrm{d}(\cos \theta)}{\left(R^{2}+r^{2}+2 r R \cos \theta\right)^{3 / 2}} \\
& =-\frac{\sigma R^{2}}{2 \varepsilon_{0}}\left[\frac{R+r \cos \theta}{r^{2} \sqrt{R^{2}+r^{2}+2 r R \cos \theta}}\right]_{0}^{\pi} \\
& =-\frac{\sigma R^{2}}{2 \varepsilon_{0} r^{2}}\left[\frac{R-r}{\sqrt{R^{2}+r^{2}-2 r R}}-\frac{R+r}{\sqrt{R^{2}+r^{2}+2 r R}}\right] \\
& =-\frac{\sigma R^{2}}{2 \varepsilon_{0} r^{2}}\left[\frac{R-r}{r-R}-\frac{R+r}{r+R}\right]=\frac{\sigma R^{2}}{\varepsilon_{0} r^{2}}
\end{aligned}
$$
所以
$$
\boldsymbol{E}_{0}=\frac{\sigma R^{2}}{\varepsilon_{0} r^{2}} \boldsymbol{n}
$$
式中 $\boldsymbol{n}$ 为 $O P$ 方向上的单位矢量.因 $q=4 \pi R^{2} \sigma$ ,故
$$
\boldsymbol{E}_{0}=\frac{q}{4 \pi \varepsilon_{0}} \frac{\boldsymbol{n}}{r^{2}}
$$
这个结果表明:均匀球面电荷在球外产生的电场强度等于球面上所有电荷都集中在球心所产生的电场强度. | |
电荷量 $Q$ 均匀分布在半径为 $R$ 的球面上,试求这球面由于电荷而产生的张力系数 $\alpha$ . | 【解】考虑球面上一个宽为 $R \mathrm{~d} \theta$ 的环带,如图1.2.27所示.这环带上的电荷量为
$$
\mathrm{d} Q=\frac{Q}{4 \pi R^{2}} \mathrm{~d} S=\frac{Q}{4 \pi R^{2}} 2 \pi R^{2} \sin \theta \mathrm{~d} \theta=\frac{Q}{2} \sin \theta \mathrm{~d} \theta
$$
这面电荷所在处的电场强度,由前面1.2.26题的式(4),为
$$
\boldsymbol{E}=\frac{Q}{8 \pi \varepsilon_{0} R^{2}} \boldsymbol{n}
$$
由于环带上各处的 $\boldsymbol{E}$ 都在该处球面的外法线 $\boldsymbol{n}$ 的方向上,故各处的电荷所受的力也都在该处 $\boldsymbol{n}$ 的方向上,即它们都在一个

图1.2.27
圆锥面上,如图1.2.27所示.因此,整个环带所受的力其大小便为
$$
\begin{aligned}
\mathrm{d} F & =E(\mathrm{~d} Q) \cos \theta=\frac{Q}{8 \pi \varepsilon_{0} R^{2}} \cdot \frac{Q}{2} \sin \theta \cos \theta \mathrm{~d} \theta \\
& =\frac{Q^{2}}{16 \pi \varepsilon_{0} R^{2}} \sin \theta \cos \theta \mathrm{~d} \theta
\end{aligned}
$$
半个球面所受的力的大小为
$$
F=\frac{Q^{2}}{16 \pi \varepsilon_{0} R^{2}} \int_{0}^{\pi / 2} \sin \theta \cos \theta \mathrm{~d} \theta=\frac{Q^{2}}{32 \pi \varepsilon_{0} R^{2}}
$$
根据对称性,知这力的方向沿 $\theta=0$ 的方向。这个力是使球面张开的力,即张力。为了维持球面平衡,另一半球面必定以同样大小的力拉住这半个球面;根据对称性,这个力必定均匀分布在两半球面长为 $2 \pi R$ 的边界上.于是得出,球面由于带电荷量 $Q$ 而产生的张力系数为
$$
\alpha=\frac{F}{2 \pi R}=\frac{Q^{2}}{64 \pi^{2} \varepsilon_{0} R^{3}}
$$ | |
电荷分布在半径为 $R$ 的球面上,电荷量的面密度为 $\sigma=\boldsymbol{a} \cdot \boldsymbol{R}$ ,式中 $\boldsymbol{a}$是一个常矢量, $\boldsymbol{R}$ 是球心到球面上一点的矢径.试求球心的电场强度. | 【解】如图1.2.28所示,以 $\boldsymbol{a}$ 为轴线,球面与 $\boldsymbol{a}$ 夹角为 $\theta$ 的环带上的电荷量为

图1.2.28
$$
\mathrm{d} q=\sigma \cdot 2 \pi R^{2} \sin \theta \mathrm{~d} \theta=2 \pi a R^{3} \sin \theta \cos \theta \mathrm{~d} \theta
$$
根据对称性,这电荷在球心 $O$ 所产生的电场强度其大小为
$$
(\mathrm{d} E) \cos \theta=\frac{\mathrm{d} q}{4 \pi \varepsilon_{0} R^{2}} \cos \theta=\frac{a R}{2 \varepsilon_{0}} \sin \theta \cos ^{2} \theta \mathrm{~d} \theta
$$
电场强度的方向与 $a$ 的方向相反.将上式积分,便得整个球面电荷在球心产生的电场强度 $\boldsymbol{E}$ 的大小为
$$
E=\int_{\theta=0}^{\theta=\pi}(\mathrm{d} E) \cos \theta=\frac{a R}{2 \varepsilon_{0}} \int_{0}^{\pi} \sin \theta \cos ^{2} \theta \mathrm{~d} \theta=\frac{a R}{3 \varepsilon_{0}}
$$
于是得
$$
\boldsymbol{E}=-\frac{R}{3 \varepsilon_{0}} \boldsymbol{a}
$$ | |
电荷分布在一无穷长的圆柱面上,电荷量的面密度为 $\sigma=\sigma_{0} \cos \phi$ ,式中 $\sigma_{0}$ 是常量,$\phi$ 是圆柱横截面内,半径 $O C$ 与直径 $A O B$ 的夹角,如图1.2.31所示.试求圆柱轴线上 $O$ 点的电场强度. | 【解】把圆柱面分成许多平行于轴线的条带,其中通过 $C$点的一条宽为 $R \mathrm{~d} \phi$ ,它上面单位长度的电荷量为
$$
\mathrm{d} \lambda=\sigma_{0} R \cos \phi \mathrm{~d} \phi
$$
由前面的1.2.13题的式(7),单位长度电荷量为 $\lambda$ 的无穷长直

图1.2.31
线,在距离 $r$ 处产生的电场强度为
$$
\boldsymbol{E}=\frac{\lambda}{2 \pi \varepsilon_{0}} \frac{\boldsymbol{r}}{r^{2}}
$$
式中 $\boldsymbol{r}$ 垂直于带电线,是从带电线到场点的位矢,$r=|\boldsymbol{r}|$ 。因此,$C$ 处的条带电荷在 $O$ 点产生的电场强度 $\mathrm{d} \boldsymbol{E}$ 其大小为
$$
\mathrm{d} E=\frac{\mathrm{d} \lambda}{2 \pi \varepsilon_{0} R}=\frac{\sigma_{0}}{2 \pi \varepsilon_{0}} \cos \phi \mathrm{~d} \phi
$$
由对称性可知,整个圆柱面电荷在 $O$ 点产生的电场强度 $\boldsymbol{E}$ 的大小为
$$
E=2 \int(\mathrm{~d} E) \cos \phi=\frac{\sigma_{0}}{\pi \varepsilon_{0}} \int_{0}^{\pi} \cos ^{2} \phi \mathrm{~d} \phi=\frac{\sigma_{0}}{2 \varepsilon_{0}}
$$
$\boldsymbol{E}$ 的方向从 $O$ 指向 $A$ 。 | |
电荷分布在半径为 $R$ 的球体内,电荷量的密度为 $\rho=\boldsymbol{a} \cdot \boldsymbol{r}$ ,式中 $\boldsymbol{a}$ 是

图1.2.32
常矢量, $\boldsymbol{r}$ 是从球心到球内一点的矢径.试求球心的电场强度。 | 【解】 以 $\boldsymbol{a}$ 为轴线,在球内取一圆环,如图1.2.32所示. ${ }_{\boldsymbol{a}}$ 这圆环体积为
$$
\begin{aligned}
\mathrm{d} V & =(2 \pi r \sin \theta) \mathrm{d} r(r \mathrm{~d} \theta) \\
& =2 \pi r^{2} \sin \theta \mathrm{~d} r \mathrm{~d} \theta
\end{aligned}
$$
这圆环的电荷量为
$$
\mathrm{d} q=\rho \mathrm{d} V=2 \pi a r^{3} \sin \theta \cos \theta \mathrm{~d} r \mathrm{~d} \theta
$$
根据对称性,这 $\mathrm{d} q$ 在轴线上 $O$ 点(球心)产生的电场强度其方向必定与 $\boldsymbol{a}$ 相反,其大小为
$$
\frac{\mathrm{d} q}{4 \pi \varepsilon_{0} r^{2}} \cos \theta=\frac{a}{2 \varepsilon_{0}} r \sin \theta \cos ^{2} \theta \mathrm{~d} r \mathrm{~d} \theta
$$
对 $\theta$ 积分,便得半径为 $r$ 、厚为 $\mathrm{d} r$ 的球壳在球心产生的电场强度的大小为
$$
\mathrm{d} E=\frac{a}{2 \varepsilon_{0}} r \mathrm{~d} r \int_{0}^{\pi} \sin \theta \cos ^{2} \theta \mathrm{~d} \theta=\frac{a}{3 \varepsilon_{0}} r \mathrm{~d} r
$$
考虑方向便得
$$
\mathrm{d} \boldsymbol{E}=-\frac{\boldsymbol{a}}{3 \varepsilon_{0}} r \mathrm{~d} r
$$
对 $r$ 积分,便得整个球体电荷在球心 $O$ 产生的电场强度为
$$
\boldsymbol{E}=-\frac{\boldsymbol{a}}{3 \varepsilon_{0}} \int_{0}^{R} r \mathrm{~d} r=-\frac{R^{2}}{6 \varepsilon_{0}} \boldsymbol{a}
$$ | |
用长为 $l$ 的细丝线系一个质量为 $m$ 的小球,作成单摆,如图1.2.33 (1)。令小球带电荷量 $q$ 后,放在一个匀强电场 $\boldsymbol{E}$ 中, $\boldsymbol{E}$ 的方向在坚直方向。(1)试分别求 $\boldsymbol{E}$ 向下和向上时,这单摆的周期;(2)在什么情况下周期比不带电时长? | 【解】(1)小球 $m$ 的运动方程为
$$
m \frac{\mathrm{~d} \boldsymbol{v}}{\mathrm{~d} t}=m\left(\frac{\mathrm{~d} v}{\mathrm{~d} t} \boldsymbol{\tau}+\frac{v^{2}}{l} \boldsymbol{n}\right)=\boldsymbol{T}+m \boldsymbol{g}+q \boldsymbol{E}
$$
式中 $\tau$ 为 $m$ 的速度 $v$ 方向(切线方向)上的单位矢量, $\boldsymbol{T}$ 是线中的张力, $\boldsymbol{n}$ 是 $\boldsymbol{T}$ 方向(法线方向)上的单位矢量,如图1.2.33(2)所示。以 $\tau$ 点乘上式得
$$
m \frac{\mathrm{~d} v}{\mathrm{~d} t}=\boldsymbol{T} \cdot \boldsymbol{\tau}+m \boldsymbol{g} \cdot \boldsymbol{\tau}+q \boldsymbol{E} \cdot \boldsymbol{\tau}=-(m g \pm|q| E) \sin \theta
$$

图1.2.33(1)

图1.2.33(2)
当 $q \boldsymbol{E}$ 向下时,如图1.2.33(2)所示,用正号;当 $q \boldsymbol{E}$ 向上时,用负号.
因为
$$
v=l \frac{\mathrm{~d} \theta}{\mathrm{~d} t}, \quad \frac{\mathrm{~d} v}{\mathrm{~d} t}=l \frac{\mathrm{~d}^{2} \theta}{\mathrm{~d} t^{2}}
$$
所以
$$
\frac{\mathrm{d}^{2} \theta}{\mathrm{~d} t^{2}}+\frac{m g \pm|q| E}{m l} \sin \theta=0
$$
当 $\theta$ 很小时, $\sin \theta \approx \theta$ ,上式化为
$$
\frac{\mathrm{d}^{2} \theta}{\mathrm{~d} t^{2}}+\frac{m g \pm|q| E}{m l} \theta=0
$$
这是简谐振动的微分方程,其振动周期为
$$
T=\frac{2 \pi}{\omega}=\frac{2 \pi}{\sqrt{(m g \pm|q| E) / m l}}=2 \pi \sqrt{\frac{l}{g \pm|q| E / m}}
$$
(2)由 $T$ 的表达式可见,当 $q \boldsymbol{E}$ 向上时,振动周期为 $T=2 \pi \frac{l}{\sqrt{g-|q| E / m}}$ ,比不带电时的周期 $T_{0}=2 \pi \sqrt{l / g}$ 长. | |
一根均匀的刚体绝缘细杆,质量为 $m$ ,用丝线拴住一端吊着,并让它的两端分别带上电荷量 $q$ 和 $-q$ ,如图1.2.34(1)所示。现在加上电场强度为 $\boldsymbol{E}$ 的均匀电场, $\boldsymbol{E}$ 沿水平方向。试求静止时,丝线与坚直方向的夹角 $\alpha$ ;细杆与坚直方向的夹角 $\beta$ . | 【解】静止时,因细杆受力平衡[图1.2.34(2)],故有
坚直方向:$T \cos \alpha=m g$
水平方向 :$T \sin \alpha+q E=q E$
由式(2)得
$$
\alpha=0
$$

图1.2.34(1)

图1.2.34(2)
又对杆的上端,力矩平衡,设杆长为 $l$ ,便有
$$
m g \frac{l}{2} \sin \beta=q E l \cos \beta
$$
于是得
$$
\beta=\arctan \left(\frac{2 q E}{m g}\right)
$$ | |
把电偶极矩为 $\boldsymbol{p}=q \boldsymbol{l}$ 的电偶极子放在电荷量为 $Q$ 的点电荷的电场

$\boldsymbol{p} \| \overrightarrow{Q O}$
图1.2.35(1)

图1.2.35(2)
里, $\boldsymbol{p}$ 的中心点 $O$ 到 $Q$ 的距离为 $r$ 。试分别求下列情况下它所受的力 $\boldsymbol{F}$ 和力矩 $\boldsymbol{M}$ :(1) $\boldsymbol{p} \| \overrightarrow{Q O}$ ;(2) $\boldsymbol{p} \perp \overrightarrow{Q O}$ . | 【解】 原始算法
(1)如图 1.2.35(1), $\boldsymbol{p} \| \overrightarrow{Q O}$ . $\boldsymbol{p}$ 所受的力为
$$
\begin{aligned}
\boldsymbol{F} & =\boldsymbol{F}_{+}+\boldsymbol{F}_{-}=q\left(\boldsymbol{E}_{+}-\boldsymbol{E}_{-}\right) \\
& =q \frac{Q}{4 \pi \varepsilon_{0}}\left[\frac{1}{(r+l / 2)^{2}}-\frac{1}{(r-l / 2)^{2}}\right] \boldsymbol{e}_{r} \\
& =\frac{q Q}{4 \pi \varepsilon_{0}}\left[\frac{-2 r l}{\left(r^{2}-l^{2} / 4\right)^{2}}\right] \boldsymbol{e}_{r}
\end{aligned}
$$
因为是电偶极子,$l \ll r$ ,故与 $r^{2}$ 比较,$l^{2} / 4$ 项可以略去.又因这时 $\boldsymbol{e}_{r}$ 与 $\boldsymbol{p}$ 同方向,故得
$$
\boldsymbol{F}=-\frac{Q \boldsymbol{p}}{2 \pi \varepsilon_{0} r^{3}}
$$
$\boldsymbol{p}$ 所受的力矩为
$$
\boldsymbol{M}=\boldsymbol{p} \times \boldsymbol{E}=\boldsymbol{p} \times\left(\frac{Q \boldsymbol{e}_{r}}{4 \pi \varepsilon_{0} r^{2}}\right)=0
$$
(2)如图1.2.35(2), $\boldsymbol{p} \perp \overrightarrow{Q O}$ .由于这时 $\boldsymbol{p}$ 的正负电荷到 $Q$ 的距离相等,故正负电荷所受的力 $\boldsymbol{F}_{+}$和 $\boldsymbol{F}_{-}$大小相等, $\boldsymbol{F}_{+}$背向 $Q$ ,而 $\boldsymbol{F}_{-}$则指向 $Q$ 。因此 $\boldsymbol{p}$ 所受的力
$$
\boldsymbol{F}=\boldsymbol{F}_{+}+\boldsymbol{F}_{-}
$$
在 $\boldsymbol{e}_{r}$ 方向的分量为零,故 $\boldsymbol{F}$ 只有沿 $\boldsymbol{p}$ 方向的分量.令 $\boldsymbol{e}_{p}$ 表示 $\boldsymbol{p}$ 方向上的单位矢量,便得
$$
\boldsymbol{F}=2 F_{+} \frac{l / 2}{\sqrt{r^{2}+(l / 2)^{2}}} \boldsymbol{e}_{p}=2 \frac{q Q}{4 \pi \varepsilon_{0}} \frac{l / 2}{\left[r^{2}+(l / 2)^{2}\right]^{3 / 2}} \boldsymbol{e}_{p}
$$
因 $l^{2}$ 与 $r^{2}$ 相比可以略去,故得
$$
\boldsymbol{F}=\frac{Q \boldsymbol{p}}{4 \pi \varepsilon_{0} r^{3}}
$$
$\boldsymbol{p}$ 所受的力矩为
$$
\boldsymbol{M}=\boldsymbol{p} \times \boldsymbol{E}=\boldsymbol{p} \times\left(\frac{Q \boldsymbol{e}_{r}}{4 \pi \varepsilon_{0} r^{2}}\right)=\frac{Q \boldsymbol{p} \times \boldsymbol{e}_{r}}{4 \pi \varepsilon_{0} r^{2}}
$$
【别解】用公式计算 电偶极矩 $\boldsymbol{p}$ 在非均匀外电场 $\boldsymbol{E}$ 中受力的公式为
$$
\boldsymbol{F}=(\boldsymbol{p} \cdot \nabla) \boldsymbol{E}
$$
式中 $\boldsymbol{E}$ 是 $\boldsymbol{p}$ 的中心 $O$ 处的外电场强度.
当 $\boldsymbol{p} \| \overrightarrow{Q O}$ 时,由式(8)得
$$
\boldsymbol{F}=p \frac{\partial}{\partial r}\left(\frac{\boldsymbol{Q} \boldsymbol{e}_{r}}{4 \pi \varepsilon_{0} r^{2}}\right)=-\frac{p \boldsymbol{Q} \boldsymbol{e}_{r}}{2 \pi \varepsilon_{0} r^{3}}=-\frac{\boldsymbol{Q} \boldsymbol{p}}{2 \pi \varepsilon_{0} r^{3}}
$$
当 $\boldsymbol{p} \perp \overrightarrow{Q O}$ 时,由式(8)得
$$
\boldsymbol{F}=\frac{p}{r} \frac{\partial}{\partial \theta}\left(\frac{\boldsymbol{Q} \boldsymbol{e}_{r}}{4 \pi \varepsilon_{0} r^{2}}\right)=\frac{p \boldsymbol{Q}}{4 \pi \varepsilon_{0} r^{3}} \frac{\partial \boldsymbol{e}_{r}}{\partial \theta}=\frac{p \boldsymbol{Q}}{4 \pi \varepsilon_{0} r^{3}} \boldsymbol{e}_{\theta}=\frac{\boldsymbol{Q} \boldsymbol{p}}{4 \pi \varepsilon_{0} r^{3}}
$$
电偶极矩 $\boldsymbol{p}$ 在非均外电场中受力矩的公式为
$$
\boldsymbol{M}=\boldsymbol{r} \times[(\boldsymbol{p} \cdot \boldsymbol{\nabla}) \boldsymbol{E}]+\boldsymbol{p} \times \boldsymbol{E}
$$
式中 $\boldsymbol{r}$ 是 $\boldsymbol{p}$ 的中心点 $O$ 的位矢, $\boldsymbol{E}$ 则是外电场在 $O$ 点的电场强度.以 $O$ 为参考点, $\boldsymbol{r}=0$ ,故得
$$
\boldsymbol{M}=\boldsymbol{p} \times \boldsymbol{E}
$$
这便是式(3)和(7)中所用的公式。 | |
电偶极矩为 $\boldsymbol{p}$ 的电偶极子,处在电场强度为 $\boldsymbol{E}$ 的外电场中, $\boldsymbol{p}$ 与 $\boldsymbol{E}$ 的夹角为 $\theta$ ,如图1.2.36所示。(1)如果 $\boldsymbol{E}$ 是均匀电场,$\theta$ 为什么值时 $\boldsymbol{p}$ 达到平衡?是稳定平衡还是不稳定平

图1.2.36
衡?(2)如果 $\boldsymbol{E}$ 不是均匀电场,试求 $\boldsymbol{p}$ 所受的力的公式。 | 【解】(1) $\boldsymbol{E}$ 为均匀电场时, $\boldsymbol{p}$ 所受的力为
$$
\boldsymbol{F}=\boldsymbol{F}_{+}+\boldsymbol{F}_{-}=0
$$
$\boldsymbol{p}$ 所受的力矩为
$$
\boldsymbol{M}=\boldsymbol{p} \times \boldsymbol{E}
$$
$\boldsymbol{M}$ 的大小为
$$
M=p E \sin \theta
$$
平衡时,$M=0$ ,故得 $\theta=0$ 或 $\theta=\pi$ .其中 $\theta=0$ 是稳定平衡点,因为这时当 $\boldsymbol{p}$ 稍离开 $\theta=0$ 的位置, $\boldsymbol{M}$ 便使它回到 $\theta=0 . \theta=\pi$ 则是不稳定平衡,因为这时当 $\boldsymbol{p}$ 稍离开 $\theta=\pi$ 的位置, $\boldsymbol{M}$ 不是使它回到
$\theta=\pi$ ,而是要它离开 $\theta=\pi$ .
(2)在非均匀电场中,设 $\boldsymbol{p}=q \boldsymbol{l}$ 中心处的外电场强度为 $\boldsymbol{E}$ ,它的正负电荷所在处的外电场强度分别为 $\boldsymbol{E}_{+}$和 $\boldsymbol{E}_{-}$,则
$$
\boldsymbol{E}_{+}=\boldsymbol{E}+\frac{1}{2}(\boldsymbol{l} \cdot \nabla) \boldsymbol{E}, \quad E_{-}=\boldsymbol{E}+\frac{1}{2}(-\boldsymbol{l} \cdot \nabla) \boldsymbol{E}
$$
于是得 $\boldsymbol{p}$ 所受的力为
$$
\begin{aligned}
\boldsymbol{F} & =q \boldsymbol{E}_{+}+\left(-q \boldsymbol{E}_{-}\right)=q\left(\boldsymbol{E}_{+}-\boldsymbol{E}_{-}\right) \\
& =q(\boldsymbol{l} \cdot \nabla) \boldsymbol{E}=(\boldsymbol{p} \cdot \nabla) \boldsymbol{E}
\end{aligned}
$$
这便是 $\boldsymbol{p}$ 在外电场中受力的公式. | |
电偶极矩为 $\boldsymbol{p}$ 的电偶极子处在电场强度为 $\boldsymbol{E}$ 的均匀外电场中,当 $\boldsymbol{p}$平行于 $\boldsymbol{E}$ 时达到平衡。如果让 $\boldsymbol{p}$ 稍微偏离 $\boldsymbol{E}$ 的方向,然后放手,则在 $\boldsymbol{E}$ 的作用下,它便会作微小振动。已知它作这种振动的转动惯量为 $I$ ,试求振动频率。 | 【解】 这电偶极子的振动方程为
$$
I \frac{\mathrm{~d} \omega}{\mathrm{~d} t}=I \frac{\mathrm{~d}^{2} \theta}{\mathrm{~d} t^{2}}=-p E \sin \theta
$$
因 $\theta$ 很小,故 $\sin \theta \approx \theta$ ,于是上式化为
$$
\frac{\mathrm{d}^{2} \theta}{\mathrm{~d} t^{2}}+\frac{p E}{I} \theta=0
$$
这是标准的简谐振动方程,其振动频率为
$$
\nu=\frac{\omega}{2 \pi}=\frac{1}{2 \pi} \sqrt{\frac{p E}{I}}
$$ | |
在球坐标系中,原点有一电荷量为 $Q$ 的点电荷,$P(r, \theta, \phi)$ 点有一电偶极子,其电偶极矩为 $\boldsymbol{p}=p\left(\cos \alpha \boldsymbol{e}_{r}+\sin \alpha \boldsymbol{e}_{\theta}\right)$ ,式中 $\boldsymbol{e}_{r}$ 和 $\boldsymbol{e}_{\theta}$ 分别是 $\boldsymbol{r}$ 方向的单位矢量和 $\theta$ 方向(即垂直于 $\boldsymbol{r}$ 并指向 $\theta$ 增大的方向)的单位矢量,如图1.2.38(1)所示。试求 $Q$ 作用在这电偶极子上的力。 | 【解】 根据前面 1.2.36 题的式(5),电偶极子 $\boldsymbol{p}$ 在外电场中所受的力为

图1.2.38(1)

图1.2.38(2)
$$
\begin{aligned}
\boldsymbol{F} & =(\boldsymbol{p} \cdot \nabla) \boldsymbol{E} \\
& =p\left(\cos \alpha \boldsymbol{e}_{r}+\sin \alpha \boldsymbol{e}_{\theta}\right) \cdot\left(\boldsymbol{e}_{r} \frac{\partial}{\partial r}+\boldsymbol{e}_{\theta} \frac{1}{r} \frac{\partial}{\partial \theta}+\boldsymbol{e}_{\phi} \frac{1}{r \sin \theta} \frac{\partial}{\partial \phi}\right) \boldsymbol{E} \\
& =\left(p \cos \alpha \frac{\partial}{\partial r}+p \sin \alpha \frac{1}{r} \frac{\partial}{\partial \theta}\right) \boldsymbol{E}=\left(p \cos \alpha \frac{\partial}{\partial r}+p \sin \alpha \frac{1}{r} \frac{\partial}{\partial \theta}\right) \frac{Q \boldsymbol{e}_{r}}{4 \pi \varepsilon_{0} r^{2}} \\
& =\frac{p Q}{4 \pi \varepsilon_{0}}\left(\cos \alpha \frac{\partial}{\partial r}+\sin \alpha \frac{1}{r} \frac{\partial}{\partial \theta}\right) \frac{\boldsymbol{e}_{r}}{r^{2}} \\
& =\frac{p Q}{4 \pi \varepsilon_{0}}\left[\cos \alpha \frac{\partial}{\partial r}\left(\frac{\boldsymbol{e}_{r}}{r^{2}}\right)+\sin \alpha \frac{1}{r} \frac{\partial}{\partial \theta}\left(\frac{\boldsymbol{e}_{r}}{r^{2}}\right)\right]
\end{aligned}
$$
由图1.2.38(2)可见
$$
\frac{\partial \boldsymbol{e}_{r}}{\partial r}=0, \quad \frac{\partial \boldsymbol{e}_{r}}{\partial \theta}=\boldsymbol{e}_{\theta}
$$
故得
$$
\boldsymbol{F}=\frac{p Q}{4 \pi \varepsilon_{0}}\left[-\frac{2 \boldsymbol{e}_{r}}{r^{3}} \cos \alpha+\frac{1}{r^{3}} \sin \alpha \boldsymbol{e}_{\theta}\right]=\frac{p Q}{4 \pi \varepsilon_{0} r^{3}}\left[-2 \cos \alpha \boldsymbol{e}_{r}+\sin \alpha \boldsymbol{e}_{\theta}\right]
$$
上式可化成用 $\boldsymbol{p}$ 表达的形式
$$
\begin{aligned}
\boldsymbol{F} & =\frac{p \boldsymbol{Q}}{4 \pi \varepsilon_{0} r^{3}}\left[-2 \cos \alpha \boldsymbol{e}_{r}+\sin \alpha \boldsymbol{e}_{\theta}\right] \\
& =\frac{\boldsymbol{Q}}{4 \pi \varepsilon_{0} r^{3}}\left[-3 p \cos \alpha \boldsymbol{e}_{r}+p \cos \alpha \boldsymbol{e}_{r}+p \sin \alpha \boldsymbol{e}_{\theta}\right] \\
& =\frac{\boldsymbol{Q}}{4 \pi \varepsilon_{0} r^{3}}\left[-3 p \cos \alpha \boldsymbol{e}_{r}+\boldsymbol{p}\right]=\frac{\boldsymbol{Q}}{4 \pi \varepsilon_{0} r^{3}}\left[-3\left(\boldsymbol{p} \cdot \boldsymbol{e}_{r}\right) \boldsymbol{e}_{r}+\boldsymbol{p}\right] \\
& =\frac{\boldsymbol{Q}}{4 \pi \varepsilon_{0} r^{3}}\left[-\frac{3(\boldsymbol{p} \cdot \boldsymbol{r}) \boldsymbol{r}}{r^{2}}+\boldsymbol{p}\right]
\end{aligned}
$$ | |
带电粒子在均匀外电场中运动时,它的轨迹是抛物线;试问这抛物线在什么情况下化为直线? | 【解答】当粒子的初速 $\boldsymbol{v}_{0}=0$ 时,或 $\boldsymbol{v}_{0}$ 平行于外电场的电场强度 $\boldsymbol{E}$ 时,即 $\boldsymbol{v}_{0}$ 没有垂直于 $\boldsymbol{E}$ 的分量时,它的轨迹便是直线. | |
一示波管用电场使电子偏转,如图1.2.43所示,偏转电极长为 $l=$

图1.2.43
1.5 cm ,两极间是均匀电场,电场强度 $\boldsymbol{E}$ 的大小为 $E=$ 1. $2 \times 10^{4} \mathrm{~V} / \mathrm{m}$ .一电子以初速度 $\boldsymbol{v}_{0}$ 进人这个电场, $\boldsymbol{v}_{0}$ 与 $\boldsymbol{E}$ 垂直.已知电子质量为 $m=9.1 \times 10^{-31} \mathrm{~kg}$ ,电荷量的大小为 $e=1.6 \times 10^{-19} \mathrm{C}$ ,初速度为 $\boldsymbol{v}_{0}=2.6 \times 10^{7} \mathrm{~m} / \mathrm{s}$ ,试求电子经过电极所发生的偏转 $y$ 。 | 【解】由电子的运动方程得
$$
\begin{aligned}
m \frac{\mathrm{~d} v_{x}}{\mathrm{~d} t} & =0 \\
m \frac{\mathrm{~d} v_{y}}{\mathrm{~d} t} & =e E
\end{aligned}
$$
由式(1)得
$$
v_{x}=v_{0}
$$
由式(2)和初始条件得
$$
v_{y}=\frac{\mathrm{d} y}{\mathrm{~d} t}=\frac{e E}{m} t
$$
所以
$$
y=\frac{e E}{2 m} t^{2}
$$
因为
$$
l=v_{x} t=v_{0} t
$$
于是得所求的偏转为
$$
\begin{aligned}
y & =\frac{e E}{2 m}\left(\frac{l}{v_{0}}\right)^{2}=\frac{1.6 \times 10^{-19} \times 1.2 \times 10^{4}}{2 \times 9.1 \times 10^{-31}} \times\left(\frac{1.5 \times 10^{-2}}{2.6 \times 10^{7}}\right)^{2} \\
& =3.5 \times 10^{-4}(\mathrm{~m})
\end{aligned}
$$ | |
一电子以 $v_{0}=5.0 \times 10^{7} \mathrm{~m} / \mathrm{s}$ 的初速度射人电场强度为 $\boldsymbol{E}$ 的均匀电场中,$E=2.5 \times 10^{5} \mathrm{~V} / \mathrm{m}$ .因 $\boldsymbol{v}_{0}$ 与 $\boldsymbol{E}$ 的方向相同,电子因受电场力而减速。已知电子的质量为 $m=9.1 \times 10^{-31} \mathrm{~kg}$ ,电荷量的大小为 $e=1.6 \times 10^{-19} \mathrm{C}$ ,试问这电子能穿入电场多少距离?以后它会怎样?它处在电场中的时间有多长? | 【解】以电子进人电场处为原点,沿电场强度 $\boldsymbol{E}$ 的方向取 $x$ 轴,则电子的运动方程为
$$
m \frac{\mathrm{~d}^{2} x}{\mathrm{~d} t^{2}}=-e E
$$
积分并利用初始条件 $t=0$ 时,$x_{0}=0, v=v_{0}$ ,便得
$$
v=\frac{\mathrm{d} x}{\mathrm{~d} t}=-\frac{e E_{t}}{m} t+v_{0}
$$
所以
$$
x=-\frac{e E}{2 m} t^{2}+v_{0} t
$$
由式(2)得,电子速度 $v=0$ 时
$$
t_{d}=\frac{m v_{0}}{e E}
$$
代人式(3),得电子穿入电场的距离为
$$
x_{d}=-\frac{e E}{2 m}\left(\frac{m v_{0}}{e E}\right)^{2}+v_{0} \frac{m v_{0}}{e E}=\frac{1}{2} \frac{m v_{0}^{2}}{e E}
$$
代人数值得
$$
x_{d}=\frac{1}{2} \times \frac{9.1 \times 10^{-31} \times\left(5.0 \times 10^{7}\right)^{2}}{1.6 \times 10^{-19} \times 2.5 \times 10^{5}}=2.8 \times 10^{-2}(\mathrm{~m})
$$
以后电子将沿原路退出电场,离开电场时的速度为 $-\boldsymbol{v}_{0}$ .
电子处在电场中的时间为
$$
\begin{aligned}
t & =2 t_{d}=\frac{2 m v_{0}}{e E}=\frac{2 \times 9.1 \times 10^{-31} \times 5.0 \times 10^{7}}{1.6 \times 10^{-19} \times 2.5 \times 10^{5}} \\
& =2.3 \times 10^{-9}(\mathrm{~s})
\end{aligned}
$$ | |
坚直放置的两块平行金属板 $A 、 B$ 间有均匀电场,电场强度 $\boldsymbol{E}$ 的方向与板面垂直并由 $A$ 指向 $B$ ,已知板长为 $l[$ 图1.2.45(1)$]$ 。有一正离子以初速度 $\boldsymbol{v}_{0}$沿 $A$ 板边缘坚直向下飞人电场中。试问这离子在电场中运动多长时间,突然使电场反向(即 $\boldsymbol{E}$ 突然变为一 $\boldsymbol{E}$ ),就能使它恰好从 $A$ 板的下边缘飞出?重力比电场力小很多,可以略去不计。

图1.2.45(1)

图1.2.45(2) | 【解】 以离子进人电场处为原点 $O$ ,沿水平方向取 $x$ 轴,坚直向下取 $y$ 轴,如图1.2.45(2)所示.设离子在 $t=0$ 时进人电场,电场在 $t_{1}$ 时反向,离子的电荷量为 $q$ ,质量为 $m$ ,则有
$$
\begin{gathered}
x_{1}=\frac{1}{2} a t_{1}^{2}=\frac{q E}{2 m} t_{1}^{2} \\
y_{1}=v_{0} t_{1}
\end{gathered}
$$
电场反向后,则在 $t \geqslant t_{1}$ 时有
$$
\begin{gathered}
x=\frac{1}{2}(-a)\left(t-t_{1}\right)^{2}+v_{1}\left(t-t_{1}\right)+x_{1} \\
=-\frac{q E}{2 m}\left(t-t_{1}\right)^{2}+\frac{q E}{m} t_{1}\left(t-t_{1}\right)+\frac{q E}{2 m} t_{1}^{2} \\
y=v_{0} t
\end{gathered}
$$
离子恰好从 $A$ 板的下边缘飞出的条件为 $y=l, x=0$ .于是式(3)给出
$$
-\left(t-t_{1}\right)^{2}+2 t_{1}\left(t-t_{1}\right)+t_{1}^{2}=0
$$
所以
$$
2 t_{1}^{2}-4 t t_{1}+t^{2}=0
$$
式(4)给出
$$
t=\frac{l}{v_{0}}
$$
将式(7)代入式(6)解出 $t_{1}$ 得
$$
t_{1}=\left(1 \pm \frac{\sqrt{2}}{2}\right) \frac{l}{v_{0}}
$$
因为 $t_{1}<l / v_{0}$ ,故上式只能取负号.于是得到所求的时间为
$$
t_{1}=\left(1-\frac{\sqrt{2}}{2}\right) \frac{l}{v_{0}}
$$ | |
电场线是带单位正电荷量的粒子运动的轨迹吗?带电粒子会沿电场线运动吗?为什么? | 【解答】电场线是物理学上假想的曲线,用它来描述电场强度在空间分布的大致轮廓,而不是带单位正电荷量的粒子运动的轨迹.因为电场线的方向是带正电荷的粒子受力的方向,根据力学定律,粒子受力的方向不一定是粒子运动(速度)的方向。带电粒子在电场强度为 $\boldsymbol{E}$ 的电场中运动时,只有在特殊情况下,才会沿电场线运动,例如在 $\boldsymbol{E}$ 为均匀电场且粒子的初速 $v_{0}$ 平行于 $\boldsymbol{E}$ 的条件下,带电粒子便会沿电场线运动。 | |
两个相同的点电荷,在它们连线的中点,电场线是否相交?为什么? | 【解答】不相交.因为在这一点, $\boldsymbol{E}=0$ ,所以这一点不能有电场线通过.请参看张之翔《电磁学教学参考》(北京大学出版社,2015),4—5页. | |
高斯定理的表达式为 $\oiint_{S} \boldsymbol{E} \cdot \mathrm{~d} \boldsymbol{S}=\frac{1}{\boldsymbol{\varepsilon}_{0}} \boldsymbol{Q}$ 。为什么此式左边的 $\boldsymbol{E}$ 是高斯面 $S$ 内外所有电荷产生的电场强度,而右边的 $Q$ 却只是 $S$ 内的电荷而不包括 $S$ 外的电荷呢? | 【解答】因为 $S$ 外任何电荷产生的电场强度 $\boldsymbol{E}$ ,其积分 $\oiint_{S} \boldsymbol{E} \cdot \mathrm{~d} \boldsymbol{S}=0$ . | |
有人认为:(1)如果高斯面上处处 $\boldsymbol{E}$ 为零,则该面内必无电荷;(2)如果高斯面内无电荷,则高斯面上处处 $\boldsymbol{E}$ 为零;(3)如果高斯面上处处 $\boldsymbol{E}$ 不为零,则
高斯面内必有电荷;(4)如果高斯面内有电荷,则高斯面上处处 $\boldsymbol{E}$ 不为零.你认为以上这些说法是否正确?试分别举例说明。 | 【解答】(1)不一定.例如电荷量 $Q$ 均匀分布在半径为 $R_{1}$ 的球面上,电荷量 $-Q$ 均分布在半径为 $R_{2}\left(\neq R_{1}\right)$ 的同心球面上,则在两球面外作任何高斯面 $S, S$ 上处处 $\boldsymbol{E}$ 为零,但 $S$ 内有电荷.
(2)不一定.例如空间有一点电荷,作一高斯面 $S$ 不包住这个电荷,这时 $S$ 面内无电荷,但 $S$上处处 $\boldsymbol{E}$ 不为零。
(3)不一定。例如空间有一点电荷,作一高斯面 $S$ 不包住这个电荷,这时 $S$ 上处处 $\boldsymbol{E}$ 不为零,但 $S$ 内无电荷.
(4)不一定。如上面(1)的例子,高斯面 $S$ 内有电荷,但 $S$ 上处处 $\boldsymbol{E}$ 为零。 | |
电荷量 $Q$ 均匀分布在一个球面上,在球心有一电荷量为 $q$ 的点电荷.由对称性和高斯定理可知:球面上的电荷量 $Q$ 在球心产生的电场强度为零,因此, $Q$ 作用在 $q$ 上的力为零。但 $q$ 在球面上产生的电场强度不为零,因而 $q$ 有力作用在 $Q$ 上。你认为这有矛盾吗? | 【解答】没有矛盾。 $Q$ 作用在 $q$ 上的力为零,是指球面上各处的电荷作用在 $q$ 上的合力为零;反过来,由对称性可知,球面上所有电荷受 $q$ 作用的力之和也是零,这一点从对称性很容易明白.至于局部,$q$ 对球面上某处的电荷有作用力,该处的电荷对 $q$ 也有作用力,而且这两个力大小相等,方向相反,遵守牛顿第三定律。 | |
为了使电场线不仅表示电场强度 $\boldsymbol{E}$ 的方向,而且也表示 $\boldsymbol{E}$ 的大小,有人对电场线作如下规定:在电场中任一点,通过垂直于电场强度 $\boldsymbol{E}$ 的单位面积的电场线数目,等于该点 $\boldsymbol{E}$ 的量值.根据这个规定,一个质子发出多少条电场线? | 【解答】根据这个规定,由高斯定理得出:电荷量为 $e=1.6 \times 10^{-19} \mathrm{C}$ 的质子所发出的电场线数目为
$$
N=\oiint_{S} \boldsymbol{E} \cdot \mathrm{~d} \boldsymbol{S}=\frac{e}{\varepsilon_{0}}=\frac{1.6 \times 10^{-19}}{8.854 \times 10^{-12}}=1.8 \times 10^{-8}
$$
这个结果显然是没有意义的.这表明,想用电场线定量地描述电场强度是不恰当的.电场线只能描述电场的大致轮廓,而不能据以确定某点电场强度的准确值。费曼说:"场线只不过是描写场的一种草率办法,要用场线直接给出那些正确而又定量的定律来,那是很困难的."[《费曼物理学讲义》,第二卷(上海科学技术出版社,1981), 9 页] | |
电荷量 $Q_{1}$ 均匀分布在半径为 $R_{1}$ 的球面上,电荷量 $Q_{2}$ 均匀分布在半径为 $R_{2}$ 的同心球面上,如图 1.3.5所示。(1)试求离球心为 $r$ 处的电场强度 $\boldsymbol{E}$ ;(2)当 $Q_{2}=-Q_{1}$ 时各处的 $\boldsymbol{E}$ 如何? | 【解】(1)以球心为心,$r$ 为半径作球面(高斯面)$S$ ,根据对称

图1.3.5
性可知,$S$ 上各点的电场强度 $\boldsymbol{E}$ 大小相等,故 $\boldsymbol{E}$ 对 $S$ 的面积分为
$$
\oiint_{S} \boldsymbol{E} \cdot \mathrm{~d} \boldsymbol{S}=\oiint_{S} E \mathrm{~d} S=E \oiint_{S} \mathrm{~d} S=E \cdot 4 \pi r^{2}=4 \pi r^{2} E
$$
于是由高斯定理得
$$
\oiint_{S} \boldsymbol{E} \cdot \mathrm{~d} \boldsymbol{S}=4 \pi r^{2} E=\frac{1}{\varepsilon_{0}} Q=\left\{\begin{array}{l}
0, r<R_{1} \\
\frac{1}{\varepsilon_{0}} Q_{1}, R_{1}<r<R_{2} \\
\frac{1}{\varepsilon_{0}}\left(Q_{1}+Q_{2}\right), r>R_{2}
\end{array}\right\}
$$
令 $\boldsymbol{r}$ 表示从球心到场点的位矢,则由上式得
$$
\begin{array}{ll}
\boldsymbol{E}=0, & r<R_{1} \\
\boldsymbol{E}=\frac{Q_{1}}{4 \pi \varepsilon_{0}} \frac{\boldsymbol{r}}{r^{3}}, & R_{1}<r<R_{2} \\
\boldsymbol{E}=\frac{Q_{1}+Q_{2}}{4 \pi \varepsilon_{0}} \frac{\boldsymbol{r}}{r^{3}}, & r>R_{2}
\end{array}
$$
(2)当 $Q_{2}=-Q_{1}$ 时,各处的 $\boldsymbol{E}$ 如下:
$$
\begin{array}{ll}
\boldsymbol{E}=0, & r<R_{1} \text { 和 } r>R_{2} \\
\boldsymbol{E}=\frac{Q_{1}}{4 \pi \varepsilon_{0}} \frac{\boldsymbol{r}}{r^{3}}, & R_{1}<r<R_{2}
\end{array}
$$ | |
半径分别为 $R_{1}$ 和 $R_{2}$ 的两个同心球面都均匀带电,已知大球面上电

图1.3.6
荷量的面密度为 $\sigma$(图1.3.6),大球面以外的电场强度为零。试求(1)小球面上电荷量的面密度;(2)两球面间离球心为 $r$处的电场强度 $\boldsymbol{E}$ ;(3)小球面内的电场强度 $\boldsymbol{E}_{i}$ . | 【解】(1)设小球面上电荷量的面密度为 $\sigma^{\prime}$ ,则以球心为心, $r\left(>R_{2}\right)$ 为半径作球面(高斯面)$S$ ,由对称性和高斯定理得
$$
\oiint_{S} \boldsymbol{E} \cdot \mathrm{~d} \boldsymbol{S}=4 \pi r^{2} E=\frac{1}{\varepsilon_{0}}\left(4 \pi R_{1}^{2} \sigma^{\prime}+4 \pi R_{2}^{2} \sigma\right)
$$
因 $E=0$ ,故得
$$
\sigma^{\prime}=-\left(\frac{R_{2}}{R_{1}}\right)^{2} \sigma
$$
(2)在两球面间取半径为 $r$ 的同心球面 $S$ 作为高斯面,由对称性和高斯定理得
$$
\oiint_{S} \boldsymbol{E} \cdot \mathrm{~d} \boldsymbol{S}=4 \pi r^{2} E=\frac{1}{\varepsilon_{0}} 4 \pi R_{1}^{2} \sigma^{\prime}=-\frac{1}{\varepsilon_{0}} 4 \pi R_{2}^{2} \sigma
$$
所以
$$
\boldsymbol{E}=-\frac{\sigma R_{2}^{2}}{\varepsilon_{0}} \frac{\boldsymbol{r}}{r^{3}}
$$
式中 $\boldsymbol{r}$ 是球心到场点的位矢。
(3)在小球面内取半径为 $r$ 的同心球面,由对称性和高斯定理得
$$
\oiint_{S} \boldsymbol{E}_{i} \cdot \mathrm{~d} \boldsymbol{S}=4 \pi r^{2} E_{i}=0
$$
所以
$$
\boldsymbol{E}_{i}=0
$$ | |
一球壳体的内外半径分别为 $a$ 和 $b$ ,壳体中均匀分布着电荷,电荷量密度为 $\rho$(图1.3.7).试求离球心为 $r$ 处的电场强度 $\boldsymbol{E}$ ,并画出 $E-r$ 曲线(以 $r$ 为横坐标、 $\boldsymbol{E}$ 的大小 $E$ 为纵坐标的 $E$ 与 $r$ 的关系曲线)。 | 【解】以球壳心为心、 $r$ 为半径作球面(高斯面)$S$ ,由对称性和高斯定理得
$$
\oiint_{S} \boldsymbol{E} \cdot \mathrm{~d} \boldsymbol{S}=4 \pi r^{2} E=\frac{1}{\varepsilon_{0}} Q
$$
式中 $Q$ 是 $S$ 所包住的电荷量的代数和.
$r<a$(壳体腔内):$Q=0$ ,故 $E=0$ ,所以
$$
\boldsymbol{E}=0
$$
$a<r<b$(壳体中):$Q=\rho \cdot \frac{4 \pi}{3}\left(r^{3}-a^{3}\right)=\frac{4 \pi}{3} \rho\left(r^{3}-a^{3}\right)$ ,所以
$$
\boldsymbol{E}=\frac{\rho}{3 \varepsilon_{0}}\left(r^{3}-a^{3}\right) \frac{\boldsymbol{r}}{r^{3}}
$$

图1.3.7(2)
$r>b$(壳体外):$Q=\rho \cdot \frac{4 \pi}{3}\left(b^{3}-a^{3}\right)=\frac{4 \pi}{3} \rho\left(b^{3}-a^{3}\right)$ ,所以
$$
\boldsymbol{E}=\frac{\rho}{3 \varepsilon_{0}}\left(b^{3}-a^{3}\right) \frac{\boldsymbol{r}}{r^{3}}
$$
式中 $\boldsymbol{r}$ 为从球壳心到场点的位矢。
根据式(2)、(3)、(4)画出的 $E-r$ 曲线如图1.3.7(2)所示,其中 0 至 $a$ 间是 $E=0$ 。 | |
电荷量 $q$ 均匀地分布在半径为 $R$ 的球体内,试求离球心为 $r$ 处的电场强度 $\boldsymbol{E}$ ,并画出 $\boldsymbol{E}$ 的大小 $E$ 与 $r$ 的关系曲线。 | 【解】以球心为心、 $r$ 为半径作球面(高斯面)$S$ ,由对称性和高斯定理得
$$
\oiint_{S} \boldsymbol{E} \cdot \mathrm{~d} \boldsymbol{S}=4 \pi r^{2} E=\frac{1}{\varepsilon_{0}} Q
$$
式中 $Q$ 是 $S$ 所包住的电荷量的代数和.当 $r<R$ 时
$$
Q=\rho \cdot \frac{4 \pi}{3} r^{3}=\frac{3 q}{4 \pi R^{2}} \cdot \frac{4 \pi}{3} r^{3}=\frac{q}{R^{3}} r^{3}
$$
所以
$$
\begin{aligned}
E & =\frac{q r}{4 \pi \varepsilon_{0} R^{3}} \\
\boldsymbol{E} & =\frac{q \boldsymbol{r}}{4 \pi \varepsilon_{0} R^{3}}
\end{aligned}
$$
当 $r>R$ 时,$Q=q$ ,故
$$
\boldsymbol{E}=\frac{q \boldsymbol{r}}{4 \pi \varepsilon_{0} r^{3}}
$$
式中 $\boldsymbol{r}$ 为球心到场点的位矢。
根据式(3)、(5)画出的 $E-r$ 曲线如图1.3.8所示。

图1.3.8 | |
电荷均匀分布在一球体内,电荷量密度为 $\rho$ .(1)试求球内离球心为 $r$处的电场强度;(2)若在这球内挖去一部分电荷,挖去的体积是一个小球体,试求挖去电荷后空腔内的电场强度。 | 【解】(1)以球心为心,$r$ 为半径,在球内作一同心球面(高斯面)$S$ ,由对称性和高斯定理得
$$
\oiint_{S} \boldsymbol{E} \cdot \mathrm{~d} \boldsymbol{S}=4 \pi r^{2} E=\frac{1}{\varepsilon_{0}} \rho \cdot \frac{4 \pi}{3} r^{3}
$$
所以
$$
E=\frac{\rho}{3 \varepsilon_{0}} r
$$
$$
\boldsymbol{E}=\frac{\rho}{3 \varepsilon_{0}} \boldsymbol{r}
$$
式中 $\boldsymbol{r}$ 是从球心到场点的位矢.
(2)设球心为 $O$ ,空腔中心为 $O^{\prime}$ ,令 $\boldsymbol{a}=\overrightarrow{O O^{\prime}}$ ,如图1.3.11所示.把空腔看作是一个均匀分布着电荷量密度为 $-\rho$ 的小球叠加在原来的球上而成。这样,空腔内任一点 $P$ 的电场强度 $\boldsymbol{E}_{p}$ 便由式 (3)的 $\boldsymbol{E}$ 和 $-\rho$ 产生的 $\boldsymbol{E}^{\prime}$ 叠加而成。由式(3)知
$$
\boldsymbol{E}^{\prime}=\frac{-\rho}{3 \varepsilon_{0}} \boldsymbol{r}^{\prime}=-\frac{\rho}{3 \varepsilon_{0}} \boldsymbol{r}^{\prime}
$$

图1.3.11
式中 $\boldsymbol{r}^{\prime}=\overrightarrow{O^{\prime} P}$ .于是得
$$
\begin{aligned}
\boldsymbol{E}_{P} & =\boldsymbol{E}+\boldsymbol{E}^{\prime}=\frac{\rho}{3 \varepsilon_{0}} \boldsymbol{r}-\frac{\rho}{3 \varepsilon_{0}} \boldsymbol{r}^{\prime} \\
& =\frac{\rho}{3 \varepsilon_{0}}\left(\boldsymbol{r}-\boldsymbol{r}^{\prime}\right)=\frac{\rho}{3 \varepsilon_{0}} \boldsymbol{a}
\end{aligned}
$$
这个结果表明:空腔内的电场是均匀电场. | |
空间有两个球,球心间的距离小于它们的半径之和,因此两球有一部分重叠,如图1.3.12所示。现在让两个球都充满均匀电荷,电荷密度分别为 $\rho$ 和

图1.3.12
-$\rho$ .重叠部分由于正负电荷互相中和而无电荷.试求重叠区域内的电场强度。 | 【解】设 $O$ 和 $O^{\prime}$ 分别为两球的球心,$P$ 为重叠区域内任一点,令 $\overrightarrow{O O^{\prime}}=\boldsymbol{a}, \overrightarrow{O P}=\boldsymbol{r}, \overrightarrow{O^{\prime} P}=\boldsymbol{r}^{\prime}$ ,则由前面1.3.11题的式(3)得出,两球体电荷在 $P$ 点产生的电场强度分别为
$$
\boldsymbol{E}=\frac{-\rho}{3 \varepsilon_{0}} \boldsymbol{r}=-\frac{\rho}{3 \varepsilon_{0}} \boldsymbol{r}
$$
$$
\boldsymbol{E}^{\prime}=\frac{\rho}{3 \varepsilon_{0}} \boldsymbol{r}^{\prime}
$$
根据电场强度叠加原理得 $P$ 点的电场强度为
$$
\boldsymbol{E}_{P}=\boldsymbol{E}+\boldsymbol{E}^{\prime}=\frac{\rho}{3 \varepsilon_{0}}\left(\boldsymbol{r}^{\prime}-\boldsymbol{r}\right)=-\frac{\rho}{3 \varepsilon_{0}} \boldsymbol{a}
$$
这个结果表明,重叠区域内的电场是均匀电场,电场强度的方向是正电荷球心 $O^{\prime}$ 到负电荷球心 $O$ 的方向. | |
在半径为 $R$ 的球体内,挖一个半径为 $\frac{R}{2}$ 的球形空腔,空腔的直径一端在球心 $O$ ,另一端在球面上 $A$ 点,如图1.3.13所示,把电荷量 $q$ 均匀分布在未挖去的部分.试求 $O A$ 延长线上距球心为 $r$ 处的 $P$ 点的电场强度.
$$
\boldsymbol{E}=\frac{\rho}{3 \varepsilon_{0}} \boldsymbol{a}=\frac{1}{3 \varepsilon_{0}} \frac{8}{7} \frac{3 q}{4 \pi R^{3}} \frac{R}{2} \boldsymbol{e}=\frac{q}{7 \pi \varepsilon_{0} R^{2}} \boldsymbol{e}
$$ | 【解】 把这个带电系统看作是电荷量密度为 $\rho$ 的均匀带电球和电荷量密度为 $-\rho$ 的均匀

图1.3.13
带电小球叠加而成.根据对称性和高斯定理,便得 $P$ 点的电场强度为
$$
\boldsymbol{E}=\frac{1}{4 \pi \varepsilon_{0}} \frac{4 \pi}{3} R^{3} \rho \frac{\boldsymbol{e}}{r^{2}}+\frac{1}{4 \pi \varepsilon_{0}} \frac{4 \pi}{3}\left(\frac{R}{2}\right)^{3}(-\rho) \frac{\boldsymbol{e}}{\left(r-\frac{R}{2}\right)^{2}}
$$
式中 $\boldsymbol{e}$ 为 $\overrightarrow{O P}$ 方向上的单位矢量。
下面求 $\rho$ .空腔体积为
$$
V=\frac{4 \pi}{3}\left(\frac{R}{2}\right)^{3}=\frac{1}{8} \cdot \frac{4 \pi}{3} R^{3}=\frac{1}{8}(\text { 球体积 })
$$
故挖去空腔后,剩下部分的体积便为 $\frac{7}{8} \cdot \frac{4 \pi}{3} R^{3}$ .于是得电荷量密度为
$$
\rho=\frac{q}{\frac{7}{8} \cdot \frac{4 \pi}{3} R^{3}}=\frac{8}{7} \frac{3 q}{4 \pi R^{3}}
$$
代人式(1)便得
$$
\boldsymbol{E}=\frac{1}{4 \pi \varepsilon_{0}} \frac{8 q}{7} \frac{\boldsymbol{e}}{r^{2}}-\frac{q}{7} \frac{\boldsymbol{e}}{\left(r-\frac{R}{2}\right)^{2}}=\frac{q}{28 \pi \varepsilon_{0} r^{2}}\left[8-\frac{4 r^{2}}{(2 r-R)^{2}}\right] \boldsymbol{e}
$$ | |
在内外半径分别为 $a$ 和 $b$ 的球壳体内分布着电荷,电荷量密度为 $\rho= \frac{A}{r}$ ,式中 $A$ 是常数,$r$ 是壳体内某一点到球心的距离.现在球心放一电荷量为 $Q$ 的点电荷,如图1.3.14所示.要使壳体内各处电场强度的大小都相等,试求 $A$ 的值. | 【解】以球壳的中心为心、 $r$ 为半径作球面(高斯面)$S$ ,根据对称性和高斯定理得
$$
\begin{aligned}
\oiint_{S} \boldsymbol{E} \cdot \mathrm{~d} \boldsymbol{S} & =4 \pi r^{2} E=\frac{1}{\varepsilon_{0}}\left[Q+\int_{a}^{r} \frac{A}{r} \cdot 4 \pi r^{2} \mathrm{~d} r\right] \\
& =\frac{1}{\varepsilon_{0}}\left[Q+2 \pi A\left(r^{2}-a^{2}\right)\right]
\end{aligned}
$$
所以

图1.3.14
$$
\begin{aligned}
E & =\frac{1}{4 \pi \varepsilon_{0} r^{2}}\left[Q+2 \pi A\left(r^{2}-a^{2}\right)\right]=\frac{1}{4 \pi \varepsilon_{0}}\left[\frac{Q}{r^{2}}+2 \pi A\left(1-\frac{a^{2}}{r^{2}}\right)\right] \\
& =\frac{1}{4 \pi \varepsilon_{0}}\left[2 \pi A+\frac{Q-2 \pi A a^{2}}{r^{2}}\right]
\end{aligned}
$$
因 $E$ 与 $r$ 无关,故由上式得
$$
A=\frac{Q}{2 \pi a^{2}}
$$ | |
电荷分布在半径为 $R$ 的球体内,电荷量密度为 $\rho=\rho_{0}\left(1-\frac{r}{R}\right)$ ,式中 $\rho_{0}$ 为常数,$r$ 为球心到球内一点的距离.试求:(1)球内外离球心为 $r$ 处的电场强度;(2)电场强度的最大值. | 【解】(1)根据对称性和高斯定理得:球内离球心为 $r$ 处有
$$
\begin{aligned}
\oiint_{S} \boldsymbol{E} \cdot \mathrm{~d} \boldsymbol{S} & =4 \pi r^{2} E=\frac{1}{\varepsilon_{0}} \iiint \rho \mathrm{~d} V \\
& =\frac{1}{\varepsilon_{0}} \int_{0}^{r} \rho_{0}\left(1-\frac{r}{R}\right) \cdot 4 \pi r^{2} \mathrm{~d} r \\
& =\frac{4 \pi \rho_{0}}{3 \varepsilon_{0}}\left(r^{3}-\frac{3 r^{4}}{4 R}\right)
\end{aligned}
$$
所以
$$
\boldsymbol{E}=\frac{\rho_{0}}{3 \varepsilon_{0}}\left(1-\frac{3 r}{4 R}\right) \boldsymbol{r}, \quad r<R
$$
式中 $\boldsymbol{r}$ 是从球心到场点的位矢,$|\boldsymbol{r}|=r$ .
球外离球心为 $r$ 处有
$$
\begin{aligned}
\oiint_{S} \boldsymbol{E} \cdot \mathrm{~d} \boldsymbol{S} & =4 \pi r^{2} E=\frac{1}{\varepsilon_{0}} \iiint \rho \mathrm{~d} V \\
& =\frac{1}{\varepsilon_{0}} \int_{0}^{R} \rho_{0}\left(1-\frac{r}{R}\right) \cdot 4 \pi r^{2} \mathrm{~d} r=\frac{4 \pi \rho_{0} R^{3}}{12 \varepsilon_{0}}
\end{aligned}
$$
所以
$$
\boldsymbol{E}=\frac{\rho_{0} R^{3}}{12 \varepsilon_{0} r^{3}} \boldsymbol{r}, \quad r>R
$$
(2)由式(2)、(4)可见,电场强度 $\boldsymbol{E}$ 在球内有极大值.由式(2)得
$$
\frac{\mathrm{d} E}{\mathrm{~d} r}=\frac{\rho_{0}}{3 \varepsilon_{0}} \frac{\mathrm{~d}}{\mathrm{~d} r}\left(r-\frac{3 r^{2}}{4 R}\right)=\frac{\rho}{3 \varepsilon_{0}}\left(1-\frac{6 r}{4 R}\right)=0
$$
所以
$$
r=\frac{2}{3} R
$$
即 $\boldsymbol{E}$ 在 $r=\frac{2}{3} R$ 处有极大值,其值为
$$
E_{\max }=\frac{\rho}{3 \varepsilon_{0}}\left(1-\frac{3}{4} \times \frac{2}{3}\right) \times \frac{2}{3} R=\frac{\rho_{0} R}{9 \varepsilon_{0}}
$$
由式(2)和式(4)可见,从 $r=0$ 到 $\infty, E$ 只有这一极大值,故 $E_{\text {max }}$ 即是所求的最大值. | |
根据量子力学,氢原子处在基态时,核外电荷的分布为 $\rho(r)= -\frac{q}{\pi a^{3}} \cdot \mathrm{e}^{-\frac{2 r}{a}}$ ,式中 $q=1.60 \times 10^{-19} \mathrm{C}, a=5.29 \times 10^{-11} \mathrm{~m}, r$ 是到原子核的距离。试求:(1)核外电荷的总电荷量;(2)核外电荷在 $r$ 处产生的电场强度. | 【解】(1)因 $\rho=-\frac{q}{\pi a^{3}} \mathrm{e}^{-\frac{2 r}{a}}$ 是球对称分布,故核外总电荷量为
$$
Q=\iiint_{V} \rho \mathrm{~d} V=-\frac{q}{\pi a^{3}} \int_{0}^{\infty} \mathrm{e}^{-\frac{2 r}{a}} \cdot 4 \pi r^{2} \mathrm{~d} r=-\frac{4 q}{a^{3}} \int_{0}^{\infty} r^{2} \mathrm{e}^{-\frac{2 r}{a}} \mathrm{~d} r
$$
由积分公式
$$
\int_{0}^{\infty} x^{n} \mathrm{e}^{-b x} \mathrm{~d} x=\frac{n!}{b^{n+1}}
$$
得
$$
Q=-\frac{4 q}{a^{3}} \frac{2}{\left(\frac{2}{a}\right)^{3}}=-q=-1.60 \times 10^{-19} \mathrm{C}
$$
可见核外电荷的总电荷量等于电子的电荷量.
(2)由对称性和高斯定理得
$$
\begin{aligned}
\oiint_{S} \boldsymbol{E} \cdot \mathrm{~d} \boldsymbol{S} & =4 \pi r^{2} E=-\frac{q}{\pi \varepsilon_{0} a^{3}} \int_{0}^{r} \mathrm{e}^{-\frac{2 r}{a}} \cdot 4 \pi r^{2} \mathrm{~d} r \\
& =-\frac{4 q}{\varepsilon_{0} a^{3}}\left\{-\left.\frac{r^{2} \mathrm{e}^{-\frac{2 r}{a}}}{\left(-\frac{2}{a}\right)}\right|_{0} ^{r}-\frac{2}{\left(-\frac{2}{a}\right)^{2}} \int_{0}^{r} \mathrm{e}^{-\frac{2 r}{a}} r \mathrm{~d} r\right\}
\end{aligned}
$$
$$
\begin{aligned}
& =-\frac{4 q}{\varepsilon_{0} a^{3}}\left\{-\frac{1}{2} a r^{2} \mathrm{e}^{-\frac{2 r}{a}}+a \int_{0}^{r} \mathrm{e}^{-\frac{2 r}{a}} r \mathrm{~d} r\right\} \\
& =-\frac{4 q}{\varepsilon_{0} a^{3}}\left\{-\frac{1}{2} a r^{2} \mathrm{e}^{-\frac{2 r}{a}}+a\left[-\frac{a^{2}}{4}\left(2 \frac{r}{a}+1\right) \mathrm{e}^{-\frac{2 r}{a}}+\frac{a^{2}}{4}\right]\right\} \\
& =\frac{q}{\varepsilon_{0}}\left(2 \frac{r^{2}}{a^{2}}+2 \frac{r}{a}+1\right) \mathrm{e}^{-\frac{2 r}{a}}-\frac{q}{\varepsilon_{0}}
\end{aligned}
$$
于是得核外电荷在 $r$ 处产生的电场强度为
$$
\boldsymbol{E}=\frac{q}{4 \pi \varepsilon_{0}}\left[\left(\frac{2}{a^{2}}+\frac{2}{a r}+\frac{1}{r^{2}}\right) \mathrm{e}^{-\frac{2 r}{a}}-\frac{1}{r^{2}}\right] \boldsymbol{e}_{r}
$$
式中 $\boldsymbol{e}_{r}$ 是从氢核指向场点的单位矢量. | |
1903年,英国物理学家汤姆孙(J.J.Thomson)根据实验,提出"果子面包"型的原子模型:原子的正电荷均匀分布在半径约为 $1.0 \times 10^{-10} \mathrm{~m}$ 的球体内,原子的负电荷(即电子)则在正电荷球内运动。1911年,汤姆孙的学生卢瑟福(E. Rutherford)根据金核对 $\alpha$ 粒子的散射实验,提出原子的核模型:原子的正电荷集中在很小(约 $10^{-15} \mathrm{~m}$ )的范围内,电子则在核外运动。在原子范围内,这两种原子模型的正电荷所产生的电场强度是不相同的。以金原子为例,它的正电荷量为 $Z e= 79 \times 1.6 \times 10^{-19} \mathrm{C}=1.26 \times 10^{-17} \mathrm{C}$ ,它的原子核的半径为 $6.9 \times 10^{-15} \mathrm{~m}$ 。(1)试求金原子核在它的表面上产生的电场强度的值;(2)按汤姆孙模型计算,金原子的正电荷所能产生的电场强度的值最大是多少? | 【解】(1)假定金原子核的正电荷球对称地分布在半径为 $6.9 \times 10^{-15} \mathrm{~m}$ 的球体内,则金原子核表面上电场强度的值为
$$
E=\frac{Z e}{4 \pi \varepsilon_{0} r^{2}}=\frac{9.0 \times 10^{9} \times 1.26 \times 10^{-17}}{\left(6.9 \times 10^{-15}\right)^{2}}=2.4 \times 10^{21}(\mathrm{~V} / \mathrm{m})
$$
(2)按汤姆孙模型计算,根据前面1.3.8题的结果,金原子的正电荷所产生的电场强度的最大值在它的表面上,其值为
$$
E_{\max }=\frac{1}{4 \pi \varepsilon_{0}} \frac{q}{R^{2}}=9.0 \times 10^{9} \times \frac{1.26 \times 10^{-17}}{\left(1.0 \times 10^{-10}\right)^{2}}=1.1 \times 10^{13}(\mathrm{~V} / \mathrm{m})
$$ | |
一无穷长直线均匀带电,单位长度的电荷量为 $\lambda$ ,在它的电场的作用下,一质量为 $m$ 、电荷量为 $q$ 的质点,以它为轴线作匀速圆周运动。试求质点的速率 $v$ 和周期 $T$ 。 | 【解】设质点到带电直线的距离为 $r$ ,带电直线在此处产生的电场强度为 $\boldsymbol{E}$ ,则由对称性和高斯定理得
$$
\oiint_{S} \boldsymbol{E} \cdot \mathrm{~d} \boldsymbol{S}=2 \pi r l E=\lambda l / \varepsilon_{0}
$$
所以
$$
\boldsymbol{E}=\frac{\lambda}{2 \pi \varepsilon_{0} r^{2}} \boldsymbol{r}
$$
式中 $\boldsymbol{r}$ 是从带电直线到质点的位矢。质点所受的力为
$$
\boldsymbol{F}=q \boldsymbol{E}=\frac{q \lambda}{2 \pi \varepsilon_{0} r^{2}} \boldsymbol{r}
$$
今质点作匀速圆周运动,它受的力应是向心力,因此 $q \lambda<0$ .质点的运动方程为
$$
m \frac{v^{2}}{r}=\frac{-q \lambda}{2 \pi \varepsilon_{0} r}
$$
故得质点的速率为
$$
v=\sqrt{\frac{-q \lambda}{2 \pi \varepsilon_{0} m}}
$$
周期为
$$
T=\frac{2 \pi r}{v}=2 \pi r \sqrt{\frac{2 \pi \varepsilon_{0} m}{-q \lambda}}
$$ | |
两条平行的无穷长直线都均匀带电,单位长度的电荷量分别为 $\lambda$ 和 $-\lambda$ ,两线相距为 $a$ .(1)$P$ 为两线构成的平面内一点,$P$ 到中线(两带电线中间的平行线)的距离为 $r$ ,试求 $P$ 点的电场强度;(2)试求 $-\lambda$ 线单位长度所受的力. | 【解】(1)由对称性和高斯定理得出,无穷长均匀带电 $( \pm \lambda)$ 直线所产生的电场强度为[参见前面1.3.19题的式(1)]
$$
\boldsymbol{E}_{ \pm}=\frac{ \pm \lambda}{2 \pi \varepsilon_{0} r^{2}} \boldsymbol{r}
$$
式中 $\boldsymbol{r}$ 是从带电直线到场点的位矢。下面分几种情况计算 $\boldsymbol{E}$ 。令 $\boldsymbol{e}$ 代表从 $\lambda$ 指向 $-\lambda$ 方向的单位矢量,如图1.3.20所示。

图1.3.20
(i)$P$ 在 $\lambda$ 外 $\left(P_{1}\right)$
$$
\begin{aligned}
\boldsymbol{E}_{1} & =\boldsymbol{E}_{1+}+\boldsymbol{E}_{1-}=\frac{\lambda(-\boldsymbol{e})}{2 \pi \varepsilon_{0}\left(r-\frac{a}{2}\right)}+\frac{-\lambda(-\boldsymbol{e})}{2 \pi \varepsilon_{0}\left(r+\frac{a}{2}\right)} \\
& =\frac{\lambda \boldsymbol{e}}{2 \pi \varepsilon_{0}}\left(\frac{1}{r+\frac{a}{2}}-\frac{1}{r-\frac{a}{2}}\right)
\end{aligned}
$$
$$
=-\frac{\lambda a \boldsymbol{e}}{2 \pi \varepsilon_{0}\left(r^{2}-a^{2} / 4\right)}
$$
(ii)$P$ 在 $\lambda$ 与中线间 $\left(P_{2}\right)$
$$
\begin{aligned}
\boldsymbol{E}_{2} & =E_{2+}+\boldsymbol{E}_{2-}=\frac{\lambda \boldsymbol{e}}{2 \pi \varepsilon_{0}(a / 2-r)}+\frac{-\lambda(-\boldsymbol{e})}{2 \pi \varepsilon_{0}(a / 2+r)} \\
& =\frac{\lambda a \boldsymbol{e}}{2 \pi \varepsilon_{0}\left(a^{2} / 4-r^{2}\right)}
\end{aligned}
$$
(iii)$P$ 在中线与 $-\lambda$ 间 $\left(P_{3}\right)$
$$
\begin{aligned}
\boldsymbol{E}_{3} & =\boldsymbol{E}_{3+}+\boldsymbol{E}_{3-}=\frac{\lambda \boldsymbol{e}}{2 \pi \varepsilon_{0}(a / 2+r)}+\frac{-\lambda(-\boldsymbol{e})}{2 \pi \varepsilon_{0}(a / 2-r)} \\
& =\frac{\lambda a \boldsymbol{e}}{2 \pi \varepsilon_{0}\left(a^{2} / 4-r^{2}\right)}
\end{aligned}
$$
(iv)$P$ 在一 $\lambda$ 外 $\left(P_{4}\right)$
$$
\begin{aligned}
\boldsymbol{E}_{4} & =\boldsymbol{E}_{4+}+\boldsymbol{E}_{4-}=\frac{\lambda \boldsymbol{e}}{2 \pi \varepsilon_{0}(r+a / 2)}+\frac{-\lambda \boldsymbol{e}}{2 \pi \varepsilon_{0}(r-a / 2)} \\
& =-\frac{\lambda a \boldsymbol{e}}{2 \pi \varepsilon_{0}\left(r^{2}-a^{2} / 4\right)}
\end{aligned}
$$
由以上四式可见: $\boldsymbol{E}_{1}=\boldsymbol{E}_{4}, \boldsymbol{E}_{2}=\boldsymbol{E}_{3}$ .这由对称性也可以看出.
(2)$\lambda$ 线上的电荷在 $-\lambda$ 线处产生的电场强度为 $\boldsymbol{E}_{+}=\frac{\lambda \boldsymbol{e}}{2 \pi \varepsilon_{0} a}$ ,故 $-\lambda$ 线单位长度所受的力为
$$
\boldsymbol{f}=-\lambda \boldsymbol{E}_{+}=-\frac{\lambda^{2} \boldsymbol{e}}{2 \pi \varepsilon_{0} a}
$$ | |
半径分别为 $R_{1}$ 和 $R_{2}\left(>R_{1}\right)$ 的两无穷长直共轴圆筒,筒面上都均匀带电,沿轴线单位长度的电荷量分别为 $\lambda_{1}$ 和 $\lambda_{2}$ ,其中一段如图1.3.22所示。(1)试求(i)内筒内,(ii)两筒间和(iii)外筒外的电场强度;(2)当 $\lambda_{2}=-\lambda_{1}$ 时,各处的 $\boldsymbol{E}$如何? | 【解】(1)以公共轴线为轴线,半径为 $r$ 作长为 $l$ 的圆柱面(高斯面)$S$ ,由对称性和高斯定理得
$$
\oiint_{S} \boldsymbol{E} \cdot \mathrm{~d} \boldsymbol{S}=2 \pi r l E=\frac{1}{\boldsymbol{\varepsilon}_{0}} Q
$$
式中 $Q$ 是 $S$ 所包住的电荷量的代数和.
(i)内筒内 $\left(r<R_{1}\right) Q=0$ ,故得
$$
\boldsymbol{E}=0
$$
(ii)两筒间 $\left(R_{1}<r<R_{2}\right) Q=\lambda_{1} l$ ,故得
$$
E=\frac{\lambda_{1}}{2 \pi \varepsilon_{0} r}
$$
所以
$$
\boldsymbol{E}=\frac{\lambda_{1}}{2 \pi \varepsilon_{0} r^{2}} \boldsymbol{r}
$$
式中 $\boldsymbol{r}$ 是从轴线到场点的位矢。
(iii)外筒外 $\left(r>R_{2}\right) Q=\left(\lambda_{1}+\lambda_{2}\right) l$ ,故得
$$
E=\frac{\lambda_{1}+\lambda_{2}}{2 \pi \varepsilon_{0} r}
$$
所以
$$
\boldsymbol{E}=\frac{\lambda_{1}+\lambda_{2}}{2 \pi \varepsilon_{0} r^{2}} \boldsymbol{r}
$$
(2)当 $\lambda_{2}=-\lambda_{1}$ 时,由式(2)、(4)、(6)得各处的电场强度如下:
内筒内: $\boldsymbol{E}=0$
两筒间: $\boldsymbol{E}=\frac{\lambda_{1}}{2 \pi \varepsilon_{0} r^{2}} \boldsymbol{r}$
外筒外: $\boldsymbol{E}=0$ | |
半径为 $R$ 的无限长直圆柱体内均匀地分布着电荷,电荷量密度为 $\rho$ .试求离轴线为 $r$ 处的电场强度 $\boldsymbol{E}$ ,并画出 $E-r$ 曲线。

图1.3.23 | 【解】以圆柱的轴线为轴线,半径为 $r$ 作长为 $l$ 的圆柱面 (高斯面)$S$ ,由对称性和高斯定理得
$$
\oiint_{S} \boldsymbol{E} \cdot \mathrm{~d} \boldsymbol{S}=2 \pi r l E=\frac{1}{\varepsilon_{0}} Q
$$
式中 $Q$ 是 $S$ 所包住的电荷量的代数和.在圆柱体内,$r \leqslant R, Q= \pi r^{2} l \rho$ ,故得
$$
E=\frac{\rho}{2 \varepsilon_{0}} r
$$
所以
$$
\boldsymbol{E}=\frac{\rho}{2 \varepsilon_{0}} \boldsymbol{r}
$$
式中 $\boldsymbol{r}$ 为从轴线到场点的位矢.在圆柱体外,$Q=\pi R^{2} l_{\rho}$ ,故得
$$
E=\frac{\rho R^{2}}{2 \varepsilon_{0} r}
$$
所以
$$
\boldsymbol{E}=\frac{\rho R^{2}}{2 \varepsilon_{0} r^{2}} \boldsymbol{r}
$$
根据式(2)、(4)画出的 $E-r$ 曲线如图1.3.23所示。 | |
电荷均匀分布在一无穷长圆柱体内,电荷量密度为 $\rho$ .在这圆柱内挖出一无穷长圆柱形空腔,空腔的轴线与圆柱的轴线平行,相距为 $a$ ,横截面如图 1.3.24 所示.已知空腔内无电荷,试求空腔内的电场强度. | 【解】把这个电荷系统看作是一个电荷量密度为 $\rho$ 的均匀带电圆柱,与一个电荷量密度为 $-\rho$ 的均匀带电小圆柱叠加而成,结果在小圆柱内,正负电荷互相抵消,便形成没有电荷的空腔.设从圆柱轴线 $O$ 到空腔内一点的位矢为 $\boldsymbol{r}$ ,从空腔轴线 $O^{\prime}$ 到该点的位矢为 $\boldsymbol{r}^{\prime}$ ,则根据叠加原理,由前面1.3.23题的式(3),便得该点的电场强度为
$$
\begin{aligned}
\boldsymbol{E} & =\frac{\rho}{2 \varepsilon_{0}} \boldsymbol{r}+\frac{-\rho}{2 \varepsilon_{0}} \boldsymbol{r}^{\prime} \\
& =\frac{\rho}{2 \varepsilon_{0}}\left(\boldsymbol{r}-\boldsymbol{r}^{\prime}\right)=\frac{\rho}{2 \varepsilon_{0}} \boldsymbol{a}
\end{aligned}
$$

图1.3.24
式中 $\boldsymbol{a}=\overrightarrow{O O^{\prime}}$ .可见空腔内的电场是均匀电场,电场强度 $\boldsymbol{E}$ 的方向平行于从 $O$ 到 $O^{\prime}$ 的方向. | |
一无穷大平面均匀带电,电荷量的面密度为 $\sigma$ ,离这平面为 $a$ 处,有一质量为 $m$ 、电荷量为 $q$ 的粒子,由于 $q_{\sigma}<0$ ,粒子受到带电平面的吸引。设在开始 ( $t=0$ )时,粒子由静止因受平面电荷的吸引力而运动,并且可以无阻碍地穿过电荷平面。不考虑重力。试求粒子的运动周期。 | 【解】先求平面电荷所产生的电场强度 $\boldsymbol{E}$ .根据对称性,无限大均匀平面电荷产生的 $\boldsymbol{E}$ 应与该平面垂直.作一底面积为 $A$ 的鼓形高斯面,使两底面对称地处在该面两边,由高斯定理得
$$
\oiint_{S} \boldsymbol{E} \cdot \mathrm{~d} \boldsymbol{S}=E \cdot 2 A=\frac{1}{\varepsilon_{0}} \sigma A
$$
所以
$$
\boldsymbol{E}=\frac{\sigma}{2 \varepsilon_{0}} \boldsymbol{n}
$$
式中 $\boldsymbol{n}$ 是带电平面法线方向上的单位矢量,方向向外.由式(2)可见,无限大均匀带电平面所产生的电场是均匀电场。
再求粒子的运动周期.粒子的运动方程为
$$
m \frac{\mathrm{~d}^{2} \boldsymbol{r}}{\mathrm{~d} t^{2}}=q \boldsymbol{E}=\frac{q \sigma}{2 \boldsymbol{\varepsilon}_{0}} \boldsymbol{n}
$$
式中 $\boldsymbol{r}=r \boldsymbol{n}, r$ 是粒子到带电平面的距离.积分并利用初始条件得
$$
\begin{aligned}
\boldsymbol{v} & =\frac{\mathrm{d} \boldsymbol{r}}{\mathrm{~d} t}=\frac{q \sigma t}{2 \boldsymbol{\varepsilon}_{0} m} \boldsymbol{n} \\
\boldsymbol{r} & =\frac{q \sigma t^{2}}{4 \boldsymbol{\varepsilon}_{0} m} \boldsymbol{n}+a \boldsymbol{n}
\end{aligned}
$$
$\boldsymbol{r}=0$ 时粒子到达带电平面.由式(5)得这时
$$
t_{1}=\sqrt{-\frac{4 \varepsilon_{0} m a}{q \sigma}}
$$
代人式(4)得粒子穿过带电平面时的速度为
$$
\boldsymbol{v}_{1}=\frac{q \sigma}{2 \boldsymbol{\varepsilon}_{0} m} \sqrt{\frac{-4 \boldsymbol{\varepsilon}_{0} m a}{q \sigma} \boldsymbol{n}}=-\sqrt{-\frac{q \sigma a}{\boldsymbol{\varepsilon}_{0} m} \boldsymbol{n}}
$$
穿过带电平面后,粒子的运动方程为
$$
m \frac{\mathrm{~d}^{2} \boldsymbol{r}}{\mathrm{~d} t^{2}}=q \boldsymbol{E}=-\frac{q \sigma}{2 \varepsilon_{0}} \boldsymbol{n}
$$
积分得
$$
\boldsymbol{v}=\frac{\mathrm{d} \boldsymbol{r}}{\mathrm{~d} t}=-\frac{q \sigma t}{2 \boldsymbol{\varepsilon}_{0} m} \boldsymbol{n}+\boldsymbol{v}_{1}
$$
穿过带电平面后,粒子的速率越来越小;从穿过带电平面到速率为零所经历的时间为 $t_{2}$ ,由式 (9)得
$$
\begin{aligned}
t_{2} & =\frac{2 \varepsilon_{0} m}{q_{\sigma}} v_{1}=\frac{2 \varepsilon_{0} m}{q_{\sigma}}\left(-\sqrt{-\frac{q \sigma a}{\varepsilon_{0} m}}\right) \\
& =\sqrt{\left(-\frac{2 \varepsilon_{0} m}{q \sigma}\right)^{2}\left(-\frac{q \sigma a}{\varepsilon_{0} m}\right)}=\sqrt{-\frac{4 \varepsilon_{0} m a}{q \sigma}}=t_{1}
\end{aligned}
$$
此后粒子因受带电平面的吸引而向带电平面运动,穿过带电平面后到达距离为 $a$ 处又回头,如此循环下去。它的周期为
$$
T=2\left(t_{1}+t_{2}\right)=8 \sqrt{-\frac{\varepsilon_{0} m a}{q \sigma}}
$$ | |
两个无限大的平行平面都均匀带电,电荷量的面密度分别为 $\sigma$ 和 $-\sigma$ .试求各处的电场强度. | 【解】由对称性和高斯定理得出,无限大均匀带电平面(电荷量的面密度为 $\sigma$ )所产生的电场强度为[参见前面1.3.25题的式(2)]
$$
\boldsymbol{E}=\frac{\sigma}{2 \varepsilon_{0}} \boldsymbol{n}
$$
式中 $\boldsymbol{n}$ 是该面法线方向上的单位矢量,方向向外.
由式(1)和电场强度叠加原理,便可求得各处的电场强度.如图1.3.26,设 $\boldsymbol{e}$ 为从 $\sigma$ 指向一 $\sigma$ 方向上的单位矢量,则 $P_{1}$ 点的电场强度为
$$
\begin{aligned}
\boldsymbol{E}_{1} & =\boldsymbol{E}_{+}+\boldsymbol{E}_{-} \\
& =\frac{\sigma}{2 \varepsilon_{0}}(-\boldsymbol{e})+\frac{-\sigma}{2 \varepsilon_{0}}(-\boldsymbol{e})=0
\end{aligned}
$$
$P_{2}$ 点的电场强度为

图1.3.26
$$
\boldsymbol{E}_{2}=\frac{\sigma}{2 \varepsilon_{0}} \boldsymbol{e}+\frac{-\sigma}{2 \varepsilon_{0}}(-\boldsymbol{e})=\frac{\sigma}{\varepsilon_{0}} \boldsymbol{e}
$$
$P_{3}$ 点的电场强度为
$$
\boldsymbol{E}_{3}=\frac{\sigma}{2 \varepsilon_{0}} \boldsymbol{e}+\frac{-\sigma}{2 \varepsilon_{0}} \boldsymbol{e}=0
$$ | |
两个无限大的平行平面都均匀带电,电荷量的面密度相同,都是 $\sigma$ .试求各处的电场强度.
大小相等,而方向则相反。 | 【解】一个无限大平面均匀带电,电荷量的面密度为 $\sigma$ ,所产生的电场强度为 $[$ 参见前面 1. 3.25 题的式(2)]
$$
\boldsymbol{E}=\frac{\sigma}{2 \varepsilon_{0}} \boldsymbol{n}
$$
式中 $\boldsymbol{n}$ 是该面法线方向上的单位矢量,方向向外.
由式(1)和电场强度叠加原理,便可求得各处的电场强度.如

图1.3.27
图1.3.27,设 $\boldsymbol{e}$ 为从左向右并垂直于两平面的单位矢量,则 $P_{1}$ 点的电场强度为
$$
\boldsymbol{E}_{1}=\frac{\sigma}{2 \varepsilon_{0}}(-\boldsymbol{e})+\frac{\sigma}{2 \varepsilon_{0}}(-\boldsymbol{e})=-\frac{\sigma}{\varepsilon_{0}} \boldsymbol{e}
$$
$P_{2}$ 点的电场强度为
$$
\boldsymbol{E}_{2}=\frac{\sigma}{2 \varepsilon_{0}} \boldsymbol{e}+\frac{\sigma}{2 \varepsilon_{0}}(-\boldsymbol{e})=0
$$
$P_{3}$ 点的电场强度为
$$
\boldsymbol{E}_{3}=\frac{\sigma}{2 \varepsilon_{0}} \boldsymbol{e}+\frac{\sigma}{2 \varepsilon_{0}} \boldsymbol{e}=\frac{\sigma}{\varepsilon_{0}} \boldsymbol{e}
$$ | |
一厚度为 $d$ 的无限大平板,板内均匀地分布着电荷,电荷量密度为 $\rho$ .试求板内外离板中心为 $r$ 处的电场强度。 | 【解】根据对称性,板内外的电场强度都应垂直于板面,并且对于中心平面是对称的,如图1.3.29所示.据此,作轴线垂直于板面的圆柱形高斯面 $S$ ,两底面(面积都是 $A$ )对称地处在中心平面两边,由高斯定理得
$$
\text { 板内 }(r<d / 2): \oiint_{S} \boldsymbol{E}_{i} \cdot \mathrm{~d} \boldsymbol{S}=2 E_{i} \cdot A=\frac{1}{\varepsilon_{0}} 2 r A_{\rho}
$$
所以
$$
\boldsymbol{E}_{i}=\frac{\rho}{\varepsilon_{0}} \boldsymbol{r}
$$

图1.3.29
式中 $\boldsymbol{r}$ 是从中心平面到场点的位矢,其大小为 $r$ .
所以
$$
\begin{gathered}
\text { 板外 }(r>d / 2): \oiint_{S} \boldsymbol{E}_{0} \cdot \mathrm{~d} \boldsymbol{S}=2 E_{0} A=\frac{1}{\varepsilon_{0}} A d \rho \\
\boldsymbol{E}_{0}=\frac{\rho d}{2 \varepsilon_{0}} \frac{\boldsymbol{r}}{r}
\end{gathered}
$$
可见板外是均匀电场. | |
厚度都是 $a$ 的两块无限大平行平板,板内都均匀地分布着电荷,电荷量密度分别为 $\rho$ 和一 $\rho$ ,两板间距离为 $b$ ,如图1.3.30(1)所示。(1)试求两板内外各处的电场强度 $\boldsymbol{E}$ 。(2)如果两板有一部分重叠,重叠部分的厚度为 $b$ ,如图1.3.30 (2)所示,结果如何? | 【解】(1)一个无限大平板均匀带电所产生的电场强度为[参见前面1.3.29题的式(1)和式(2)]

图1.3.30(1)

图1.3.30(2)
板内:
$$
\boldsymbol{E}_{i}=\frac{\rho}{\boldsymbol{\varepsilon}_{0}} \boldsymbol{r}
$$
板外:
$$
\boldsymbol{E}_{0}=\frac{\rho d}{2 \varepsilon_{0}} \frac{\boldsymbol{r}}{r}
$$
式中 $\rho$ 是电荷量密度,$d$ 是板厚, $\boldsymbol{r}$ 是从板的中心平面到场点的位矢。
利用上述两式和电场强度叠加原理求各处的电场强度.把两板内外分成 I 至 V 五个区域,如图1.3.30(3)所示,其中 $P_{+}$和 $P_{-}$分别是正负电荷板的中心平面,$e$ 是垂直于板面的单位矢量,从正电荷指向负电荷.各区的电场强度如下:
$$
\mathrm{I}: \boldsymbol{E}_{\mathrm{I}}=\boldsymbol{E}_{+}+\boldsymbol{E}_{-}=\frac{\rho a}{2 \varepsilon_{0}}(-\boldsymbol{e})+\frac{-\rho a}{2 \varepsilon_{0}}(-\boldsymbol{e})=0
$$
II :$P_{+}$左边,到 $P_{+}$为 $r$ 处 $(0 \leqslant r \leqslant a / 2)$ :

图1.3.30(3)
$$
\boldsymbol{E}_{\text {П左 }}=\boldsymbol{E}_{+}+\boldsymbol{E}_{-}=\frac{\rho}{\boldsymbol{\varepsilon}_{0}} r(-\boldsymbol{e})+\frac{-\rho a}{2 \boldsymbol{\varepsilon}_{0}}(-\boldsymbol{e})=\frac{\rho}{\boldsymbol{\varepsilon}_{0}}\left(\frac{a}{2}-r\right) \boldsymbol{e}
$$
$P_{+}$右边,到 $P_{+}$为 $r$ 处 $(0 \leqslant r \leqslant a / 2)$ :
$$
\begin{aligned}
& \boldsymbol{E}_{\text {II右 }}=\boldsymbol{E}_{+}+\boldsymbol{E}_{-}=\frac{\rho}{\varepsilon_{0}} r \boldsymbol{e}+\frac{-\rho a}{2 \varepsilon_{0}}(-\boldsymbol{e})=\frac{\rho}{\varepsilon_{0}}\left(\frac{a}{2}+r\right) \boldsymbol{e} \\
& \text { III }: \boldsymbol{E}_{\text {II }}=\frac{\rho a}{2 \varepsilon_{0}} \boldsymbol{e}+\frac{-\rho a}{2 \varepsilon_{0}}(-\boldsymbol{e})=\frac{\rho a}{\varepsilon_{0}} \boldsymbol{e}
\end{aligned}
$$
IV:$P$-左边,到 $P_{-}$为 $r$ 处 $(0 \leqslant r \leqslant a / 2)$ :
$$
\boldsymbol{E}_{\mathrm{IV} \text { 左 }}=\frac{\rho a}{2 \varepsilon_{0}} \boldsymbol{e}+\frac{-\rho}{\varepsilon_{0}} r(-\boldsymbol{e})=\frac{\rho}{\varepsilon_{0}}\left(\frac{a}{2}+r\right) \boldsymbol{e}
$$
$P_{-}$右边,到 $P_{-}$为 $r$ 处 $(0 \leqslant r \leqslant a / 2)$ :
$$
\begin{aligned}
& \boldsymbol{E}_{\mathrm{IV} \text { 右 }}=\frac{\rho a}{2 \varepsilon_{0}} \boldsymbol{e}+\frac{-\rho}{\varepsilon_{0}} r \boldsymbol{e}=\frac{\rho}{\varepsilon_{0}}\left(\frac{a}{2}-r\right) \boldsymbol{e} \\
\mathrm{V} & : \boldsymbol{E}_{\mathrm{V}}=\frac{\rho a}{2 \varepsilon_{0}} \boldsymbol{e}+\frac{-\rho a}{2 \varepsilon_{0}} \boldsymbol{e}=0
\end{aligned}
$$
如果以两板间的中点 $O$ 为原点,取横坐标 $x$ 垂直于板面,以 $\boldsymbol{E}$ 的大小 $E$ 为纵坐标,则根据式(3)至(9)画出的 $E-x$ 曲线如图1.3.30(4)所示。

图1.3.30(4)
(2)如果两板有一部分重叠,重叠部分的厚度为 $b$ ,则重叠部分正负电荷互相抵消,便等于厚度都是 $a-b$ 的正负电荷板,相距为 $b$ 的情况。因此,只须将式(4)至(8)中的 $a$ 都换成 $a-b$ ,便得到所求的电场强度. | |
试用你自己的语言分别给(1)重力势能,(2)弹性势能(3)静电势能下定义。你能否从此得出一个统一的势能定义,使它对上述三种情况都适用? | 【解答】(1)重力势能:物体在某处的重力势能等于它由该处移到重力势能为零处(如地面)重力(地球作用于它的万有引力)所做的功.
(2)弹性势能:物体在某处的弹性势能等于它由该处移到弹性势能为零处(如弹性力为零处)弹性力所做的功.
(3)静电势能:电荷在某处的静电势能等于它由该处移到静电势能为零处(如无穷远处)静电力所做的功.
统一的势能定义:物体(或带电体)在某处的势能等于它由该处移到势能为零处保守力(如重力、弹性力、静电力等)所做的功. | |
在理论上,通常都把无穷远处的电势当作零;在实用上,通常都把地球的电势当作零。实验指出,如果把无穷远处的电势当作零,则地球的电势约为 $-8.2 \times 10^{8} \mathrm{~V}$ 。理论与实验不一致,你认为这矛盾如何解决? | 【解答】某处电势为零,是人为规定的,不是自然规律。在具体问题中,为处理问题方便,可以根据情况,规定某处电势为零。但一经规定后,各处的电势便随之而定。在不同的问题里,可以规定不同的地方为电势零点。但在同一问题里,规定某个地方的电势为零,就不能再规定别的地方电势为零了。所以在处理理论问题时取无穷远处为电势零点,与在处理实用问题(如无线电电路问题或电工问题)时取地球为电势零点,并无矛盾。
从物理意义上讲,起作用的是电势差,而不是电势。某一点电势的值与规定何处为电势零点有关,但两点电势差的值则与规定何处电势为零无关。所以在处理一个问题时,人为地规定某个地方电势为零,并不影响物理实质。 | |
试回答下列问题:(1)电势高的地方电场强度是否大?电场强度大的地方电势是否高?(2)电场强度为零的地方,电势是否为零?电势为零的地方,电场强度是否为零?(3)电场强度大小相等的地方,电势是否相等?等势面上的电场强度是否相等?(4)电势为零的物体是否不带电?带正电的物体其电势是否是正的? | 【解答】(1)不一定.不一定.(2)不一定.不一定.(3)不一定相等.不一定相等.(4)不一定.不一定。
在同一点,电势 $U$ 与电场强度 $\boldsymbol{E}$ 之间没有直接关系,它们之间的关系是空间导数之间的关系,即
$$
E=-\nabla U
$$
因此,$U$ 高的地方 $\boldsymbol{E}$ 不一定大, $\boldsymbol{E}$ 大的地方 $U$ 不一定高; $\boldsymbol{E}=0$ 的地方 $U$ 不一定为零,$U=0$ 的地方 $\boldsymbol{E}$ 不一定为零; $\boldsymbol{E}$ 相等的地方 $U$ 不一定相等,等势面上 $\boldsymbol{E}$ 不一定相等。
一个物体的电势不仅与它所带的电荷有关,也与周围物体所带的电荷有关,而且还与人为规定的电势零点有关。因此,不能由物体的电势确定它是否带电,也不能由它所带的电荷来确定它的电势. | |
有人说:"在静电情况下,空间某一点的电势 $U$ 已定,该点电场强度 $\boldsymbol{E}$的大小 $E$ 可以是任何值,方向可以是任何方向;反过来,该点的 $\boldsymbol{E}$ 已定,该点的电势可以是任何值。因此,空间同一点的 $\boldsymbol{E}$ 和 $U$ 没有直接关系。"你认为这种说法怎样? | 【解答】 这种说法是对的.空间同一点的 $U$ 和 $\boldsymbol{E}$ 的关系是空间导数之间的关系,即 $\boldsymbol{E}= -\nabla U$ 的关系,它们本身没有直接关系。 | |
一个点电荷,电荷量为 $q$ ,在离它 10 cm 处产生的电势为 100 V ,试求 $q$的值. | 【解】由点电荷产生的电势
$$
U=\frac{q}{4 \pi \varepsilon_{0} r}
$$
得
$$
q=4 \pi \varepsilon_{0} r U=\frac{1}{9.0 \times 10^{9}} \times 10 \times 10^{-2} \times 100=1.1 \times 10^{-9}(\mathrm{C})
$$ | |
质子的电荷量为 $1.60 \times 10^{-19} \mathrm{C}$ ,质量为 $1.67 \times 10^{-27} \mathrm{~kg}$ ,金的原子核含有 79 个质子,把它当做一个均匀带电的圆球,半径为 $6.9 \times 10^{-15} \mathrm{~m}$ 。假定金原子核固定。(1)一个质子以 $1.2 \times 10^{7} \mathrm{~m} / \mathrm{s}$ 的初速从很远处直射向金原子核,试求它能达到金原子核的最近距离。(2)$\alpha$ 粒子的质量为 $6.7 \times 10^{-27} \mathrm{~kg}$ ,电荷量是质子的两倍,它以 $1.6 \times 10^{7} \mathrm{~m} / \mathrm{s}$ 的初速从很远处直射向金原子核,试求它能达到金原子核的最近距离.
$$
M V+m v=m v_{0}
$$
当达到最近距离 $r_{\text {min }}$ 时
$$
V=v
$$
由以上两式得这时
$$
V=v=\frac{m}{M+m} v_{0}
$$
又由能量守恒定律得
$$
\frac{1}{2} M V^{2}+\frac{1}{2} m v^{2}+\frac{79 e(Z e)}{4 \pi \varepsilon_{0} r_{\min }}=\frac{1}{2} m v_{0}^{2}
$$
将式(7)代入式(8)解得
$$
r_{\min }=\frac{2 \times 79 Z e^{2}}{4 \pi \varepsilon_{0} m v_{0}^{2}}\left(1+\frac{m}{M}\right)
$$ | 【解】设人射粒子的质量为 $m$ ,电荷量为 $Z e$ ,初速度为 $v_{0}$ ,能达到金原子核的最近距离为 $r_{\text {min }}$ ,则由能量守恒定律得
所以
$$
\begin{gathered}
\frac{1}{2} m v_{0}^{2}=\frac{79 e(Z e)}{4 \pi \varepsilon_{0} r_{\min }} \\
r_{\min }=\frac{2 \times 79 Z e^{2}}{4 \pi \varepsilon_{0} m v_{0}^{2}}
\end{gathered}
$$
(1)对于质子
$$
\begin{aligned}
r_{\min } & =\frac{2 \times 79 \times 1 \times\left(1.60 \times 10^{-19}\right)^{2}}{4 \pi \times 8.854 \times 10^{-12} \times 1.67 \times 10^{-27} \times\left(1.2 \times 10^{7}\right)^{2}} \\
& =1.5 \times 10^{-13}(\mathrm{~m})
\end{aligned}
$$
(2)对于 $\alpha$ 粒子
$$
\begin{aligned}
r_{\min } & =\frac{2 \times 79 \times 2 \times\left(1.60 \times 10^{-19}\right)^{2}}{4 \pi \times 8.854 \times 10^{-12} \times 6.7 \times 10^{-27} \times\left(1.6 \times 10^{7}\right)^{2}} \\
& =4.2 \times 10^{-14}(\mathrm{~m})
\end{aligned}
$$ | |
一电子质量为 $m$ ,电荷量为一 $e$ ,以初速 $v_{0}$ 自很远处直射向一个固定的质子,质子的电荷量为 $e$ 。(1)试求电子的速度 $v$ 与它们之间距离 $r$ 的关系; (2)已知 $m=9.11 \times 10^{-31} \mathrm{~kg}, e=1.60 \times 10^{-19} \mathrm{C}, v_{0}=3.24 \times 10^{5} \mathrm{~m} / \mathrm{s}$ ,试计算 $v=2 v_{0}$时 $r$ 的值. | 【解】(1)由能量守恒定律得
$$
\frac{1}{2} m v^{2}+\frac{(-e) e}{4 \pi \varepsilon_{0} r}=\frac{1}{2} m v_{0}^{2}
$$
解得
$$
v=\sqrt{\frac{e^{2}}{2 \pi \varepsilon_{0} m r}+v_{0}^{2}}
$$
(2)当 $v=2 v_{0}$ 时,由式(2)得
$$
\begin{aligned}
r & =\frac{e^{2}}{6 \pi \varepsilon_{0} m v_{0}^{2}} \\
& =\frac{\left(1.60 \times 10^{-19}\right)^{2}}{6 \pi \times 8.854 \times 10^{-12} \times 9.11 \times 10^{-31} \times\left(3.24 \times 10^{5}\right)^{2}} \\
& =1.60 \times 10^{-9}(\mathrm{~m})
\end{aligned}
$$ | |
已知电子的静质量为 $m_{0}=9.11 \times 10^{-31} \mathrm{~kg}$ ,电荷量为 $q=-1.60 \times 10^{-19} \mathrm{C}$ .(1)设电子的质量不随速度变化,要把静止的电子加速到真空中光速 $c= 2.9979 \times 10^{8} \mathrm{~m} / \mathrm{s}$ ,试问它要经过多高的电压?(2)对于高速运动的物体来说,上面的算法不对。因为根据狭义相对论,物体的质量 $m$ 与它的速度 $v$ 有关,关系为 $m=\frac{m_{0}}{\sqrt{1-v^{2} / c^{2}}}$ ,物体的动能不是 $\frac{1}{2} m v^{2}$ ,而是
$$
T=\left(m-m_{0}\right) c^{2}=m_{0} c^{2}\left(\frac{1}{\sqrt{1-v^{2} / c^{2}}}-1\right)
$$
按照这个公式,静止的电子经过上述电压加速后,速度是多少?是光速 $c$ 的百分之几?(3)按照狭义相对论,要把带电粒子(静质量为 $m_{0}$ ,电荷量为 $q$ )从静止加速到光速 $c$ ,需要经过多高的电压? | 【解】(1)根据能量守恒定律有
$$
\frac{1}{2} m_{0} v^{2}+q U=\frac{1}{2} m_{0} v_{0}^{2}+q U_{0}
$$
今 $v_{0}=0, v=c$ ,故得所需电压为
$$
\begin{aligned}
U-U_{0} & =-\frac{m_{0} v^{2}}{2 q} \\
& =-\frac{9.11 \times 10^{-31} \times\left(2.9979 \times 10^{8}\right)^{2}}{2 \times\left(-1.60 \times 10^{-19}\right)}=2.56 \times 10^{5}(\mathrm{~V})
\end{aligned}
$$
(2)这时根据能量守恒定律有
$$
m_{0} c^{2}\left(\frac{1}{\sqrt{1-v^{2} / c^{2}}}-1\right)+q U=q U_{0}
$$
其中 $U-U_{0}$ 由式(2)为
$$
U-U_{0}=-\frac{m_{0} c^{2}}{2 q}
$$
将式(4)代入式(3)得
所以
$$
\sqrt{1-\frac{v^{2}}{c^{2}}}=\frac{2}{3}
$$
$$
\frac{v}{2}=\frac{\sqrt{5}}{3}=0.745=74.5 \%
$$
$$
v=0.745 \times 2.9979 \times 10^{8}=2.23 \times 10^{8}(\mathrm{~m} / \mathrm{s})
$$
(3)根据式(3),所需电压为
$$
U_{0}-U=\frac{m_{0} c^{2}}{q}\left(\frac{1}{\sqrt{1-v^{2} / c^{2}}}-1\right)
$$
当 $v \rightarrow c$ 时,由上式得出所需电压为无穷大.因此,根据狭义相对论,不可能把带电粒子加速到光速 $c$ 。 | |
一电子二极管由半径为 $a=5.0 \times 10^{-4} \mathrm{~m}$ 的圆柱形阴极 $K$ ,和套在 $K$外面的同轴圆筒形阳极 $A$ 构成,$A$ 的半径为 $b=4.5 \times 10^{-3} \mathrm{~m} . A$ 的电势比 $K$ 高 300 V 。电子从 $K$ 出来时速度很小,可略去不计。已知电子质量为 $9.1 \times 10^{-31} \mathrm{~kg}$ ,电荷量为 $-1.6 \times 10^{-19} \mathrm{C}$ 。试求:(1)电子从 $K$ 向 $A$ 走过 2.0 mm 时的速度值;(2)电子到达 $A$ 时的速度值。 | 【解】设离阴极 $K$ 的轴线为 $r$ 处的电势为 $U$ ,则
$$
\begin{aligned}
U-U_{K} & =\int_{r}^{a} \boldsymbol{E} \cdot \mathrm{~d} \boldsymbol{r} \\
& =\int_{r}^{a} \frac{\lambda \mathrm{~d} r}{2 \pi \varepsilon_{0} r}=\frac{\lambda}{2 \pi \varepsilon_{0}} \ln \frac{a}{r}
\end{aligned}
$$
式中 $\lambda$ 是阴极 $K$ 上沿轴线上单位长度的电荷量.由式(1)得阳极 $A$ 与阴极 $K$ 的电势差为
$$
U_{A}-U_{K}=\frac{\lambda}{2 \pi \varepsilon_{0}} \ln \frac{a}{b}
$$
将式(2)代人式(1)消去未知的 $\lambda$ 便得
$$
U-U_{K}=\left(U_{A}-U_{K}\right) \frac{\ln (a / r)}{\ln (a / b)}
$$
设电子的质量为 $m$ ,电荷量为 $-e$ ,离 $K$ 的轴线为 $r$ 时速度为 $v$ ,则由能量守恒定律得
所以
$$
\begin{aligned}
\frac{1}{2} m v^{2}+(-e) U & =\frac{1}{2} m v_{0}^{2}+(-e) U_{K}=-e U_{K} \\
v & =\sqrt{\frac{2 e\left(U-U_{K}\right)}{m}} \\
& =\sqrt{\frac{2 e\left(U_{A}-U_{K}\right)}{m} \frac{\ln (a / r)}{\ln (a / b)}}
\end{aligned}
$$
(1)当 $r=2.0 \mathrm{~mm}$ 时
$$
\begin{aligned}
v & =\sqrt{\frac{2 \times 1.6 \times 10^{-19} \times 300}{9.1 \times 10^{-31}} \times \frac{\ln \left(5.0 \times 10^{-4} / 2.0 \times 10^{-3}\right)}{\ln \left(5.0 \times 10^{-4} / 4.5 \times 10^{-3}\right)}} \\
& =8.2 \times 10^{6}(\mathrm{~m} / \mathrm{s})
\end{aligned}
$$
(2)当 $r=b=4.5 \times 10^{-3} \mathrm{~m}$ 时
$$
\begin{aligned}
v & =\sqrt{\frac{2 e\left(U_{A}-U_{K}\right)}{m}}=\sqrt{\frac{2 \times 1.6 \times 10^{-19} \times 300}{9.1 \times 10^{-31}}} \\
& =1.0 \times 10^{7}(\mathrm{~m} / \mathrm{s})
\end{aligned}
$$ | |
一示波管如图1.4.11所示,电子以 $v_{0}=2.4 \times 10^{7} \mathrm{~m} / \mathrm{s}$ 的速度沿水平方向射入偏转电极间的均匀电场,在这电场力的作用下向下偏转,最后射到荧光屏上的 $P$ 点。已知偏转电极两金属板相距为 $b=1.0 \mathrm{~cm}$ ,长为 $l=4.0 \mathrm{~cm}$ ,偏转电极到荧光屏的距为 $L=$ 18 cm ;偏转电极两板间电压为 160 V ;电子质量为 $9.1 \times 10^{-31} \mathrm{~kg}$ ,电荷量为 $-e=-1.6 \times$

图1.4.11
$10^{-19} \mathrm{C}$ 。试求电子(1)在偏转电极间所受的力和产生的加速度;(2)射出偏转电极时速度在水平方向和坚直方向上的分量;(3)在荧光屏上的偏转距离。 | 【解】(1)电子在偏转电极间所受的力 $F$ 和产生的加速度 $a$ 分别为
$$
\begin{aligned}
F & =-e E=-e \frac{U}{b}=-1.6 \times 10^{-19} \times \frac{160}{1.0 \times 10^{-2}} \\
& =-2.6 \times 10^{-15}(\mathrm{~N}) \\
a & =\frac{F}{m}=-\frac{e U}{m b}=-\frac{1.6 \times 10^{-19} \times 160}{9.1 \times 10^{-31} \times 1.0 \times 10^{-2}} \\
& =-2.8 \times 10^{15}\left(\mathrm{~m} / \mathrm{s}^{2}\right)
\end{aligned}
$$
两式中的负号都表示方向向下。
(2)电子的速度在水平方向和坚直方向上的分量分别为
$$
\begin{aligned}
v_{\|} & =v_{0}=2.4 \times 10^{7} \mathrm{~m} / \mathrm{s} \\
v_{\perp} & =a t=-\frac{e U}{m b} \frac{l}{v_{0}} \\
& =-\frac{1.6 \times 10^{-19} \times 160 \times 4.0 \times 10^{-2}}{9.1 \times 10^{-31} \times 1.0 \times 10^{-2} \times 2.4 \times 10^{7}} \\
& =-4.7 \times 10^{6}(\mathrm{~m} / \mathrm{s})
\end{aligned}
$$
式中负号表示方向向下。
(3)荧光屏上的偏转距离为
$$
\begin{aligned}
y & =y_{1}+y_{2}=\frac{1}{2} a t_{1}^{2}+v_{\perp} t_{2} \\
& =-\frac{1}{2} \frac{e U}{m b}\left(\frac{l}{v_{0}}\right)^{2}-\frac{e U l}{m b v_{0}} \frac{L}{v_{0}}=-\frac{e U l}{m b v_{0}^{2}}\left(\frac{l}{2}+L\right) \\
& =-\frac{1.6 \times 10^{-19} \times 160 \times 4.0 \times 10^{-2}}{9.1 \times 10^{-31} \times 1.0 \times 10^{-2} \times\left(2.4 \times 10^{7}\right)^{2}} \times\left(\frac{4.0 \times 10^{-2}}{2}+18 \times 10^{-2}\right) \\
& =-3.9 \times 10^{-2}(\mathrm{~m})
\end{aligned}
$$
式中负号表示向下偏转。 | |
一示波管中电子以速度 $\boldsymbol{v}_{0}$ 进入偏转极, $\boldsymbol{v}_{0}$ 与偏转极中的电场强度

图1.4.12
垂直;已知电子质量为 $m$ ,电荷量的大小为 $e$ ,偏转极两板间的电压为 $U$ ,两板相距为 $d$ ,长都是 $l$ ,板中心到荧光屏的距离为 $L$ ,如图1.4.12所示。试求电子的偏转距离 $y=y_{1}+y_{2}$ 。 | 【解】由图1.4.12可见,电子的偏转距离为
$$
\begin{aligned}
y & =y_{1}+y_{2}=\frac{1}{2} a t_{1}^{2}+v_{y} t_{2} \\
& =\frac{1}{2} \frac{e U}{m d}\left(\frac{l}{v_{0}}\right)^{2}+\frac{e U}{m d} \frac{l}{v_{0}} \frac{L-l / 2}{v_{0}} \\
& =\frac{e U l L}{m v_{0}^{2} d}
\end{aligned}
$$ | |
半径为 $R$ 的光滑绝缘圆环,固定在光滑绝缘的水平桌面上;空间有水平方向的均匀电场,电场强度为 $\boldsymbol{E}$ ,如图1.4.13(1)所示,图中纸面代表水平面。在圆环内侧有一质量为 $m$ 、带有电荷量 $q$ 的质点,它从 $P_{1}$ 位置以初速 $\boldsymbol{v}_{0}\left(\boldsymbol{v}_{0} \perp \boldsymbol{E}\right)$出发,贴着圆环内侧作圆周运动。为了使这质点经过图中 $P_{2}$ 位置( $P_{2}$ 与 $P_{1}$ 在同一直经的两端)继续贴着圆环运动,试求 $v_{0}$ 的取值范围。 | 【解】 如图1.4.13(1),设 $P_{1}$ 和 $P_{2}$ 处的电势分别为 $U_{1}$ 和 $U_{2}$ ,质点在 $P_{2}$ 处的速度为 $\boldsymbol{v}$ ,则由能量守恒定律得
$$
\frac{1}{2} m v^{2}+q U_{2}=\frac{1}{2} m v_{0}^{2}+q U_{1}
$$
因电场为均匀电场,故
$$
U_{2}-U_{1}=2 R E
$$
质点的运动方程为

图1.4.13(1)
$$
m \frac{v^{2}}{R}=N+q E
$$
式中 $N$ 是圆环作用在 $m$ 上的力,如图1.4.13(2)所示.$m$ 贴着圆环运动的条件为
$$
N \geqslant 0
$$
由式(2)、(3)、(4)得
$$
m v^{2} \geqslant R q E
$$
由式(1)、(2)得
$$
m v^{2}=m v_{0}^{2}-4 R q E
$$
由式(5)、(6)解得
$$
v_{0} \geqslant \sqrt{\frac{5 R q E}{m}}
$$
图1.4.13(2) | |
一长为 $l$ 的丝线一端固定在 $O$ 点,另一端系有质量为 $m$ 、电荷量为 $q(<0)$ 的小球,开始时,丝线处于水平的伸直状态;空间有电场强度为 $\boldsymbol{E}$ 的均匀电场, $\boldsymbol{E}$ 沿水平方向,如图1.4.14(1)所示.然后将小球自静止释放,让它在重力和电场力的作用下摆动。设丝线的质量和空气的阻力均可略去不计, $\boldsymbol{E}$ 的大小为 $E= m g /|q|$ 。(1)试求 $m$ 第一次到达最低点所需的时间 $t$ ;(2)设 $m$ 经过最低点后,丝线一直处于伸直状态,试求它达到左边水平位置时速度的大小 $v$ 。

图1.4.14(1)

图1.4.14(2) | 【解】(1)因 $q<0$ ,故静电力 $\boldsymbol{F}_{e}=q \boldsymbol{E}$ 与 $\boldsymbol{E}$ 的方向相反,如图1.4.14(2)所示.因此,小球 $m$被释放后,丝线便没有受到张力,即丝线中的张力 $T=0$ .小球受电场力的大小为
$$
F_{e}=q E=q \frac{m g}{q}=m g
$$
小球所受合力 $\boldsymbol{F}$ 的大小为
$$
F=\sqrt{F_{e}^{2}+(m g)^{2}}=\sqrt{2} m g
$$
$\boldsymbol{F}$ 的方向向左下方 $45^{\circ}$ 方向,如图1.4.14(2)所示.在小球到达最低点以前, $\boldsymbol{F}$ 的大小和方向都不变,故小球便沿直线作匀加速运动,直向最低点.加速度的大小为
$$
a=F / m=\sqrt{2} g
$$
因丝线长为 $l$ ,故得所求的时间为
$$
t=\sqrt{\frac{2 s}{a}}=\sqrt{\frac{2 \sqrt{2} l}{\sqrt{2} g}}=\sqrt{\frac{2 l}{g}}
$$
(2)小球达到最低点时,速度的大小为
$$
v_{0}=a t=\sqrt{2} g \sqrt{\frac{2 l}{g}}=2 \sqrt{l g}
$$
小球到达最低点,丝线即被拉直.此后,它便以
$$
v_{i}=v_{0} \cos 45^{\circ}=2 \sqrt{l g} \cdot \frac{1}{\sqrt{2}}=\sqrt{2 l g}
$$
的初速度向左摆动.设摆到左边水平位置时,$m$ 的速度大小为 $v$ ,则由能量守恒定律得
所以
$$
\begin{aligned}
\frac{1}{2} m v^{2}-\frac{1}{2} m v_{i}^{2} & =|q| E l-m g l \\
& =m g l-m g l=0 \\
v=v_{i}= & \sqrt{2 l g}
\end{aligned}
$$ | |
氢原子由一个质子(即氢原子核)和一个电子组成,根据经典模型,氢原子在基态时,电子环绕质子作匀速圆周运动,轨道的半径为 $a=5.29 \times 10^{-11} \mathrm{~m}$ .已知电子和质子的电荷量的大小都是 $e=1.60 \times 10^{-19} \mathrm{C}$ 。把基态氢原子的电子和质子分开到相距无穷远所需的最小能量叫做氢原子的电离能量,试求这个能量的值. 1 mol 氢原子(即 $6.02 \times 10^{23}$ 个氢原子)的电离能量是多少? | 【解】设电子的质量为 $m$ ,速度为 $v$ ,则氢原子基态的能量为
$$
\begin{aligned}
W & =\frac{1}{2} m v^{2}+\frac{(-e) e}{4 \pi \varepsilon_{0} a} \\
& =\frac{1}{2} m v^{2}-\frac{e^{2}}{4 \pi \varepsilon_{0} a}
\end{aligned}
$$
电子的运动方程为
$$
m \frac{v^{2}}{a}=\frac{e^{2}}{4 \pi \varepsilon_{0} a^{2}}
$$
将式(2)代人式(1)消去 $m v^{2}$ ,便得
$$
W=\frac{e^{2}}{8 \pi \varepsilon_{0} a}-\frac{e^{2}}{4 \pi \varepsilon_{0} a}=-\frac{e^{2}}{8 \pi \varepsilon_{0} a}
$$
代人数值便得
$$
\begin{aligned}
W & =-\frac{9.00 \times 10^{9} \times\left(1.60 \times 10^{-19}\right)^{2}}{2 \times 5.29 \times 10^{-11}} \\
& =-2.18 \times 10^{-18}(\mathrm{~J}) \\
& =-13.6(\mathrm{eV})
\end{aligned}
$$
负号是因为,我们以电子和质子相距无穷远时为电势能的零点。因此,要把基态氢原子的电子和质子分开到相距无穷远,需要外力做功,这功的最小值便等于氢原子的电离能量 $E$ .于是得
$$
E=-W=13.6 \mathrm{eV}
$$
一摩尔氢原子的电离能量为
$$
\begin{aligned}
E_{\mathrm{mol}} & =6.02 \times 10^{23} \times 13.6=8.19 \times 10^{24}(\mathrm{eV}) \\
& =1.31 \times 10^{6}(\mathrm{~J})
\end{aligned}
$$ | |
实验表明,轻原子核结合成为较重的原子核时(称为核聚变),能放出大量的能量。例如,四个氢原子核(质子)结合成一个氦原子核( $\alpha$ 粒子)时,可放出 28 MeV 的能量.这种核聚变就是太阳发光发热的能量来源.近五十年来,人们一直在研究如何在地球上实现受控的核聚变,以便解决人类的能源问题。实现核聚变的困难在于原子核都带正电,互相排斥,在一般情况下不能互相靠近而发生结合。只有在温度非常高时,原子核热运动的速度非常快,才能冲破斥力而碰到一起,发生结合(称为热核聚变)。根据统计物理学,温度为 $T$ 时,粒子的平均平动能为 $\frac{1}{2} m \overline{v^{2}}= \frac{3}{2} k T$ ,式中 $k=1.38 \times 10^{-23} \mathrm{~J} / \mathrm{K}$ ,称为玻耳兹曼常量.已知质子的电荷量为 $e=$ 1. $60 \times 10^{-19} \mathrm{C}$ ,半径约为 $r=1 \times 10^{-15} \mathrm{~m}$ .试计算两个质子因热运动而达到互相接触时所需的最低温度. | 【解】如图 1.4.16,设两个质子迎头相碰,故碰撞时两者中心相距为 $2 r$ ,这时
$$
2 \times \frac{1}{2} m \overline{v^{2}}=2 \times \frac{3}{2} k T=\frac{e^{2}}{4 \pi \varepsilon_{0} \times 2 r}
$$

故得所求的温度为
$$
\begin{aligned}
T & =\frac{e^{2}}{3 k \times 4 \pi \varepsilon_{0} \times 2 r} \\
& =\frac{9.0 \times 10^{9} \times\left(1.6 \times 10^{-19}\right)^{2}}{3 \times 1.38 \times 10^{-23} \times 2 \times 1 \times 10^{-15}} \\
& =3 \times 10^{9}(\mathrm{~K})
\end{aligned}
$$

图1.4.16 | |
当空气中的电场强度达到 $2 \times 10^{6} \mathrm{~V} / \mathrm{m}$ 时,空气便会被击穿而发生火花放电.测得某次雷电的火花长 100 m ,试求这次闪电时两端的电势差. | 【解】 这次闪电两端的电势差为
$$
U=2 \times 10^{6} \times 100=2 \times 10^{8}(\mathrm{~V})
$$ | |
在夏季雷雨时,通常一次闪电里两端的电势差约为十亿伏特,通过的电量约为 30 C .试问一次闪电消耗的能量是多少?如果这些能量用来烧水,试问能把多少水从 $0^{\circ} \mathrm{C}$ 加热到 $100^{\circ} \mathrm{C}$ ? | 【解】 $1 \mathrm{eV}=1.602 \times 10^{-19} \times 1 \mathrm{~J}=1.602 \times 10^{-19} \mathrm{~J}$
$$
\begin{aligned}
& 1 \mathrm{MeV}=10^{6} \mathrm{eV}=1.602 \times 10^{-13} \mathrm{~J} \\
& 1 \mathrm{GeV}=10^{9} \mathrm{eV}=1.602 \times 10^{-10} \mathrm{~J}
\end{aligned}
$$
40 W 电灯一小时用的电能为
$$
W=\frac{40 \times 60 \times 60}{1.602 \times 10^{-19}}=9.0 \times 10^{23}(\mathrm{eV})
$$ | |
由统计物理学得出,当热力学温度为 $T$ 时,微观粒子热运动能量的数量级为 $k T$ ,其中 $k=1.38 \times 10^{-23} \mathrm{~J} / \mathrm{K}$ 是玻耳兹曼常量。因此,可以用能量表示温度。当 $k T$ 的值为多少 eV 时,就说它的温度 $T$ 等于多少 eV 。试问:(1)$T=1 \mathrm{eV}$ 时是多少 K ?(2)$T=50 \mathrm{keV}$ 时是多少 K ?(3)室温( $T=300 \mathrm{~K}$ )时 $T$ 是多少 eV ? (4)太阳表面温度约 $6000 \mathrm{~K}, T$ 是多少 eV ?(5)热核反应时温度高达 $10^{8} \mathrm{~K}, T$ 是多少 eV ? | 【解】(1)$T_{1 \mathrm{eV}}=\frac{1 \mathrm{eV}}{k}=\frac{1.60 \times 10^{-19}}{1.38 \times 10^{-23}}=1.16 \times 10^{4}(\mathrm{~K})$
(2)$T_{50 \mathrm{keV}}=\frac{50 \times 10^{3} \times 1.60 \times 10^{-19}}{1.38 \times 10^{-23}}=5.8 \times 10^{8}(\mathrm{~K})$
(3)$T_{300 \mathrm{~K}}=\frac{300 \mathrm{~K}}{1.16 \times 10^{4} \mathrm{~K} / \mathrm{eV}}=2.6 \times 10^{-2} \mathrm{eV}$
(4)$T_{6000 \mathrm{~K}}=\frac{6000 \mathrm{~K}}{1.16 \times 10^{4} \mathrm{~K} / \mathrm{eV}}=0.52 \mathrm{eV}$
(5)$T_{10^{8} \mathrm{~K}}=\frac{10^{8} \mathrm{~K}}{1.16 \times 10^{4} \mathrm{~K} / \mathrm{eV}}=8.6 \times 10^{3} \mathrm{eV}=8.6 \mathrm{keV}$ | |
图1.4.21的(1)、(2)、(3)中两点电荷的电荷量都已标明是 $Q$ 或 $-Q$ ,它们相距都是 $l, P$ 都是连线的中点。试分别求三种情况下 $P$ 点的电场强度 $\boldsymbol{E}$和电势 $U$ 。 | 【解】(1)令 $\boldsymbol{e}$ 代表从左边电荷指向右边电荷的单位矢量,则 $P$ 点的 $\boldsymbol{E}$ 和 $U$ 分别为

图1.4.21
$$
\begin{aligned}
\boldsymbol{E} & =\frac{Q}{4 \pi \varepsilon_{0}(l / 2)^{2}} \boldsymbol{e}+\frac{Q}{4 \pi \varepsilon_{0}(l / 2)^{2}}(-\boldsymbol{e})=0 \\
U & =\frac{Q}{4 \pi \varepsilon_{0} l / 2}+\frac{Q}{4 \pi \varepsilon_{0} l / 2}=\frac{Q}{\pi \varepsilon_{0} l}
\end{aligned}
$$
(2) $\boldsymbol{E}=\frac{Q}{4 \pi \varepsilon_{0}(l / 2)^{2}} \boldsymbol{e}+\frac{-Q}{4 \pi \varepsilon_{0}(l / 2)^{2}}(-\boldsymbol{e})=\frac{2 Q}{\pi \varepsilon_{0} l^{2}} \boldsymbol{e}$
$$
U=\frac{Q}{4 \pi \varepsilon_{0} l / 2}+\frac{-Q}{4 \pi \varepsilon_{0} l / 2}=0
$$
(3) $\boldsymbol{E}=\frac{-Q}{4 \pi \varepsilon_{0}(l / 2)^{2}} \boldsymbol{e}+\frac{-Q}{4 \pi \varepsilon_{0}(l / 2)^{2}}(-\boldsymbol{e})=0$
$$
U=\frac{-Q}{4 \pi \varepsilon_{0} l / 2}+\frac{-Q}{4 \pi \varepsilon_{0} l / 2}=-\frac{Q}{\pi \varepsilon_{0} l}
$$ | |
在电荷量为 $Q$ 的点电荷所产生的电场中有 $A 、 B 、 C$ 三点,$A$ 点离 $Q$ 为 $r, B 、 C$ 两点离 $Q$ 均为 $2 r$ ,如图1.4.22所示。现将电荷量为 $q$ 的点电荷从 $A$ 移到 $B$ ,试求电场力做的功 $W_{A B}$ ;将 $q$ 从 $A$ 移到 $C$ ,试求电场力做的功 $W_{A C}$ 。若将 $q$ 从 $B$ 移到 $C$ ,电场力做的功是多少?

图1.4.22 | 【解】 电荷量 $q$ 在静电场中从 $A$ 点移动到 $B$ 点,电场力做的功 $W_{A B}$ 等于它的电势能降低的值,即
$$
W_{A B}=\int_{A}^{B} q \boldsymbol{E} \cdot \mathrm{~d} \boldsymbol{l}=q\left(U_{A}-U_{B}\right)=q U_{A}-q U_{B}
$$
根据上式得:$q$ 从 $A$ 到 $B$ ,电场力做的功为
$$
W_{A B}=q U_{A}-q U_{B}=\frac{q Q}{4 \pi \varepsilon_{0} r}-\frac{q Q}{4 \pi \varepsilon_{0}(2 r)}=\frac{q Q}{8 \pi \varepsilon_{0} r}
$$
$q$ 从 $A$ 到 $C$ ,电场力做的功为
$$
W_{A C}=q U_{A}-q U_{C}=\frac{q Q}{4 \pi \varepsilon_{0} r}-\frac{q Q}{4 \pi \varepsilon_{0}(2 r)}=\frac{q Q}{8 \pi \varepsilon_{0} r}
$$
$q$ 从 $B$ 到 $C$ ,电场力做的功为
$$
W_{B C}=q U_{B}-q U_{C}=\frac{q Q}{4 \pi \varepsilon_{0}(2 r)}-\frac{q Q}{4 \pi \varepsilon_{0}(2 r)}=0
$$ | |
图1.4.23中 $A 、 O 、 B 、 D$ 在一直线上,其间距离如图所示,$\overparen{O C D}$ 是半

图1.4.23

图1.4.23
径为 $l$ 的半圆;$A$ 点和 $B$ 点分别有电荷量为 $q$ 和 $-q$ 的点电荷。试求:(1)把单位正电荷量从 $O$ 点沿半圆弧 $O C D$ 移到 $D$ 点,电场力做的功;(2)把单位负电荷量从 $D$ 点沿 $A D$的延长线移到无穷远去,电场力做的功。 | 【解】 电荷量 $q$ 在静电场中移动时,电场力做的功等于它的电势能减少的值.(1)单位正电荷量从 $O$ 移到 $D$ ,电场力做的功为
$$
\begin{aligned}
W & =\int_{O}^{D} \boldsymbol{F} \cdot \mathrm{~d} \boldsymbol{l}=\int_{O}^{D} \boldsymbol{E} \cdot \mathrm{~d} \boldsymbol{l}=U_{O}-U_{D}=-U_{D} \\
& =-\left[\frac{q}{4 \pi \varepsilon_{0}(3 l)}+\frac{-q}{4 \pi \varepsilon_{0} l}\right]=\frac{q}{6 \pi \varepsilon_{0} l}
\end{aligned}
$$
(2)单位负电荷量从 $D$ 沿 $A D$ 的延长线移到无穷远去,电场力做的功为
$$
\begin{aligned}
W & =\int_{D}^{\infty} \boldsymbol{F} \cdot \mathrm{d} \boldsymbol{l}=-\int_{D}^{\infty} \boldsymbol{E} \cdot \mathrm{d} \boldsymbol{l}=-\left(U_{D}-U_{\infty}\right)=-U_{D} \\
& =-\left[\frac{q}{4 \pi \varepsilon_{0}(3 l)}+\frac{-q}{4 \pi \varepsilon_{0} l}\right]=\frac{q}{6 \pi \varepsilon_{0} l}
\end{aligned}
$$ | |
在边长为 $a$ 的正方形顶点,各有一个固定的点电荷,它们的电荷量分别为 $Q 、-Q 、 Q$ 和 $-Q$ ,如图1.4.24所示.现将电荷量为 $q$ 的点电荷从中心 $O$移到右边的中点 $P$ ,试求电场力对它做的功.如果四个点电荷的电荷量都是 $Q$ ,则 $q$ 从 $O$ 移到 $P$ ,电场力对它做的功又是多少? | 【解】 $q$ 从 $O$ 移到 $P$ ,电场力对它做的功为
$$
\begin{aligned}
W & =\int_{O}^{P} \boldsymbol{F} \cdot \mathrm{~d} \boldsymbol{l}=q \int_{O}^{P} \boldsymbol{E} \cdot \mathrm{~d} \boldsymbol{l} \\
& =q\left(U_{O}-U_{P}\right)=q U_{O}-q U_{P}
\end{aligned}
$$

图1.4.24
根据对称性和电势叠加原理,由图1.2.24很容易看出
$$
U_{O}=0, \quad U_{P}=0
$$
故得
$$
W=0
$$
如果四角的电荷量都是 $Q$ ,则
$$
U_{O}^{\prime}=4 \frac{Q}{4 \pi \varepsilon_{0} a / \sqrt{2}}=\frac{\sqrt{2} Q}{\pi \varepsilon_{0} a}
$$
$$
\begin{aligned}
U_{P}^{\prime} & =2 \frac{Q}{4 \pi \varepsilon_{0} \sqrt{a^{2}+(a / 2)^{2}}}+2 \frac{Q}{4 \pi \varepsilon_{0} a / 2} \\
& =\left(1+\frac{\sqrt{5}}{5}\right) \frac{Q}{\pi \varepsilon_{0} a}
\end{aligned}
$$
故 $q$ 从 $O$ 移到 $P$ ,电场力对它做的功为
$$
W^{\prime}=q\left(U_{O}^{\prime}-U_{P}^{\prime}\right)=\left(\sqrt{2}-1-\frac{\sqrt{5}}{5}\right) \frac{q Q}{\pi \varepsilon_{0} a}
$$ | |
电荷量分别为 $q$ 和 $-q$ 的两个点电荷,相距为 $l$ ,以它们连线的中点 $O$ 为原点,连线为极轴,取极坐标系,如图1.4.25(1)所示,试求 $q$ 和 $-q$ 在 $P(r, \theta)$点产生的电势。当 $r \gg l$ 时,结果如何?

图1.4.25(1)

图1.4.25(2) | 【解】 根据电势叠加原理,$P(r, \theta)$ 点的电势为
$$
\begin{aligned}
U & =\frac{q}{4 \pi \varepsilon_{0} r_{+}}+\frac{-q}{4 \pi \varepsilon_{0} r_{-}} \\
& =\frac{q}{4 \pi \varepsilon_{0}}\left[\frac{1}{r_{+}}-\frac{1}{r_{-}}\right]
\end{aligned}
$$
式中 $r_{+}$和 $r_{-}$如图1.4.25(2)所示,分别为
$$
\begin{aligned}
& r_{+}=\sqrt{r^{2}-r l \cos \theta+l^{2} / 4} \\
& r_{-}=\sqrt{r^{2}+r l \cos \theta+l^{2} / 4}
\end{aligned}
$$
代人式(1)便得所求的电势为
$$
U=\frac{q}{4 \pi \varepsilon_{0}}\left[\frac{1}{\sqrt{r^{2}-r l \cos \theta+l^{2} / 4}}-\frac{1}{\sqrt{r^{2}+r l \cos \theta+l^{2} / 4}}\right]
$$
当 $r \gg l$ 时,先将上式化为
$$
U=\frac{q}{4 \pi \varepsilon_{0} r}\left[\left(1+\frac{l^{2}}{4 r^{2}}-\frac{l}{r} \cos \theta\right)^{-1 / 2}-\left(1+\frac{l^{2}}{4 r^{2}}+\frac{l}{r} \cos \theta\right)^{-1 / 2}\right]
$$
再利用公式
$$
(1 \pm x)^{-1 / 2}=1 \mp \frac{1}{2} x+\frac{3}{8} x^{2} \mp \frac{5}{16} x^{3}+\cdots,\left(x^{2}<1\right)
$$
把式(5)的方括号内展开,略去高次项,便得
$$
\begin{aligned}
& \left(1+\frac{l^{2}}{4 r^{2}}-\frac{l}{r} \cos \theta\right)^{-1 / 2}-\left(1+\frac{l^{2}}{4 r^{2}}+\frac{l}{r} \cos \theta\right)^{-1 / 2} \\
\approx & \left(1-\frac{l^{2}}{8 r^{2}}+\frac{l}{2 r} \cos \theta\right)-\left(1-\frac{l^{2}}{8 r^{2}}-\frac{l}{2 r} \cos \theta\right)=\frac{l}{r} \cos \theta
\end{aligned}
$$
代人式(5)便得
$$
U=\frac{q l \cos \theta}{4 \pi \varepsilon_{0} r^{2}}
$$ | |
电荷量分别为 $q$ 和 $-q$ 的两个点电荷,相距为 $l$ ,以它们连线的中点

图1.4.26 | 【解】 根据电势叠加原理,$P(x, y)$ 点的电势为
$$
\begin{aligned}
U & =\frac{q}{4 \pi \varepsilon_{0} r_{+}}+\frac{-q}{4 \pi \varepsilon_{0} r_{-}}=\frac{q}{4 \pi \varepsilon_{0}}\left(\frac{1}{r_{+}}-\frac{1}{r_{-}}\right) \\
& =\frac{q}{4 \pi \varepsilon_{0}}\left[\frac{1}{\sqrt{(x-l / 2)^{2}+y^{2}}}-\frac{1}{\sqrt{(x+l / 2)^{2}+y^{2}}}\right]
\end{aligned}
$$
当 $\sqrt{x^{2}+y^{2}} \gg l$ 时,上式方括号内可化为
$$
\begin{aligned}
& \frac{1}{\sqrt{(x-l / 2)^{2}+y^{2}}}-\frac{1}{\sqrt{(x+l / 2)^{2}+y^{2}}} \\
= & \frac{1}{\sqrt{x^{2}-x l+l^{2} / 4+y^{2}}}-\frac{1}{\sqrt{x^{2}+x l+l^{2} / 4+y^{2}}} \\
= & \frac{1}{\sqrt{x^{2}+y^{2}}}\left[\left(1+\frac{l^{2} / 4-x l}{x^{2}+y^{2}}\right)^{-1 / 2}-\left(1+\frac{l^{2} / 4+x l}{x^{2}+y^{2}}\right)^{-1 / 2}\right] \\
\approx & \frac{1}{\sqrt{x^{2}+y^{2}}}\left[1-\frac{l^{2} / 4-x l}{2\left(x^{2}+y^{2}\right)}-1+\frac{l^{2} / 4+x l}{2\left(x^{2}+y^{2}\right)}\right] \\
= & \frac{x l}{\left(x^{2}+y^{2}\right)^{3 / 2}}
\end{aligned}
$$
其中用到了前面1.4.25题中的公式(6).将式(2)代人式(1)便得
$$
U=\frac{q l x}{4 \pi \varepsilon_{0}\left(x^{2}+y^{2}\right)^{3 / 2}}
$$ | |
电荷量分别为 $q$ 和 $-q$ 的两个点电荷,相距为 $l$ ,以它们连线的中点 $O$ 为原点,连线为 $x$ 轴,取笛卡儿坐标系,如图1.4.28所示。试求这两个点电荷的等势面方程。当它们可以当作电偶极子时,结果如何? | 【解】 这两个点电荷在空间任一点 $P(x, y, z)$ 产生的电势为
$$
\begin{aligned}
U & =\frac{q}{4 \pi \varepsilon_{0} r_{+}}+\frac{-q}{4 \pi \varepsilon_{0} r_{-}} \\
& =\frac{q}{4 \pi \varepsilon_{0}}\left[\frac{1}{\sqrt{(x-l / 2)^{2}+y^{2}+z^{2}}}-\frac{1}{\sqrt{(x+l / 2)^{2}+y^{2}+z^{2}}}\right]
\end{aligned}
$$

图1.4.28
故得等势面方程为
故得等势面方程为
$$
\begin{aligned}
& \frac{1}{\sqrt{(x-l / 2)^{2}+y^{2}+z^{2}}}-\frac{1}{\sqrt{(x+l / 2)^{2}+y^{2}+z^{2}}} \\
= & \frac{4 \pi \varepsilon_{0} U}{q}=C \text { (常数) }
\end{aligned}
$$
当这两个点电荷可以当作电偶极子时,即 $\sqrt{x^{2}+y^{2}+z^{2}} \gg l$ 时,上式左边可化为
$$
\begin{aligned}
& \frac{1}{\sqrt{(x-l / 2)^{2}+y^{2}+z^{2}}}-\frac{1}{\sqrt{(x+l / 2)^{2}+y^{2}+z^{2}}} \\
= & \frac{1}{\sqrt{x^{2}+l^{2} / 4-x l+y^{2}+z^{2}}}-\frac{1}{\sqrt{x^{2}+l^{2} / 4+x l+y^{2}+z^{2}}} \\
= & \frac{1}{\sqrt{x^{2}+y^{2}+z^{2}}}\left[\left(1+\frac{l^{2} / 4-x l}{x^{2}+y^{2}+z^{2}}\right)^{-1 / 2}-\left(1+\frac{l^{2} / 4+x l}{x^{2}+y^{2}+z^{2}}\right)^{-1 / 2}\right] \\
\approx & \frac{1}{\sqrt{x^{2}+y^{2}+z^{2}}}\left[1-\frac{l^{2} / 4-x l}{2\left(x^{2}+y^{2}+z^{2}\right)}-1+\frac{l^{2} / 4+x l}{2\left(x^{2}+y^{2}+z^{2}\right)}\right] \\
= & \frac{x l}{\left(x^{2}+y^{2}+z^{2}\right)^{3 / 2}}
\end{aligned}
$$
于是得这时的等势面方程为
$$
\frac{x}{\left(x^{2}+y^{2}+z^{2}\right)^{3 / 2}}=\text { 常数 }
$$
或
$$
\frac{x^{2}}{\left(x^{2}+y^{2}+z^{2}\right)^{3}}=\text { 常数 }
$$ | |
一电偶极矩为 $\boldsymbol{p}$ 的电偶极子处在外电场中,它所在处的外电场强度

图1.4.32
为 $\boldsymbol{E}$ 。(1)试求它的电势能 $W$ ;(2)在什么情况下 $W$ 最小,其值是多少?(3)在什么情况下 $W$ 最大,其值是多少? | 【解】(1)设电偶极矩为 $\boldsymbol{p}=q \boldsymbol{l}$ ,如图1.4.32所示,则依定义, $\boldsymbol{p}$ 在外电场中的电势能为
$$
W=q U_{+}+(-q) U_{-}=q\left(U_{+}-U_{-}\right)
$$
式中 $U_{+}$和 $U_{-}$分别是外电场在 $\boldsymbol{p}$ 的 $q$ 和 $-q$ 处的电势.因 $\boldsymbol{l}$ 很小,故
$$
U_{+}-U_{-}=\nabla U \cdot l
$$
电场强度 $\boldsymbol{E}$ 与电势 $U$ 的关系为
$$
E=-\nabla U
$$
由式(2)、(3)得
$$
U_{+}-U_{-}=-\boldsymbol{E} \cdot \boldsymbol{l}
$$
代人式(1)便得:电偶极子在外电场中的电势能为
$$
W=q(-\boldsymbol{E} \cdot \boldsymbol{l})=-\boldsymbol{p} \cdot \boldsymbol{E}
$$
(2)由式(5)可见,当 $\boldsymbol{p}$ 与 $\boldsymbol{E}$ 同方向时,$W$ 为最小,其值为
$$
W_{\min }=-p E
$$
(3)当 $\boldsymbol{p}$ 与 $\boldsymbol{E}$ 反方向时,$W$ 为最大,其值为
$$
W_{\max }=p E
$$ |
Subsets and Splits
No community queries yet
The top public SQL queries from the community will appear here once available.