Model Card for Model ID
Regression model which predicts difficulty score for an input text. Predicted scores can be mapped to CEFR levels.
Model Details
Frozen BERT-large layers with a regressor on top. Trained on a mix of manually annotated datasets (more details on data will follow).
How to Get Started with the Model
Use the code below to get started with the model.
class CustomModel(BertPreTrainedModel):
def __init__(self, config, load_path=None, use_auth_token: str = None,):
super().__init__(config)
self.bert = BertModel(config)
self.pre_classifier = nn.Linear(config.hidden_size, 128)
self.dropout = nn.Dropout(0.2)
self.classifier = nn.Linear(128, 1)
# Apply Xavier initialization
nn.init.xavier_uniform_(self.pre_classifier.weight)
nn.init.xavier_uniform_(self.classifier.weight)
if self.pre_classifier.bias is not None:
nn.init.constant_(self.pre_classifier.bias, 0)
if self.classifier.bias is not None:
nn.init.constant_(self.classifier.bias, 0)
def forward(
self,
input_ids,
labels=None,
attention_mask=None,
token_type_ids=None,
position_ids=None,
):
outputs = self.bert(
input_ids,
attention_mask=attention_mask,
token_type_ids=token_type_ids,
position_ids=position_ids,
)
pooled_output = outputs[0][:, 0]
pooled_output = self.pre_classifier(pooled_output)
pooled_output = nn.ReLU()(pooled_output)
pooled_output = self.dropout(pooled_output)
logits = self.classifier(pooled_output)
if labels is not None:
loss_fn = nn.MSELoss()
loss = loss_fn(logits.view(-1), labels.view(-1))
return loss, logits
else:
return None, logits
tokenizer = AutoTokenizer.from_pretrained(model_path, trust_remote_code=True)
config = AutoConfig.from_pretrained(model_path, trust_remote_code=True)
config.num_labels = 1
model = CustomModel(config)
model.load_state_dict(torch.load(f'{model_path}/pytorch_model.bin'))
inputs = tokenizer(text, return_tensors="pt", padding=True, truncation=True)
inputs = {key: value.to(device) for key, value in inputs.items()}
with torch.no_grad():
_, logits = model(input_ids=inputs["input_ids"], attention_mask=inputs["attention_mask"], token_type_ids=inputs["token_type_ids"])
To map to CEFR, use:
reg2cl2 = {'1.0': 'A1', '1.5': 'A12', '2.0': 'A2', '2.5': 'A2', '3.0': 'B1', '3.5': 'B12', '4.0': 'B2', '4.5': 'B2', '5.0': 'C1', '5.5': 'C12', '6.0': 'C2', '0.0': 'A1'}
print("Predicted output (logits):", logits.item(), reg2cl2[str(float(round(logits.item())))])
Training Details
Training Hyperparameters
- learning_rate: 3e-4
- num_train_epochs: 15.0
- batch_size: 32
- weight_decay: 0.1
- adam_beta1: 0.9
- adam_beta2: 0.99
- adam_epsilon: 1e-8
- max_grad_norm: 1.0
- fp16: True
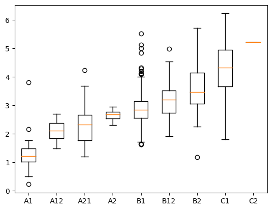
Evaluation on test set
Citation
Please refer to this repo when using the model.
- Downloads last month
- 18
Inference Providers NEW
This model isn't deployed by any Inference Provider. 🙋 Ask for provider support
Model tree for Askinkaty/RuBERT_text_difficulty
Base model
ai-forever/ruBert-large