url
stringlengths
19
9.71k
re_caption
stringlengths
26
2.41k
org_caption
stringlengths
6
103k
sha256
stringlengths
64
64
key
stringlengths
12
12
re_clip_score
float64
0
0
org_clip_score
float64
0
0
re_length
int64
4
128
org_length
int64
1
21.6k
re_gpt4v_score
int64
0
0
org_gpt4v_score
int64
0
0
https://eulatnetwork.org…mala-627x376.jpg
The flag of Ecuador is displayed with a clear blue sky in the background. The flag features three horizontal stripes, with the top stripe being blue, the middle stripe being yellow, and the bottom stripe being red. In the center of the yellow stripe is the national coat of arms, which includes a shield with a blue fiel...
Members European Parliament are concerned about the adoption of Law 5257 in Guatemala
2d508b48011e87bc86e94662f6c50801a9e6532bfbae5d04e8577261fe9e5322
000720982994
0
0
100
13
0
0
http://thumb1.shutterstock.com/thumb_large/322090/584194918/stock-vector-recipe-blank-page-of-exotic-and-tropical-fruits-vector-note-design-in-carambola-or-starfruit-584194918.jpg
A wooden table is adorned with various fruits and a blank piece of paper. The fruits include dragon fruit, passion fruit, starfruit, and a banana. The paper has a hand-drawn image of a dragon on it, and there are two small, empty glass vials on the table.
recipe blank page of exotic and ... | Shutterstock .eps vector #584194918
b48feb0751c27a39e505e1b16f570c7ee3a4811c946a58a7f488e1730704d15a
000720982998
0
0
47
12
0
0
http://www.oceanlight.com/photo/california-sea-lion-underwater-zalophus-04827.jpg
A large seal is swimming underwater near a kelp forest.
California sea lion. Santa Barbara Island, California, USA, Zalophus californianus, natural history stock photograph, photo id 04827
7abc01db78754429f4a8d2271a5a01e4689a7720132c79966ba75a64bc37701c
000720983085
0
0
10
17
0
0
https://assets.xupes.com…qu-Dinky-Bag.jpg
A red leather wallet with a black trim and a silver zipper is displayed against a white background.
Coach Pink & Black Calfskin Leather Rose Appliqu\xc3\xa9 Dinky Bag donated by Millie Bobby Brown
d1b3adf4f6b0ec7dcb82c4d242017a3a8eeb77244b2eae2493a3934775a1c805
000720982996
0
0
18
15
0
0
https://images.offerup.c…6e2767a5966a.jpg
A close-up image of a hard drive with a white sticker on it. The sticker has various text and symbols, including 'DESKSTAR', 'HITACHI', and 'MODEL: HDS721050CLA640'. There is also a barcode and a serial number visible on the sticker. The hard drive has a silver casing with a green sticker on the top, and there is a scr...
DeskTop hard drive 500 GB for Sale in Lincolnia, VA
969232937db497067411c81ef0a1a2ddb7bff5ade6cd916df2df8e1212ea300b
000720983032
0
0
62
10
0
0
http://img6a.flixcart.com/image/sock/a/h/y/n2s12016-5-nxt-2-skn-free-275x340-imaecyhrfamfubdz.jpeg
A collection of four different colored socks is displayed against a white background. The socks are arranged in a vertical line, with each sock having a distinct color: orange, pink, green, and white. The socks are positioned in such a way that the top of each sock is visible, showcasing the different colors and their ...
Nxt 2 Skn Women's Solid Footie Socks - SOCECXHE6FAPJAHY
96c09c8f79bd8e60f0f8979345057651529d4be77cf6a98fbed4fca801c26bf8
000720983108
0
0
57
9
0
0
https://c8.alamy.com/zoo…48932/t57e4p.jpg
A group of people dressed in colorful costumes are participating in a parade. They are riding on decorated vehicles, including a yellow car and a white car. The participants are holding flags and banners, and there is a crowd of spectators watching the parade. The scene is set on a street with trees and buildings in th...
Bolney Sussex, UK. 22nd Apr, 2019. Competitors in the children's race take part in the annual Bolney Pram Race in hot sunny weather . The annual races start and finish at the Eight Bells Pub in the village every Easter Bank Holiday Monday Credit: Simon Dack/Alamy Live News - Stock Image
99b72384ddfe4fa93ec6ad97d596b93968f55abc3f0ded53f83a452c90c304ec
000720983074
0
0
58
51
0
0
https://i1.wp.com/sixdol…=563%2C422&ssl=1
A bowl filled with shredded cheese sits on a wooden surface with a green cloth napkin with a leaf pattern partially covering the bowl.
This Homemade Ricotta Cheese recipe is so fresh and tasty! It's super easy to make, tastes so much richer than store bought and cheap too! Use your homemade ricotta in your favorite lasagna recipe and more to really wow the crowd!
91c50e3408f6bab6962bf7993862f49955c58911967a5b408aa18fe7dc8c4709
000720983109
0
0
24
41
0
0
http://s7d9.scene7.com/is/image/BedBathandBeyond/203548201436c?$229$
A traditional Persian rug with intricate patterns and a rich color palette of red, blue, and beige.
Oriental Weavers Kharma Area Rug In Red Multi Bed Bath
1752685051940aa0cdcba8c66b754c58d5b57994e05c4891c973b61824214c06
000720983113
0
0
17
10
0
0
https://image.shuttersto…nw-259079798.jpg
A brown horse with a flowing mane and tail is captured mid-gallop against a dark background. The horse's muscles are tense, and its hooves are lifted off the ground, suggesting a powerful stride. The image has a watermark in the bottom right corner with the text 'SHUTTERSTOCK' and a numerical code '24709727'.
Beautiful red horse galloping in a phase jump developing mane. Thoroughbred stallion isolated on black background
d98ed203a9de1e65e161d1050c1e5f9c633654cfa83c6ab78499a01ba25f4278
000720983103
0
0
52
16
0
0
https://sc01.alicdn.com/….jpg_350x350.jpg
A stack of plain white paper bags is placed on a textured surface. The bags are neatly stacked on top of each other, with the top bag slightly overlapping the one below it. The surface has a pattern of light and dark shades, giving it a speckled appearance.
high transparency 2 mil opp plastic sleeves for 67 x 92mm trading cards crystal clear - Plastic Sleeves For Cards
61276a66897dd67b24c585e8b3459dbba3d15ae67db30173fdbc3a729fe8297c
000720983078
0
0
48
20
0
0
http://i.ytimg.com/vi/5iYffCZR8C0/0.jpg
A man in a black shirt is holding a bow with an arrow attached, standing in a room with a poster on the wall behind him.
Hoyt Carbon Spyder Turbo 2015
59379f338b07e6a3d0a4c5d2d198ed6e31fa03b98cce590c2abefd9cefd77a15
000720983114
0
0
26
5
0
0
https://quotessayings.ne…sich-1516736.jpg
A cityscape with skyscrapers under a clear sky. The image is overlaid with a quote attributed to John Kasich, an American politician, which reads: 'I think we can have some tax reform, but that doesn't mean tax increases. We ought to make the rates flatter, we ought to make the rates flatter, we ought to get rid of bun...
Tax Reform Quotes By John Kasich
b910d68ee635e5378795fc53fc0921b2b92b7618b395eab2336a9c3c6660cfb5
000720982997
0
0
80
6
0
0
https://www.igniteworldw…2019/12/SGGD.png
The second image is a modified version of the first, where the text 'SEATTLE GIRL GEEK DINNER' has been replaced with 'SEATTLE GIRL GEEK DINNER' in a different font and color. The image now has a pink and white color scheme, with the woman's dress and the utensils appearing in shades of pink. The text 'DEFINITELY DOES ...
Seattle Girl Geek Dinner
0b3886070af14c68639086d71a372a05df62e7f4053dae8fdc3c0a44b88c94d9
000720983098
0
0
66
4
0
0
https://s3.amazonaws.com…ae912eb8face.JPG
A white Honda minivan is parked in front of a building with a red roof. The van has a license plate that reads '1-2-3-4-5-6-7-8-9-10'. The van's rear window is tinted, and the back door is open, revealing the interior. The van is positioned on a paved surface with a few puddles around it.
White Honda Odyssey image number 7
b4eb2e0097a6cb753c0c450ced7592219c6cd488bac3f72cfe8a64814bfa727e
000720983060
0
0
53
6
0
0
http://static3.bigstockphoto.com/thumbs/3/0/2/large2/20346032.jpg
A stylized illustration of a man and a woman walking side by side, depicted as silhouettes against a yellow background. The man is on the left, and the woman is on the right. They are both holding hands, and the man is carrying a briefcase. The image has a retro feel, with a yellow and black color scheme and a textured...
School Warning Sign with glossy effect
8912175938b48789faf39a958e3376c529ea68d7bd0d5ac3237712570c2fdb32
000720983031
0
0
81
6
0
0
https://www.saladproguid…ch-dressing.jpeg
A plate of sliced limes and a bowl of guacamole are placed on a wooden surface. The guacamole is in a square white bowl, and the limes are in a round white bowl. The guacamole has a greenish hue, and the limes are bright green.
Avocado Lime Ranch Dressing
3a0faab06272054326c438bf99bb297ec179cada07ddd13c66b26b26235d78e3
000720983104
0
0
45
4
0
0
https://media.apnarm.net…q2_ct140x105.jpg
A group of men in green and red jerseys are playing rugby on a grassy field. One player in a green jersey is running with the ball, while others in red jerseys are chasing him. There is a rugby ball in the air, and a large advertisement banner is visible in the background.
Pioneers make a statement in FNC Rugby
607ebb55bc966d082e3f26161ec6f5bf9d5aaa6e0cff81c6fafccffde27431c7
000720983035
0
0
53
7
0
0
https://dimg04.c-ctrip.c…59_R_300_225.jpg
The first image shows the exterior of a building with a sign that reads 'North Tail Hotel & Garden'. The building has a stone facade with a green and white sign attached to it. There are four potted plants in front of the building, two on the left and two on the right. The plants are placed on the ground and appear to ...
\xe5\x8c\x97\xe6\xa3\x95\xe6\xab\x9a\xe8\x8b\x91\xe9\x85\x92\xe5\xba\x97(North Palm Hotel and Garden)
1941e63870b9e0bb6bb6d17a42480014e2c83b2349123d37fea6bbd0fb017b7a
000720983117
0
0
74
5
0
0
https://images-na.ssl-im…/212IPLY7KxL.jpg
A white plastic pen with a black cap and a silver clip is displayed in a white plastic case. The pen has a black tip and a silver nib. The case has a clear plastic window that shows the pen and its components.
Pagna 23010\xc2\xa0School Compass (Compass in The Case) + Free Refills by Pagna (Image #2)
17fea0c2f39128eaa6681942696f5c011d81d26da85f48a61ff294a2fe83e58d
000720983133
0
0
43
14
0
0
https://static.wixstatic…700c4b47~mv2.png
A bride in a white wedding dress is standing next to a woman in a white blazer, both smiling and holding hands. They are surrounded by a wedding setup with a floral centerpiece, lit candles, and a table set with plates, glasses, and a blue folder. The scene is outdoors with trees in the background.
Wedding Planner vs Wedding Coordinator : What is the difference?
c94f73e7d6e7154b4d6f80665f9043fb590f15c9b1cbca0384e6a07aeb55f9ca
000720983075
0
0
55
10
0
0
https://images.homedepot…98207-64_600.jpg
A beige fabric with a floral pattern is displayed.
Chesapeake Asha Sand Lotus Damask Wallpaper VIR98207
d4dd68921f1d84f4198193c5dddcf6d620aea1eaada785b21720fd487a1ee091
000720983110
0
0
9
7
0
0
https://www.fitcitymag.c…ity-Issue-12.jpg
A man is performing a deadlift with a barbell in a gym, wearing a gray long-sleeve shirt and black shorts.
Fit City Issue 12
1e0faf40e3d112995f1873677cf7d5e8ac2aa42caa89bed78554fe0b3c6867f7
000720983094
0
0
20
4
0
0
https://static1.squarespace.com/static/53559340e4b0f52fccfab866/t/53cdabbde4b0cb805d3bbc4d/1405987843015/
A cast iron skillet filled with a quiche topped with spinach and mushrooms is placed on a wooden surface. Surrounding the skillet are green spinach leaves, a yellow bowl, and a white cup. The scene is set against a blue and white checkered cloth.
Caramelized Onion, Spinach, & Cremini Frittata. 
d0ec79b36ee02601184ecb0594a32df6357a0d64c08c49fac98363bd20c79077
000720983057
0
0
44
6
0
0
https://cdnpt01.viewbug.…960961_large.jpg
A close-up of a desert plant with a single orange flower and a few green leaves, surrounded by tall grasses and a sandy background.
A bug approaches a blossom at the top of a Ocotillo desert plant
d393176c21be6cec381625c1d49d7ba93f55b4a19d794819056bbfe5f6630169
000720983087
0
0
24
13
0
0
http://www.expbux.com/wp-content/uploads/thumbs_dir/alg-wedding-cake-topper-jpg-1pqxdhny66eif2wh4zdw4jqw0815g7ee7ds0cdqd590c.jpg
A wedding scene with a bride and groom figurine standing on a white pedestal, surrounded by a wedding veil. The bride is wearing a white dress, and the groom is in a black tuxedo. In front of them is a jar filled with coins, and to the left of the jar is a silver bowl with more coins. The background is a teal color.
Planning a Wedding on a Budget: When to Skimp and When to Splurge
5db243b5a7ac29ef648ae476fe8a6813267226862b3c3acf5d2afec24b8cf41e
000720983071
0
0
64
13
0
0
https://www.yourprops.co…ro-8-Masks-1.jpg
Two realistic masks of a killer's face are displayed on a red background. The mask on the left is yellow with red and black details, and the mask on the right is black with red details. Both masks have a menacing appearance with holes for the eyes and mouth, and they are secured with straps. The word 'MUCUS' is written...
Friday the 13th Part 8 Jason Takes Manhattan replica movie prop
8d2f0b00d50d2a802c42fedeaee809dfc83a2ee80c1cf0034472fdbbc59a9a03
000720982982
0
0
69
11
0
0
https://i.pinimg.com/736…6f1e018e383c.jpg
A digital illustration of a young girl with long hair wearing a blue and green checkered scarf and a dark sweater. She is standing in a snowy environment with snowflakes falling around her. The background is a soft blue, and there is text at the bottom of the image that reads 'desde que me enamore de ti, aque est en in...
#GutierrezTenoh #Anime #Frases
595237a4ec264f8bc505b97e6456f4f0dbad37a63cbccf841dd919ac33e17247
000720983131
0
0
63
3
0
0
http://www.technovision.rs/3609-home_default/razer-viper-mini.jpg
A black computer mouse with a green logo on the side is shown from the top view. The mouse has a sleek design with a smooth surface and a scroll wheel in the middle. The cable is not visible in this view.
Razer Viper Mini
58b87816429c4e542acffad7c26df2ef16cbee8e6a5284d018595a87d99071fe
000720983070
0
0
42
3
0
0
https://4.bp.blogspot.co…400/IMG_1931.JPG
A closed book with a yellow cover featuring a floral design. The book is lying on a surface with a shadow cast to the right, indicating a light source from the left. The cover has a hinge in the center, and the book is closed with the pages aligned.
0318 Daffodils Envelope Mini Album #clubscrap #daffodils #minialbum #envelopemini #paperflowers
bb12faebf8b6f0a57d235d34f59198539d6aea39c9e90ca7c7b840dc25474bd4
000720983096
0
0
49
10
0
0
https://media.cnn.com/ap…y_0,c_fill/w_480
A building exterior at night with a large illuminated blue sign featuring a puzzle piece and the text 'AUTISM SPEAKS LIGHT IT UP BLUE 2012'. The sign is adorned with blue and white string lights. Above the sign, there is a large star-shaped decoration with blue lights. The building has a series of windows with blue lig...
The Horiguchi Clinic in Hokkaido, Japan, lights up for the 2012 World Autism Awareness Day.
309244e75a5ba734bcc1f5936a1dc27ffa1e9c3dda92596499249de8a8514047
000720983140
0
0
68
15
0
0
https://andersonandgarla…v=63647288609463
A violin with a brown varnished body and a dark brown f-holes is displayed against a white background. The violin has four tuning pegs on the top and a chin rest at the bottom. The strings are not visible, and the bow is not present in the image.
Lot 1088 - An early 20th Century violin, the two-piece...
8c811c4a092876402afa6cd3b1af7e1119edca414224255c230f0e39646f6956
000720983065
0
0
48
10
0
0
https://images.webfronts…erbox_ffffff_100
A modern wine cooler with a sleek design, featuring a stainless steel exterior and a digital temperature display. The cooler has multiple compartments with individual temperature controls, allowing for precise temperature management. The interior is well-lit, showcasing the wine bottles stored within. The cooler is pla...
Danby Danby Designer 38 Bottle Wine Cooler
2572ae97a617fe3cc45278b9343b3b777b7233fc4ea8f0b89f4e43ddd208f0f0
000720983148
0
0
54
7
0
0
http://thumb10.shutterstock.com/thumb_large/638869/701813113/stock-vector-gold-glitter-circles-pink-circles-gold-sparkle-frame-simple-golden-border-minimalist-background-701813113.jpg
The second image is a close-up of a section of the first image, focusing on the gold speckles. The background is a solid white color, and the image is cropped to exclude the surrounding areas, providing a more detailed view of the speckles. The image is also labeled with a watermark in the bottom right corner, indicati...
gold glitter circles pink... | Shutterstock .eps vector #701813113
eaf5ed94238def2dfcd004bf7d03d084901e9450f9465fbec6f4aa41d43b1890
000720983089
0
0
66
9
0
0
https://i0.wp.com/stylef…=270&h=302&ssl=1
A close-up of a woman's head with blonde hair styled in a braid. She is wearing a white lace headpiece with a floral design and a pearl-like embellishment. The background is dark, and the lighting is soft, highlighting the woman's hair and the headpiece.
70+ Best Wedding lace headpiece Ideas 45
4831010bc9cd3e1ca4a9ad0f9e8755e725c7671990619546584cd13568149239
000720983154
0
0
44
7
0
0
https://media.jumiadeals…esktop-large.jpg
A silver laptop is open on a wooden desk.
Affordable UK used laptop Brand new MacBook - Nigeria
4ecd027c6218d256f0e6a000c7be14373ab32db86c35ac61e0983ddb083d93c7
000720983097
0
0
9
9
0
0
https://www.justgreece.c…ti-tinos-001.jpg
Aerial view of a coastal town with white buildings and a blue ocean.
beach Laouti near Agios Sostis Tinos | Photo 1 - Photo JustGreece.com
77a7919d291a3d378d7353a623a33f6f4cd6ed977dd78377500439f85b984fab
000720983054
0
0
13
12
0
0
https://img01.aws.kooomo…1_small.jpg?v=81
A white candle with a label that reads 'MAX BENJAMIN ITALIAN AROMATHERAPY CANDLE' is displayed next to its matching box. The candle is placed on a white surface with a soft-focus background.
Italian Apothecary Natural Wax Candle
b131e0e47ce6576a880ce4f64bc9d57d17a754176fe2b68316b6a8f983a261ad
000720983124
0
0
32
5
0
0
https://www.chefscomplem…pagne-saucer.jpg
A clear glass with intricate designs on the stem and base is displayed against a white background.
Pasabahce Timeless Champagne Saucer 270ml Chef S Complements
b5b826beb662143a19f8815fbe1b72da6f15daba6390cf3af5cb445240a6ca84
000720983086
0
0
17
8
0
0
https://d3fa68hw0m2vcc.c…94/28124942.jpeg
A book cover titled 'Media Voices' with a list of names in a vertical column on the right side. The names are in a different font and color compared to the original image. The background is a plain white color, and the book is part of a series called 'The Cambridge Memorial Lectures'.
Media Voices image
c526f9d2b553e89d1a6e8c29c9bc7358f1528e371813196e86dae069b87334dc
000720983020
0
0
53
3
0
0
https://lid.zoocdn.com/3…588b5ee99cec.jpg
A clean and organized kitchen with white cabinets, a stainless steel oven, and a sink with a blue sponge and dish rack. The kitchen has a tiled backsplash and a window letting in natural light.
2 bed maisonette to rent in Lisgar Terrace, London W14
5431aa2d13a07639c510f195711b6cd2d5b437f3daddc7c07ae2a8ec9c893b4d
000720983147
0
0
35
10
0
0
https://s.ecrater.com/st…f887_127651n.jpg
A collection of six books is neatly arranged on a wooden surface. The books are of various sizes and colors, with titles such as 'Skeletons in the Closet', 'Maiden Pi', 'Stay It', 'Mighty Bones', 'Femal in Law', and 'Kats Cradle'. The books are placed in a way that they are standing upright, with their spines facing fo...
Laura Alden, Bill Pomidor, Karen Kijewski, Mary Saums & Etc. Cozy Mysteries - 8
10a62c1342a3a26e5fafecc8b5f5891146a8e513beeb0ca07f58800bcebb792f
000720983156
0
0
57
14
0
0
https://i.ytimg.com/vi/r…8Y/mqdefault.jpg
A close-up image of a frog with a birthday cake on its back. The frog is green with black spots and is sitting on a white background. The birthday cake has lit candles and is decorated with green icing that reads 'Feliz Cumplea\xc3\xb1os'.
Bharateesha Animals & Animales - Happy Birthday
749ed0db325ccccd04a0bfa85d5d59b179b33bbdf7a51b5c530bb2e25730157e
000720983151
0
0
43
7
0
0
https://ae01.alicdn.com/….jpg_220x220.jpg
A collection of white paper leaves in various shapes and sizes, arranged in a grid pattern. The leaves are uniform in color and texture, with a smooth, matte finish. The background is a plain white color, and the leaves are evenly spaced, creating a symmetrical and organized appearance.
12 Sets Silicone Veiner Mold Leaf Cake Decorating Fondant Impression Flower Sugarcraft Took
854bd2854e038657d9c7645c7a278c2c28a9f9b69646afa04adda9719a7f80c8
000720983084
0
0
48
13
0
0
https://cdn.diycraftsy.c…ng-Bean-Bags.jpg
A sewing machine with a white cover is placed on a table, surrounded by various sewing accessories such as scissors, a spool of thread, and a pattern piece. In the background, there are three colorful pillow covers with different patterns and designs.
DIY Juggling Bean Bags
19585ab629481f977072a060df6bc61165f2a2f9457dc82000cdfdc76a392604
000720983155
0
0
42
4
0
0
https://i2.wp.com/derhun…=300%2C225&ssl=1
A black leather dog collar with a silver buckle and a black leash attached to it.
Dragrattan Musher Belt
f7d5637f2575982bc9c26824d3a1b285e1e2276cccec1ae8d62c3889769c7b15
000720983167
0
0
16
3
0
0
https://i.etsystatic.com…6783440_eacn.jpg
A green and white plaid fabric with a white background and green shamrocks is displayed on a grey surface.
Quilted St Patricks Day Table Runner
7bdb2ba79373f191254db537abf4293af3b346ddd40526591bbb0e3e49e2f6c7
000720983033
0
0
19
6
0
0
http://ak9.picdn.net/shutterstock/videos/2122883/thumb/9.jpg
A close-up image of a pile of popcorn with kernels scattered around it. The popcorn is predominantly white with some yellow kernels visible. The background is a soft, out-of-focus pink color.
Close-up popocorn
442262c355c8721f54565e74ae4d87f5899d42d9119d15c9809896a6da8db35f
000720983128
0
0
31
2
0
0
https://steinjager.com/s…3842-350x350.jpg
A collection of various metal bolts and nuts is neatly arranged on a white background. The bolts come in different sizes and are positioned in a way that they appear to be connected by imaginary lines, creating a visually appealing pattern.
Heims, Nuts, Bungs, Spacers Rod End Kits
3cf565b7e09f9d4a39abd95c68df55434d7b9323a30d9efd32d4f8b95e151446
000720983159
0
0
41
7
0
0
https://cdn.eventfinda.c…00-611684-33.jpg
A person is riding a brown horse in a rodeo arena, wearing a colorful plaid shirt, a cowboy hat, and blue jeans. The horse is wearing a blue bridle. The arena has a dirt floor, and there are spectators in the background. The word 'TAYPA' is written in large letters on the ground, with 'RODEO' written below it.
Taupo Rodeo
6794065cbc5e47d630701a9c9f605658ceae4fffede101d1a13c607835da24d6
000720983099
0
0
58
2
0
0
https://images.saatchiar…9-YLDNHBHS-6.jpg
A vibrant painting depicting a surreal scene with a large, flowing river in the center, surrounded by a desert landscape. The sky is filled with a bright sun and a crescent moon. A figure in a white dress stands on a boat in the river, holding a sail. Another figure in a red and yellow outfit stands on the riverbank, h...
Golden Boat, Paintings image
056f0c8a241d288fc1ef1e52df9d8e3b9ce3ff0eb40b1f494efab46a29f69e91
000720983166
0
0
90
4
0
0
http://www.bassmaster.com/wp-content/uploads/2019/07/paquette18.jpg
A close-up view of a car's dashboard, focusing on the steering wheel and the area around it. The steering wheel is equipped with a modern infotainment system, featuring a large screen and multiple buttons and knobs. The dashboard is predominantly black, with a textured surface and a few visible screws. The car's interi...
Precision Sonar Mounts ensure that his Humminbirds stay put even in rough seas.
855ffa1f27859bf3f538d17a842544130e5e09b170b6124dd787410e88f53e18
000720983135
0
0
59
13
0
0
https://afosto-cdn-01.af…46ca541bccc5.jpg
A pair of grey high-top boots with brown laces and a brown sole is displayed against a white background.
Wolverine 1000Mile Grey Suede
e644e36adbac55d7c8bb81b049174d6a86a67ad4f7d9993a5dc87db3161df2bb
000720983153
0
0
19
4
0
0
https://static.wixstatic…05831f81~mv2.png
A brown pillow with a white and beige striped pattern on the front and a solid brown back is displayed against a white background.
Handcrafted Earth Stripe Accent Pillow
9c80b6d46912d79e282c653bf02c3be949e0c5f8330879a04126281caffa2ded
000720983139
0
0
24
5
0
0
https://i.ebayimg.com/th…gXjD7/s-l300.jpg
The first image shows two bicycle tires side by side against a white background. The tires have a blue and white label that reads 'PANARACER' in large letters. Below the label, there is a smaller text that says 'CHOOSE SIZE & COLOR'. The tires have a yellow stripe on the sidewall, and the tread pattern is visible on th...
Panaracer Pasela 26x1.50 or 26x1.75 Light Urban MTB Bike Tire Black or Amber
b159f5d726b89f8be79d54382f1691e550a1ab6940a4af5f3a7e9786b85bc6fb
000720983174
0
0
61
13
0
0
https://ae01.alicdn.com/…font-Wobbler.jpg
A set of three lures with different colors and patterns is displayed against a white background. The lures are labeled 'BLUE SARDINE' and have a shiny, metallic finish. The first lure is pink with a gradient effect, the second is red with a rainbow pattern, and the third is blue with a similar rainbow pattern. Each lur...
BlueSardine 3PCS 40G 9.5CM Metal Jig Fishing Lures Paillette Knife Wobbler Artificial Hard Bait Jigging Lures
be0ee0783e5fd3069f849b2be9e0cdf2c6df8f0d4bf4448db912a17b8f2e41af
000720983152
0
0
64
16
0
0
https://spainfy.com/stor…aled-600x600.jpg
A pair of black wireless earbuds with a sleek design and a black cable connecting the two earbuds. The earbuds have a small speaker grille and a control button on the right earbud. The earbuds are shown against a white background.
Earphones Urban 3 Titanium Mic
0f9ad657f7b33855c3b49aeec3352f44d338496a0992ace756a64356e05fe043
000720983121
0
0
41
5
0
0
https://images-eu.ssl-im…1R%2Bv1jYWCL.jpg
A sleek black pen with a gold nib and a black clip is lying on a white background.
PHARRI Executive Stylus Pen Microfiber Mesh Tip for All Capacitive Touch Screen Smart Phones and Tablets (Schwarz-Gold)
83f8733ea05409bd2bd2d489e5e4917472e965f385a0655c96814f7a64154f79
000720983175
0
0
18
17
0
0
https://images.findagrav…126384401388.jpg
A black and white photograph of an elderly man with a bald head, wearing a suit and a tie. He has a pair of glasses and is smiling.
Claude Bolin Farrington
497c615c86ee8421eea16c70bda33afb6538ea416696d7bcf38ffa59545abb66
000720983168
0
0
28
3
0
0
https://is2-ssl.mzstatic…pg/100x100bb.jpg
The second image is a stylized graphic that features a large, illuminated light bulb with a bright glow and a speaker icon on top, centered above the letter 'A'. The 'A' is prominently displayed in a bold, orange font against a dark background. Below the 'A', there is a horizontal line with the text 'TRENDS FOR APPLICA...
Agency Intelligence artwork
1d96bf382a784c64792099ddd33310ab9a2f2c5a88a5ee46f5d9e1c429bae876
000720983143
0
0
89
3
0
0
https://dudazps6njn84.cl…et_id=880000500F
A close-up of a circuit board with a black wire attached to it, lying on a wooden surface. The board has various components such as capacitors, resistors, and a microchip, with a prominent circular component in the center. The wire is coiled and appears to be connected to the board.
Used Volkswagen Jetta Automatic Transmission Parts for Sale
475d96ba976c1471858cd917873678cdc805b24d42d9f93cc5e0bf4b145a74e4
000720983083
0
0
50
8
0
0
https://www.musicaneo.co…0_w_226x308.jpeg
A musical score with the title 'Anchore che col parole - Madrigal' at the top. The score is in black ink on a white background, featuring musical notes and symbols for various instruments, including a treble clef, bass clef, and other musical notation elements. The score appears to be for a chorus or ensemble, with mul...
Ancor Che Col Partire: For guitar by Cyprien de Rore
5c27e0ccd59e9733435be18eb0d282ec17e66c0eaff4a8535a67c364f86a9cb0
000720983149
0
0
63
10
0
0
http://ecx.images-amazon.com/images/I/51HddyQKYyL.jpg
A box of Hansaplast Elastic bandages is displayed with a woman in a yoga pose on the packaging. The box is blue with a red and white logo, and the bandages are shown in various sizes. The packaging includes information about the product's features, such as its elastic properties and ability to adapt to different body m...
Hansaplast Elastic 5m x 6cm, 1 St
283d610115e51fd7adb0317ea111e632d3e9469b3549431600dc41fae5b9b775
000720983181
0
0
57
7
0
0
https://img.shopstyle-cd…racing-pants.jpg
A pair of red and blue athletic shorts with a white logo on the waistband and a white shoe with orange laces.
Nylon Racing Pants
96c042dcf537ba4ff55f37a55151f60e86dca9769c5b688973a0479beceadf7a
000720983172
0
0
22
3
0
0
https://cadeandmolly.fil…_4824.jpg?w=5184
A serene sunset scene with a pier extending into the water, flanked by palm trees on the left and a wooden structure on the right. The sky is painted with hues of pink and orange, and the sun is visible near the horizon, casting a warm glow on the water. A few birds can be seen flying in the distance, and the calm wate...
Roatan sunset, roatan piers, roatan beautiful beach
0fd094ee606e858497a6b12d2e395f80a26e9aab5f4d30dd06552a539e478273
000720983169
0
0
76
7
0
0
https://1.bp.blogspot.co…16000/sup-92.jpg
A bowl of meat and vegetable stew with chunks of meat, sliced onions, and chopped green onions. The stew appears to be a rich brown color, and the ingredients are generously portioned. The bowl is placed on a surface with a blurred background, and there is a watermark in the top right corner.
Resepi Sup Daging Ala Thai
23ec13779fdf1bdc42b45a4ba5a01e0bea20e8d6400f8bd3efc792ad7c1bade7
000720983170
0
0
53
5
0
0
https://hips.hearstapps.…7xh&resize=480:*
Two women are posing for a photo. The woman on the left has long blonde hair, is wearing a white sleeveless dress, and is smiling. The woman on the right has curly hair, is wearing an orange shirt, and is also smiling. They are both standing in a room with a bench and a lamp in the background.
beyonce solange
2ecfe603174470085e5974c5020c3eab9ecb3b34b30f2adbcb1eaa0f81a2131c
000720983187
0
0
58
2
0
0
https://imgc.artprintima…g-PQF393ZEUU.jpg
A framed picture of a Venetian canal with gondolas and buildings.
Gondolas Along the Grand Canal at the Rialto Bridge, Venice, Italy-Brian Jannsen-Framed Art Print
64b708efbfcbf7f31093d1d2425348de3c2b661bd8ccb5264fd64720e88af57b
000720983212
0
0
11
14
0
0
https://cdn.vox-cdn.com/…1320432936.0.jpg
A group of hockey players are huddled together on the ice, celebrating a goal. They are wearing white and red jerseys with the number 88 visible on one of the players. The goalie is not visible in this scene. The players are surrounded by a crowd of fans in the stands, and the atmosphere is energetic and festive.
Carolina Hurricanes v Nashville Predators - Game Six
78333e5a1ed84787d1f0e3f95f586d3b02d5789f69a0f20c4dff7a041e2f12c8
000720983064
0
0
58
8
0
0
https://ak1.ostkcdn.com/…;impolicy=medium
A white plastic wall light fixture with two identical round covers, each with a circular cutout and a small black screw visible. The fixture has a white base with a small white plug attached to the bottom.
Heathco HZ-7161-WH Battery Powered Security Light, 180 deg Sensing, White
88933d911f4114171047d6e4bba37d4887f6f78c525ce1a2ec5d049eff50fc11
000720983165
0
0
37
10
0
0
https://d3jyk3utdxet41.c…f5ed8604e1_4.jpg
A wooden bed frame with a blue and white checkered mattress cover is displayed against a white background.
Carlowe Double Bed Frame
a44ed6217dbc3d59c2804b72df6ffd6246c5bebfd443184bc7ee2c74acf76cac
000720983210
0
0
18
4
0
0
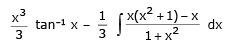
https://cdn3.edurev.in/A…5c62b973e_lg.PNG
A mathematical equation is displayed on a white background. The equation consists of various mathematical symbols and numbers, including a '2' at the top left corner, a '1' in the middle, and a '3' at the bottom left corner. The equation appears to be a combination of algebraic and trigonometric expressions.
Integration by Parts - Indefinite Integration JEE Notes | EduRev
8fd112ded9732c3c5d6d0a89fe1f4bdb713641feb6055b5406a3f7d489e93bae
000720983092
0
0
51
10
0
0
http://cdn.c.photoshelter.com/img-get2/I0000JnxS4wqNgTM/fit=/fill=180x180/g=G000094RTrWWtW68/I0000JnxS4wqNgTM.jpg
A colorful parrot is perched on a metal railing in front of a series of framed pictures depicting various birds and flowers. The parrot is predominantly blue with yellow and orange accents on its wings and head. The pictures include a bird in flight, a bird perched on a branch, and a field of flowers.
Sam the retired 27-year-old blue and gold macaw from the Kahiki Restaurant admires David and Joanne Kelch's bird photography while being pushed around the Worthington Art Festival by his owners Jim Rush and Beth Mitchell, not pictured, on June 21. Sam, who worked at the Kahiki from 1982 until it closed in 2000, was adm...
b84fc922a35a72f4e27c1a9265805bf12642439692e1122c2523e70622d4cb82
000720983203
0
0
55
64
0
0
https://ae01.alicdn.com/…er-Permanent.jpg
A white hair dryer with a pink and silver design, featuring a digital display and a button, is displayed on a white background. The hair dryer is accompanied by a pair of black sunglasses, a small white booklet, a white hair dryer attachment, and two metallic hair accessories, one silver and one gold.
Rechargeable IPL Epilator Hair Removal LCD Display Machine 500000 shots Laser Permanent Electric depilador a laser for women/man
0549ed21859370b95e16129af371e95a5abf028a2879f9793c99623974fe6642
000720983111
0
0
53
18
0
0
https://www.amerikanarab…ury-Cougar-3.jpg
The rear end of a vintage car with a license plate that reads 'GODS'. The car has a distinctive tail fin and a chrome bumper. The car is parked on a street with a curb and grass visible in the foreground.
1967 Mercury Cougar 3
3e35044d389f9424c14e6fa5721e567cb89b0f7c428038ba731f9054565de1ed
000720983132
0
0
41
4
0
0
https://images.mcnichols…ges/No-image.jpg
A close-up of a metal mesh with a black background. The mesh has a grid pattern with vertical and horizontal bars, and the image is in focus with no visible distortion or blur.
Designer - Wire Mesh | McNICHOLS
0a9d4acde3be01ef092ccfc0bcc5a156ffcbfc5769748326e94afeac05b460ad
000720983208
0
0
33
6
0
0
http://t0.gstatic.com/images?q=tbn:ANd9GcTXHU7EctJJz0goj37Pv7QwA8hUEos8sXl_oowOo7O09kT13aGb5w
A close-up of a lizard's head with a textured, scaly skin pattern. The lizard has a prominent eye with a circular pattern around it, and its mouth is slightly open. The background is out of focus, featuring a gradient from dark to light.
iguana island free images sea water wildlife island iguana fauna lizard
a6961bffee94c3126d2145c4f4d9a211e940f19719e377af6178bd2b9a39d786
000720983223
0
0
43
11
0
0
https://s0.geograph.org.…974_5a2b9766.jpg
A highway scene with a clear blue sky and scattered clouds. There are multiple vehicles on the road, including a white car with yellow and blue stripes on the side, a black car, and a truck. The road is bordered by grass and trees on the left side, and there is a bridge in the distance. Street lamps are visible along t...
A299 Thanet Way
d0ed7aabd53d1b7ff815f6aaae2ac5fe05f2c36d26aec8ac90ab0d2a198c9489
000720983160
0
0
71
3
0
0
https://fulltimeexplorer…hmandu-nepal.jpg
The second image is a promotional poster for a club event. It features a stylized text 'CLUBS & LOUNGES' with the number '8' integrated into the design. The background is dark with a neon glow, and there are various elements that suggest a lively club atmosphere, such as a crowd of people, a DJ booth, and a bar. The im...
Kathmandu Night Life: The Best Clubs, Lounges, and Bars | Kathmandu Clubs | Kathmandu at Night | Nepal Night Life | Nepal at Night | Going out in Kathmandu | Clubbing in Kathmandu | Pubs in Kathmandu | After Hours | Drinking | Bar Hopping | Live DJs | Hottest Live Music | Music Scene | Trendy Party | Partying in KTM | ...
e491bd819045adf2af8ae56868a903a07b967c9fc70699e3aa3e8a70b12a6f3f
000720983185
0
0
92
83
0
0
https://moanasmartcharte…a-02-700x466.jpg
A white sailboat with a large white sail is cruising on the ocean. There are four people on board, two women and two men, all wearing swimwear. The women are standing near the center of the boat, while the men are standing at the back. The boat has a small cabin and a wooden deck. The ocean is calm with small waves, an...
Catamaran Lagoon 380 in ibiza 7
539fcb62b7fae2e7e543d73a33424b05073d982a2af131cf4621ca395eefd5fd
000720983056
0
0
67
6
0
0
https://media-cdn.tripad…ra-our-guide.jpg
Two women are standing on a balcony overlooking a vineyard. The woman on the left is wearing a white t-shirt, black shorts, and a black shoulder bag. She has blonde hair and is wearing sunglasses. The woman on the right is wearing a black tank top, patterned pants, and a black shoulder bag. She has dark hair and is smi...
Walkabout Florence Tours: Me and Barbara, our guide at the Tuscan Vineyard
5800124a925e79cc6f0b480e35049ce87752c591492254a6f7206a522e7cb917
000720983221
0
0
67
12
0
0
https://d1yn1kh78jj1rr.c…tro023_thumb.jpg
A black and white illustration of a woman with a shocked expression, her mouth open wide, and her hands raised in a gesture of surprise or alarm. She is holding a black rotary phone with a coiled cord, and the phone is placed on a surface in front of her. The woman's hair is styled in a classic 1950s fashion, and she i...
Illustration Of A Lady With Telephone.
50fe172cabc100cd75d7c0c1cb3f4a98519f90b03f5b78f59a85efa27dd8072d
000720983144
0
0
71
6
0
0
https://images.thdstatic…-p344-64_300.jpg
A yellow and black Ryobi cordless drill is displayed against a white background.
ONE+ 18V Cordless 3/8 in. 4-Position Ratchet (Tool Only)
9012c4d1d6ec8f4472796f155b7b7885ffe3089c6d0e883bd498bf76b72f6f4d
000720983230
0
0
13
9
0
0
https://images.highlight…g-hair-color.jpg
A close-up image of a hair care product with a beige and brown color scheme. The product is placed on a white surface, and the packaging features a logo and text that reads 'HILLI' and 'MILLI'. The background is a plain white color, and the product appears to be a hair treatment or styling product.
Loreal MAJILIFT Ultra Light Blonding & Toning Hair Color for
b04c152782a74e3d5c004612aa7be37c5ed83612d87f0ff447bc63f4959c152e
000720983215
0
0
55
10
0
0
https://a.1stdibscdn.com…2601812_l_s.jpeg
An ornate, gilded mirror with intricate floral and scroll designs, set within a dark green frame with gold accents. The mirror has a reflective surface and is mounted on a wall.
18th Century French Regency Style Mirror
9a4cebaa0aa562dbd147bd85c5252a02f10006c71ba7cf9b9cb857379014f80f
000720983225
0
0
31
6
0
0
https://5.imimg.com/data…lkou-125x125.jpg
A bright yellow mushroom with white spots on top is sitting on a white power adapter with a purple base. The adapter has two black prongs at the bottom.
Mushroom Shaped Plastic Energy Saving Sensor
e76a8360104f202d5b153e63c8e811735c44508eaabad1369c28d15e18b15917
000720983176
0
0
29
6
0
0
https://images.squarespa…Portraits-16.jpg
A man and a woman are holding a baby in a park. The man is wearing a plaid shirt and a baseball cap, while the woman is wearing a white shirt. The baby is wearing a blue dress.
Winter Family Portraits-16.jpg
6f13d64cdb259bc245291c4979891e508face6eb592b6d50109a42dcec15c7b6
000720983204
0
0
38
3
0
0
http://image.invaluable.com.global.prod.fastly.net/housePhotos/woodbury/70/412670/H4108-L40136621_th.jpg
A golden teapot with intricate designs and a black handle sits on a white background.
Asian Figural Brass Bowl, 19th C
bb0732d1712cf743717375d70eea55b74567bc5dd4bac863f27e7e4420289ec4
000720983235
0
0
15
6
0
0
https://cdn.ukc2.com/t_240h/215274.jpg
A person in a red jacket and black pants is hiking up a snowy mountain trail with a walking stick in hand. The mountain is covered in snow, and the sky is partly cloudy.
Rising traverse to Cust's Gulley Stunning day
5086611c87559a5e422a6f7d71a797180c1e557f62cef48cbce0ae708f5f7a2c
000720983182
0
0
34
7
0
0
https://photos.smugmug.c…_PB127654-XL.jpg
A small brown bird with a white belly is standing in a shallow body of water, surrounded by green grass. The bird has a long beak and is looking to the side. Its reflection is visible in the water.
Spotted Sandpiper
7658f9df09b8df1bf719d42d5c7271b6a93d116ec478a9ec59e6d09f208ab697
000720983090
0
0
39
2
0
0
https://forestfolkretire…tired-02-git.jpg
A ceramic figurine of a witch with a pointed hat and a purple dress, holding a broom, stands next to a door with a wreath on it. The figurine is accompanied by a small ceramic mouse with a red and yellow dress, standing on its hind legs and holding a small broom. The scene is set against a plain background with a faint...
Wee Forest Folk Welcome Trick or Treaters Halloween LE m-280a Retired
778e88ba4059ee7268b65209e882054e07217787c8cdc5e1b11266a203710a1c
000720983237
0
0
68
11
0
0
https://t2.ftcdn.net/jpg…4kpbzqhkQTQa.jpg
A collection of three green vegetables is displayed against a white background. From left to right, there is a large green zucchini, a small green zucchini, and a small green pepper. The zucchinis are positioned vertically, while the pepper is lying horizontally.
Pattypan squash, avocado and a chayote
f0eb0dc24705e5327615a56019148bc7433140e9d3415dac67f3efdf63a1e5e4
000720983239
0
0
42
6
0
0
http://static.shoplightspeed.com/shops/602595/files/006240811/michelle-by-comune-inverness-black-asym-long-top.jpg
A mannequin is dressed in a black top with a V-neckline and long sleeves. The top has a ribbed texture and is displayed against a brick wall background. The mannequin is positioned on a stand with a metal base and a curved support.
Michelle by Comune Inverness Black Asym Long Top
b37f3b14c52e5a7166e3cc42ac48f0e625c7d7d7b0cc7579f7227592b60bd99d
000720983199
0
0
43
8
0
0
https://artist.com/photo…6047115-59-2.jpg
A grayscale image of two horses facing each other, with their necks intertwined in a gentle, affectionate manner. The horses are standing on a dirt ground with a few scattered plants around them. The background features a cloudy sky, and the overall tone of the image is monochromatic, with varying shades of gray creati...
The Battle of Horses, Drawings / Sketch,Illustration,Paintings, Fine Art,Realism, Animals,Fantasy,Wildlife, Acrylic,Ink, By Rebecca Suzanne Magar
6f4eaa39b6c696969f97cb97bd2e4ee222e4dd23c1bc730fd7f48c2bf40d872d
000720983226
0
0
57
15
0
0
https://i1.drogaraia.com…_solar_fps60.jpg
A tube of solar protection cream with a yellow and orange label featuring the brand name 'NEEDS' and the product name 'SOLAR PROTECTOR'. The label has a pattern of concentric circles and the words 'PROTECTOR SOLAR' in large letters. The tube contains 60 grams of product and is described as 'PROTECTOR SOLAR FACIAL ANGIO...
Protetor Solar Facial FPS 60
eda3008061a6036525e5bbc9b1313c093f99ed0471f32109e5e4cbc35dac22a3
000720983219
0
0
56
5
0
0
http://img.scoop.it/q5C4J_eNXJP9wVjegHpghjl72eJkfbmt4t8yenImKBVvK0kTmF0xjctABnaLJIm9
A magnifying glass is placed over a fingerprint on a white background. The magnifying glass is positioned to the left of the fingerprint, and the fingerprint is centered in the image. The magnifying glass casts a shadow on the background, and the fingerprint appears to be lifted from a surface, with the ridges and vall...
Essential Characteristics of a Private Detective | LAW | Scoop.it
2bc46e3f6687824e067ea4e55d49166f3fd5457d0f11a9bf7a9aa83ff65c6623
000720983206
0
0
60
10
0
0
https://m.psecn.photoshe…05sept05-075.jpg
A woman is swimming in a flooded area with water up to her waist. She is wearing a green shirt and a head wrap. The water is murky, and there is a building in the background with a pink wall. The sky is overcast, and the overall atmosphere is gloomy.
5th Sept, 2005. Hurricane Katrina aftermath. New Orleans. Derek Williams (32) swims through the murky water in Uptown as he and his family attempt to rescue their business.
637dabc8b28689c4a6fb8e82ef8314012d65f26ae7358695b41f12b16552a041
000720983211
0
0
50
28
0
0
http://imgs.sapo.pt/gfx/1c/06/584374.gif
A sleek silver laptop is open on a dark wooden desk, displaying a blue wallpaper with water droplets and the time '09:03' on the screen.
Asus Transformer Pad
be723a227a6607ff73d2455aeff7bbffc7f53bfe07afd57edddaa750b312c53b
000720983019
0
0
25
3
0
0
https://www.biografias.e…nlewis_s34b0.jpg
A person with short, wavy hair is smiling at the camera.
Lincoln Lewis
bc5b469844fb8d98fd586a9436e2af011a26da47929242e501f519940d2fb88c
000720983217
0
0
11
2
0
0
http://i1.wp.com/ecx.images-amazon.com/images/I/31yrnDdIQOL.jpg?resize=250,250
A green and yellow plastic toy kitchen set with a cutting board, a knife, and a spoon is displayed against a white background.
Play Doh / Pretend Play - Chef Set
d1e65bfc5a7ceb90576252b0e3970f6f4c3873684549251e948dc250196bd0a4
000720983244
0
0
23
8
0
0