vh stringlengths 101 135 | label class label 2
classes |
|---|---|
QVQLQESGGGLVQPGGSLRLSCAASGFTFSSSWMYWVRQAPGKGLEWVASIGTGGSPYYADSVKGRFTISRDNAKNTLYLQMNSLKSEDTAVFYCAKAPTGPGYDYWGQGTQVTVSS | 0non-binder |
QVQLQESGGGLVQPGGSLRLSCAVSGFTLAYSNIGWFRQAPEKEREGVSCISGRGGKTEYVDSVKGRFTISRDNTKNTVYLQMNSLRPEDTAVYYCAAKMTTSLYVCDVNSNGMDYWGKGTQVTVSS | 0non-binder |
QVQLQESGGGLVQSGGSLRLSCAASGFTLDSYVIAWFRQAPGKEREAVSCISSSDGKTYYANSVNGRFTISRDNAENTVYLQMNSLKPEDTAVYYCAAEHMTGSLSLVFSLCAISYKYDYWGQGTQVTVSS | 0non-binder |
QVQLQESGGGLVQPGGSLRLSCAASGFTFSIYAMSWVRQAPGKGLEWVSDINSAGDSTYYLDSVKGRFTISRDNAKNTVYLQMDRLKPEDTAVYYCATDRRSTIVRMPRRTDFGSWGQGTQVTVSS | 0non-binder |
QVQLQESGGGLVQAGGSLRLSCAASGRTFSSVDMAWFRQAPGKEREFVAAITKSGGNTIYAESVKGRFTISRDNAENTVYLQMNSLEPEDTAVYYCAADRYYGASYSQASYDYWGQGTQVTVSS | 0non-binder |
QVQLQESGGGLVQAGGSLRLSCAASGISFSISAMAWYRQTPGKQRELVAVISSGGSTKYADSAKGRFTISRDNAKNTVYLQMNSLKPEDTAVYYCAADPSNTIAVVPYYYGMEYWGKGTQVTVSS | 0non-binder |
QVQLQESGGGLVQAGGSLRLSCAASGRTFSKNTMGWFRQAPGKEREFVAAINWSGGITDYEDSVKGRFIISRDNAKNTVYLQMNSLKPEDTAVYYCAAAQRPYGVLKVGDYEYDYWGQGTQVTVSS | 0non-binder |
QVQLQGSGGGLVLPGGSLKLSCQASGLTFSIYAMSWVRQAPGKGLEWVSDINSDGDNQYYADSVKGRFTISRDNAKNTVDLQMNSLKPEDTGVYYCATDRRATIARMVTRTDFGSWGQGTQVTVSS | 0non-binder |
QVQLQESGGGLAQPGGSLRLSCAASGFTFSSSTMSWARQAPGKGLEWVSGIYADGSNTYYADSVKGRFTISRDNAKNTVYLQMNSLKPDDTAVYYCAIGIRVEERQGYWGQGTQVTVSS | 0non-binder |
QVQLQESGGGLVQPGGSLRLSCAASGSTLDYSIGWFRQAPGKEREGVSCISSSDGSTYYADSVKGRFTMSRDNAKNTVYLQMNSLKPEDTAVYYCATSIAASLMCNTWYGYDYWGQGTQVTVSS | 0non-binder |
QVQLQESGGGLVQPGGSLRLSCAASGSTLDYYAIGWFRQAPGKEREGVSCISGSAGITNYADSVKGRFTISRDNAENTVYLQMNSLKPEDTAVYYCAAKWSWGTTEQVLCSMTSTYDYWGQGTQVTVSS | 0non-binder |
QVQLQESGGGLGLPGGSLKLSCQASGLTFSIYAMSWVRQAPGKGLEWVSDINSDGDNQYYADSVKGRFTISRDNAKNTVDLQMNSLKPEDTGVYYCATDRRATIARMVTRTDFGSWGQGTQVTVSS | 0non-binder |
QVQLQESGGGLVQAGGSMRLSCTASGFTFDDDYAIGWFRQAPGKEREEVACISVSDGSTYYADSVKGRFTISSDNAKNTVYLQMNSLKPKDTAVYYCAAEEGTITTAHAMGIMLGDAWGQGTQVTVSS | 0non-binder |
QVQLQESGGGLVQAGGSLRLSCAASGRTASAYAMGWFRQAPGKGRDFVGAISDGSTWYADSVKGRFTISRDNAKNTVYLQMNSLKPEDTAVYCCTAGPALGRWDYWGQGTQVTVSS | 0non-binder |
QVQLQESGGGLVQPGGSLRLSCAASGFTFSTFWMYWLRQAPGKGLEWVSSIAPDGDNTRYVDSVKGRFTISRDNAKNALYLQMNNLESEDTSVYYCARPGGGSSYYPFYDYWGQGTQVTSSH | 0non-binder |
QVQLQESGGGLVQPGGSLRLSCAASGFTFSNFWMYWVRQGPGEGLEWISKIYSGSDNSYYADAVKGRFTISRDNAKNTLYLQMSSLKAEDTAVYYCVKATAGGPGYDYWGQGTQVTVSS | 0non-binder |
QVQLQESGGGLVQFGGSLRLSCVASGFTIGYYAIGWFRQAPGKEREGVSCISSSGGSTYYADSVNGRFTISRDNAENTAYLQMDSLKPEDTAVYYCVAHPEPYCTGVDGTETPDEYWGQGTQVTVSS | 0non-binder |
QVQLQESGGGLVQPGGSLRLSCAASGFTFMNYVMYWVRQAPGKGLEWVSGINHRGNSTWYADSVRGRFTVSRDNAKNTLLLQMNSLKSEDTAVYYCARDANGTDRGQGTQVTVSS | 0non-binder |
QVQLQESGGGLVQPGGSLRLSCKTSEFTLDHYAIGWFRQAPGKEREGVSCISSSDGSTSYADSVKGRFTISRDNAKNTVYLQMNSLKPEDTAVYYCATQRRQRGWCGTYFPERDFGSWGQGTQVTVSS | 0non-binder |
QVQLQESGGGLVQAGDSLRLSCAASGRTFSSYNMGWFLQAPGKEREFVAVITWSGGSTYYADSVKGRFTISRDNARSTVYLQMNSLKPEDTAVYYCARQLGGSYYIPRGYDSWGQGTQVTVSS | 0non-binder |
QVQLQESGGGLVQAGGSLRLSCAASGSIFRINTMGWFRQAPGKQRELVAAITSRGSTNYADSVKGRFTISRDNGKNTLYLQMNSLKSEDTAVYYCAGDGSDYVGKYEWDWWGQGTQVTVSS | 0non-binder |
QVQLQESGGGLVQAGGSLRVSCTASGRTFSTYQMGWSRQAPGKEREFVAGISRSGSSTYYADSVKGRFTISRDNAKNTVYLQMNSLKPEDTASYYCAADGDPYHYNYERVGEYDYWGQGTQVTVSS | 0non-binder |
QVQLQESGGGLVQPGGSLRLSCATSGFTFRYYAIGWFRQAPGKERERVSCISDSGSSTEYADSVKGRFTISRDNAENTVYLQMNSLKPEDTAVYYCATRDIAGRLCSDKLDDYDYWGHGTQVTVSS | 0non-binder |
QVQLQESGGGLVQAGGSLRLSCVASGLTFSTYPMGWFRQAPGKEREFVAAVGLSGGGTLYADSVKGRFTIARDNAKNTLYLQMGSLKPEDTAVYSCARGAYRWGPPSSSLHHYDYWGQGTQVTVSS | 0non-binder |
QMQLQESGGGLVLPGGSLKLSCQASGLTFSIYAMSWVRQAPGKGLEWVSDINSDGDNQYYADSVKGRFTISRDNAKNTVDLQMNSLKPEDTGVYYCATDRRATIARMVTRTDFGSWGQGTQVTVSS | 0non-binder |
QVQLQESGGGLVQPGGSLRLSCAASGFTFDDYDMSWVRQAPGKGLEWVSSLYIFMGNTYYADSVKGRFTISTDNAKNTLYLQMNSLKSEDTAVYYCALRRRRWLSYDYWGQGTQVTVSS | 0non-binder |
QVQLQESGGGLVQPGGSLRLSCAASGFTFSTYAMSWVRQYPGKGLEWVSHIWSGGGITSYADSVKGRFTISRDNAKNTLYLQMNSLKPEDTAVYYCCSRSFDLLSTDYWGQGTQVTVSS | 0non-binder |
QVQLQESGGGLVKPGGSLRLSCQASGLTFSIYAMSWVRQAPGKGLEWVSDINSDGDNQYYADSVKGRFTISRDNASNTVDLQMNSLKAEDTGVYYCATDRRATIRRMPTRADFGSWGQGTQVTVSS | 0non-binder |
QVQLQESGGGLVLPGGSLKLSCQASGLTFSIYAMSWVRQAPGKGLEWVSDINSDGDNQYYADSVKGRFTISRDNAKNTVDLQMNSLKPEDTGVYYCATDRWATIARMVTRTDFGSWGQGTQVTVSS | 0non-binder |
QVQLQESGGGLVQAGGSLRLSCAASGGSFSSYAMGWFRQAPGKERELIAGISKKGFRTYYVDSVKGRFTISRDNAKNTVYLQMNSLNPDDTAVYYCAATDLQTTGGRSDRYDYWGQGTQVTVSS | 0non-binder |
QVQLQESGGGLAQPGGSLRLACVASGFTFSNYAMTWARQAPGHGLEWISGIVSDGSDTYYDDSVKGRFTISRDNAKNTLYLHIDKLEPEDSAVYYCATNGPHRALAPFGTWGQGTQVTVSS | 0non-binder |
QVQLQESGGGLVQPGGSLRLSCAASGFIFSVYDMSWVRQAPGKGLEWVAGINNGGSTTYTDSVKGRFTISRDNGKKMLFLQMNSLKPEDTAVYFCTKDDPGSRTLGGQGTQVTVSS | 0non-binder |
QVQLQESGGGLAQPGGSLRLSCAASGFTFSSYAMSWARQAPGKGLEWVSGIYSDGSDTYYADSVKGRFTISRDNAKNTVYLQMNSLKPEDTALYYCARGDYGLGTIKPWEYDYWGQGTQVTVSS | 0non-binder |
QVQLQESGGGLVLPGGSLKLSCQASGLTFSIYAMSWVRQAPGKGLEWVSDINSDGENQYYADSVKGRFTISRDNAKNTVDLQMNSLKPEDTGVYYCATDRRATIARMVTRTDFGSWGQGTQVTVSS | 0non-binder |
QVQLQESGGGLVRPGGSLRLSCTASGFTFSTYYMNWVRQAPGKGLEWVSDINGDGINTYYADSVKGRFTISRDNAKNMTYLQMNSLKPEDTALYYCTRDSAQGFGKWGQGTQVTVSS | 0non-binder |
QVQLQESGGGLVLPGGSLKLSCQASGLTFSIYAMSWVRQAPGKGLEWVSDINSDGDNQYYADSVKGRFTISRDNAKNTVDLQMNCLKPEDTGVYYCATDRRATIARMVTRTDFGSWGQGTQVTVSS | 0non-binder |
QVQLQESGGGLVQPGGSLRLSCVASGLTFSIYAMSWVRQAPGKGLEWVSDINSDGDSTYYADSVKGRFTISRDNAKNTVYLQMDRLKPEDTAVYYCATDRRSTIVRMPRRDDFGSWGQGTQVTVSS | 0non-binder |
QVQLQESGGGLVQPGGTLRLSCAASGFTLGDYAIGWFRQAPGKAREGVSCITRRDGSAYSADSVKGRFTISRDNAKNTVYLQMNSLKPEDTAVYYCAADSYTDFDERCNYSDAEFWGKGTQVTVSS | 0non-binder |
QVQLQESGGGLVQPGGSLRLSCSASGSTLTYYAIGWFRQAPGKEREGVSCISGSGRHTNYADSVKGRFTISRDSAKNAVYLQMNSLKPEDTAVYYCAAQKGNVQAMCVIQDLYDNWGQGTQVTVSS | 0non-binder |
QVQLQESGGGLVQAGGSLRLSCAASGLTFSRYGMGWFRQAPGKEREFVAAIRWSGGSTAYADSVKGRFTISRDNAKNTVYLQMNSLKPEDTAVYYCAAAWLKLGHVQGEYGYWGQGTQVTVSS | 0non-binder |
QVQLQESGGGLVQPGGSLTLSCAASGFAFANYDMRWVRQAPGKGAEVVSAINSGDGSTYYAESVKGRFTISRDNAKNMLYLQMNSLKPEDTGVYYCTTKGAAPPGQGTQVTVSS | 0non-binder |
QVQLQESGGGLVQPGGSLRLSCAASGFTFSSYAMSWVRQAPGKGLEWVSAINTGGGSTSYADSVKGRFTISRDNAKNTLYLQMNSLKPEDTAVYYCAKDLVENYSGSYYYPIYEYDYWGQGTQVTVSS | 0non-binder |
QVQLQESGGGLVQAGGSLRLSCAASGRAFSSYTMGWFRQAPGKERDFVAAISQSGGSTTYADSVKGRFTISRDNAKNTVYLQMNSLKPEDTAVYYCAAIISWYGHSRRERYNYWGQGTQVTVSS | 0non-binder |
QVQLQESGGGLVQAGGSLRLSCADSGRIFSSYVMGWFRQAPGKEREFVAAITWSGSRIYYADSVKGRFTISSDNAKNTVYLQMNSLKPEDTAIYYCAAERPGTGGYDYWGQGTQVTVSS | 0non-binder |
QVQLQESGGGLVQAGDSPRLSCAASGRTFSSYNMGWFRQAPGKEREFVAVITWSGGSTYYADSVKGRFTISRDNARSTVYLQMNSLKPEDTAVYYCARQLGGSYYIPRGYDSWGQGTQVTVSS | 0non-binder |
QVQLQESGGGLVQPGGSLRLSCAASGFTISAIAWFRQAPGKEREGVSCISSGSGLTEYADSVKGRFTISRDKVTNTVYLQMNSLKPEDTAVYYCAADTWYYCSGYASRPYGYWGQGTQVTVSS | 0non-binder |
QVQLQESGGGLVQAGGSLRLSCAASGPFFGSYAMAWFRQPPGKEREFVAAIDWNGGNTYYADSVKGRFAISRDNAKNTMYLQMNTLKPEDTALYYCASDQFVSSWYDHYEYTYWGQGTQVTVSS | 0non-binder |
QVQLQESGGGLVQPGGSLRLSCAASGLTFSIYAMSWVRQAPGKGLEWVSDINSGGDSTYYADSVKGRFTIYRDNAKNTVYLQMDRLKPEDTAVYYCATDRRSTIVAMPRRTDFGSWGQGTQVTVSS | 0non-binder |
QVQLQESGGGLVLPGGSLKLSCQASGLTFSIYAMSWVRQAPGKGLEWVSDINSDGDNQYYADSVKGRFTISRDNAKNTVYLQMNSLKPEDTAVYFCAKPSGWDWGQGTQVTVSS | 0non-binder |
QVQLQESGGGSVQAGGSLRLSCAASGHTFRNYAMGWFRQAPGKEREFVATISWSGSSTNYADSVKGRFTISRDNAKNTVYLQMNSLKPEDTAVYYCAADYLGVRATSEYDYDYWGQGTQVTVSS | 0non-binder |
QVQLQESGGGLVQAGGSLRLSCAASGSTFSLNEMGWYRQAPGKQREAVASIHTGDGSTNYADSVKGRFTISRDKAKNTMYLQMNSLKPEDTAVYYCNARMVVSTTPDYNDVDYWGKGTQVTVSS | 0non-binder |
QVQLQESGGGLVQPGGSLRLSCTTSGFTFRSYYMSWVRQAPGKGPEWVSTIQTNGARTRYVDSVKGRLTTSRDNAKNTLYLQMNDLKPEDTARYYCARAPLGAWGNERYEYDYWGQGTQVTVSS | 0non-binder |
QVQLQESGGGLVQPGGSLRLSCAASGFTFSTFAMSWARQAPGKGLEWVSGFYSDGSTYYTDSVQGRFTVSRDDAKKMVYLQMNSLQSEDTARYYCAIDPWYIGVNYYSGDYWGQGTQVTVSS | 0non-binder |
QVQLQESGGGLVQAGGSLRVSCTASGRTFSTYQMGWFRQAPGKEREFVASISRSGSSTYYADSVKGRFTISRDNAKNTVYLQMNSLKPEDTASYYCAADGDPYHYNYERVGEYDYWGQGTQVTVSS | 0non-binder |
QVQLQESGGGLVQPGGSLILSCTASGFTFSDYWMYWLRQAPGQGLEWISAINHLGDVDSTYYVDSVKGRFTISRDNTKNTLYLQMNSLKSEDTAVYYCAKDQREIYGSLPPNYDIKGQGTQVTVSS | 0non-binder |
QVQLQESGGGLVQPGGSLRLSCAASGFTLDYYNIGWFRQAPGKERKGVSCISGRGGSTRYADSVKGRFTIFRDNAKNTVYLQMDSLKSEDTAVFYCAADRFPDPCSLATTPLSGREYDYWGQGTQVTVSS | 0non-binder |
QVQLQESGGGLVQPGGSLRLSCAASGFTLDYYAIGWFRQAPGKEREGVSCISSSGGSTNYADSVKGRFTISRDNAKNTVYLQMNSLKPEDTAVYYCAAQQWDYYCSGYEYDYWGQGTQVTVSS | 0non-binder |
QVQLQESGGGLVQAGGSLRVSCTASGRTFSTYQMGWFRQAPGKEREFVAGISRSGSSTYYADSVKGRFTISRDNAKNTGYLQMNSLKPEDTASYYCAADGDPYHYNYERVGEYDYWGQGTQVTVSS | 0non-binder |
QVQLQESGGGLVQPGGSLRLSCAASGFTLDYYAIAWFRQAPGKEREGVSCISSSGGSTNYADSGKGRFTISRDNAKNTVYLEINSLKPEDTAVYYCAAAWNTGSFRLCVLRNLKFDYWGQGTQVTVSS | 0non-binder |
QVQLQESGGGLVQAGGSLRLSCATSGRTFSMYAVGWFRQAPGKEREFVASISWHGGSTYYADSVKGRFTISRDNANAKNMVFLQMNSLNSEDTSVYYCAAQTRAGGSYYLTGPYEYDYWGQGTQVTVSS | 0non-binder |
QVQLQESGGGLVLPGGSLKLSCQASGLTFSIYAMSWVRQAPGKGLEWVSDINSDGDNQYYADSVKGRFTISRDNAKNTVDLQMNSLKPEDTGVYYCATDRSATIARMVTRTDFGSWGQGTQVTVSS | 0non-binder |
QVQLQESGGGLVQAGGSLRVSCTASGRTFSTYQMGWFRQAPGKEREFVAGISRSGSSTYYADSVKGRFTISRDNAKNTVYLLMNSLKPEDTASYYCAADGDPYHYNYERVGEYDYWGQGTQVTVSS | 0non-binder |
QVQLQESGGGLVQPGGSLRLSCAASGFTFSKYAMNWVRQAPGKGLEWVSGISSGGSTNYADSVKGRFTISRDNTKNTLYLQMNGLKPEDTAVYYCAMGSQRGQGTQVTVSS | 0non-binder |
QVQLQESGGGLVQPGGSLRLSCAASGFTFSTYHMSWVRQAPGKGLEWVSDINRGGTSTYYADSVKGRFTISRDNAKNTVYLQMNSLKPEDTSVYYCAKCKYNWRRCASDEYDYRGQGTQVTVSS | 0non-binder |
QVQLQESGGGLVQAGGSLRLSCVVSGRTFSAYAMEWFRQAPGKEREFVAGISGSGYSTYYADSVKGRFTISRDNAKNTVLLQMNSLKPEDTAVYYCASEPYWGQGTQVTVSS | 0non-binder |
QVQLQESGGGLVQPGGSLRLSCAASGFTLSSYAMSWVRQAPGKGLEWVSGINSGGGSTSYADSVKGRFTISRDNAKNTLYLQMNSLKPEDTAVYYCAEWWPSNYSPYWGQGTQVTVSS | 0non-binder |
QVQLQESGGGLVQPGGSLRLSCAASGFTFSSYHMTWVRQAPGKGLEWVSDITSDSRHTYYADSVKGRFTVSRDNAKNTVYLQMNSLNTEDTAVYYCAKDSGDSYEDYWGKGTQVTVSS | 0non-binder |
QVQLQESGGGLVQAGGSLRLSCAASGSTNSINAMGWYRQAPGKQRELVAVIASAGGDTNYADSVKGRFTISRDSAKNTLSLQMNSLKPEDTAVYYCNAVVGGKGPWTNLKYYGVDYWGKGTQVTVSS | 0non-binder |
QVQLQESGGGLVQPGGSLRLSCAASGFTFSSYAMSWVREPPGKGLEWVSGINTGGDKTTYRDSVKGRFTISRDNAQNTLYLQMNNLLPEDTAVYYCVKKTGDLTLDSGDWDREKYDAWGQGTQVTVSS | 0non-binder |
QVQLQESGGGLVQPGGSLRLSCAASGFTFSNYWMYWVRQGPGKGLEWVSSISNLGRSTYYADSVKGRFTISRDNAKNTMYLLMSSLKSEDTAVYYCANSFNLGAILGQGTQVTVSS | 0non-binder |
QVQLQESGGGLVQAGGSLRVSCSASGRTFSRHVMGWFRRAPGKEREFVAGISWSGGTTYYADSVEGRFTISRDNGKNTVYLQMNSLKPEDTAVYYCAADPRPRVVGGLLADFGSWGQGTQVTVSS | 0non-binder |
QVQLQESGGGLVQPGGSLRLSCAASGFTVTTYAMSWVRQAPGKGLEWVSTINPGGGRISYVDSVKGRFTISRDNAKNTLYLQMNSLKPEDTAVYYCGVGDGSSWRGQGTQVTVSS | 0non-binder |
QVQLQESGGGLVQPGGALRLSCAASGFEFAVYAMSWVRQAPGKGLEWVAAINSGSNTIDYADSVKGRFAISRDNAQNMLYLQMNNLKPEDTAVYYCAKPPTKLSFTAVTGLEKGHGTQVTVSS | 0non-binder |
QVQLQESGGGLVQPGGSLRLSCAASGFNTDHYAIGWFRQAPGKEREGVSCISSSSGNTNYADSVKGRFTISRDDAKNTVYLQMNSLKPEDTAVYYCASYRTIVRNMCQMLSDRYRYWGQGTQVTVSS | 0non-binder |
QVQLQESGGGLVQPGGSLRLSCAASGFNLDVYAIGWFRQAPGKEREGVSCISHSDYSTYYADSVKGRFTISRDNGKNTVSLQMNSLEPEDTAVYYCARALDYRSIATMNPPLWDTWGQGTQVTVSS | 0non-binder |
QVQLQESGGGLVQPGGSLRLSCAASGFAFSTYWMYWVRQAPGKGLEWVSCINTDGGATYYADSVKGRFTISRDNAKNTLYLQMNSLKSEDTAVYYCLNLAEAIIAGDWGQGTQVTVSS | 0non-binder |
QVQLQESGGGLVQAGGSLRLSCVASGRTFSSYAMGWFRQAPGKEREFVSAIGRSIGTYYADSVKGRFTISRDNAKNTVFLQMNSLKPEDTAVYFCAAGGSYYRSTERDYNYWGQGTQVTVSS | 0non-binder |
QVQLQESGGGLVQAGGSLRLSCVASGLTFSSSAMGWFRQAPGKEREFVAAISRSGGGTWYADSVKGRFTISRDNAKNTVYLQMNSLKPEDTAVYYCVADTAAILASKTWSRWKYWGQGTQVTVSS | 0non-binder |
QVQLQESGGGLVQAGGSLRLSCVASGLTFSGSAMGWFRQAPGKEREFVAAISWSGGGTWYADSVKGRFTISRDNAKNTVYLQMNSLKPEDTAVYYCVADTAAILASKTWSRWKYWGQGTQVTVSS | 0non-binder |
QVQLQESGGGLVQPGGSLKLSCVASGFTLSNYAIGWFRQAPGKEREGVSCINSSGSSTNYADSVKGRFTVSRDNGKNTVYLQMNSLKPEDTAVYYCASVIYSLQGMCAQRARAYRGQGTQVTVSS | 0non-binder |
QVQLQESGGGLVQPGGSLRLACAASGSTLHEYHIGWFRQAPGKEREGVSCISADSGGHTYYADSVKGRFTISRDNVKNTVYLQMNSLKPEDTAVYYCAADRVTTVWGMCVMTRYLDLIDDWGRGTQVTVSS | 0non-binder |
QVQLQESGGGLVQPGGSLRLSCTASGFTLDYYAIGWFRQAPGKEREGVSIMSGSDGSTYYADSVQGRFTISRDNAMNTVYLQMNNLKPEDTAVYYCAAEPYIGPINLYYSDSQRPEFGSWGQGTQVTVSS | 0non-binder |
QVQLQESGGGLVQPGGSLRLSCAASGFTLDYYNIGWFRQAPGKERKGVSCISGRGGSTRYADSVKGRFTIFRDNAKNTVYLQTDSLKSEDTAVYYCAADRFPDPCSLATTPLSGREYDYWGQGTQVTVSS | 0non-binder |
QVQLQESGGGLVQPGDSLRLSCAASGFTFGSYDMYWVRQAPGKGPEWVSHINSGGGSTYYADSVKGRFTISRDNAKNTLYLQMNSLKPEDTAVYYCATIYNDYGYDYWGQGTQVTSSH | 0non-binder |
QVQLQESGGGLVQAGGSMRLSCVASGRTFSPYAMAWFRQAPGKEREFVSALNWDGESTYYSDSVKGRFTISRDNAKNTMYLQMNGLKAEDTAVYYCAGRYHQAPSGLPSVYEVWGQGTQVTVSS | 0non-binder |
QVQLQESGGGLVQPGGSLRLSCAASASIFGLNTMGWYRQAPGKQRELVATITSGGSTNYADSVKGRFTISRDNAKDTMYLQMNSLKTEDTAVYYCNRNSTSWLFTWGQGTQVTVSS | 0non-binder |
QVQLQESGGGLVQPGGSLRLSCQASGLTFSIYAMSWVRQAPGKGLEWVSDINSDGDNTYYADSVKGRFTISRDNAKNTVDLQMNSLKPEDTGVYYCATDRRATIARMVTRADFGSWGQGTQVTVSS | 0non-binder |
QVQLQESGGGLVQPGGSLRLSCAASGFTFDDYTMNWVRQAPGKGLEWVSSITWNSRSTYYVESMKGRFTISRDNAKNTLYLHMNSLKSEDTAVYYCARTGTDWGASYDYWGQGTQVTVSS | 0non-binder |
QVQLQESGGGLVKPGGSLRLSCQASGLTFSIYAMSWVRQAPGKGLEWVSDINSDGDNQYYADSVKGRFTISRDNAKNTVDLQMNSLKPEDTGVYYCATDRRATIARMVTRADFGSWGQGTQVTVSS | 0non-binder |
QVQLQESGGGLVQPGGSLRLSCAASGFTFSNYYMNWVRRGPGKGLEWVSDIDSGGGTTYYADSVKGRFTISRDNAKNTLYLQMNSLTPEDTALYYCATGGATMREYKTWGQGTQVTVSS | 0non-binder |
QVQLQESGGGLVQPGGSLRLSCAASGFTFSSSSMSWARQAPGKGLEWVSGIYSDGSIHYADSVKGRFTISRDNAKNTVYLQINSLKPEDTAVYYCAARTGATPYDYWGQGTQVTVSS | 0non-binder |
QVQLQESGGGLVQPGGSLRLSCAASGFTFSMSVMSWARQAPGKGLEWVSAIWSDDITGYADSVKGRFTISRDNVKNTVSLEMNSLKPEDTAVYYCREHALGNWGQGTQVTVSS | 0non-binder |
QVQLQESGGGLVQPGGSLRLSCAASGFTFGSYDMSWVRQAPGKGPEWVSSINSGGGSTYYANSVKGRFTISRDNAKNTLYLQMNSLKPEDTAVYYCATDQGLVGAPHRYRGQGTQVTVSS | 0non-binder |
QVQLQESGGGLVQPGGSLRLSCAASGFTFSHYYMSWVRQAPGKGLEWVSDISSSGGTQYYADSVKGRFTISRDNAKNTLYLQMSNLTPEDTALYTCARGPGTAVAPLSEYWGRGTQVTVSS | 0non-binder |
QVQLQESGGGLVQPGGSLRLSCAASGFTFSINAMSWVRQAPGKGLEWVSDINSGGGSTSYADSVKGRFTISRDNAKNTLYLEMNSLKPEDTAVYYCLKKAGGYRGKGTQVTVSS | 0non-binder |
QVQLQESGGGLVQPGGSLRLSCAASGFSLDYYAIGWFRQAPGKEREGVSCISSNDGETYYPDSVKGRFTISRDNAKNTVYLQMNSLKPEDTAVYYCAADRDYRAVVAGIDAMDFWGKGTQVTVSS | 0non-binder |
QVQLQESGGGLVQPGGSLRLSCAASGFSLDGYAIGWFRQAPGKEREGVSRIGNSGGVTKYADSVKGRFTISTDNAKGTVYLQMNNLRPEDTAVYYCAAKIPNGYCSNYVLREGGRHYDYWGQGTQVTVSS | 0non-binder |
QVQLQESGGGLVQPGGSLRLSCAASGFTLDYYAIGWFRQAPGKEREGLLCISSSGGSTNYADSVKGRFTISRDNAKNTVYLQMNSLKPEDTASYYCTARWGDCTITTLRYSYRGQGTQVTVSS | 0non-binder |
QVQLQESGGGLVQPGGSLRLSCAASGFTLDYYAIGWFRQAPGKEREGVSCISSSGGSTNYADSVKGRFTISRDNAKNTVYLQMNSLKPEDTAVYYCAAAVWKKFYYSDYAKPDEYDYWGQGTQVTVSS | 0non-binder |
QVQLQESGGGLVQPGGSLRLSCAASGFTLDYYNIGWFRQAPGKGRKGVSCISGRGGSIRYADSVKGRFTIFRDNAKNTVYLQMDSLKSEDTAVYYCAADRFPDPCSLATTPLSGREYDYWGQGTQVTVSS | 0non-binder |
Human IL-6 binding dataset
Nanobodies binding IL-6 were obtained from the Github repo for Tsuruta et al. (2023). Labels for antibody sequences were provided from the Github repo as-is.
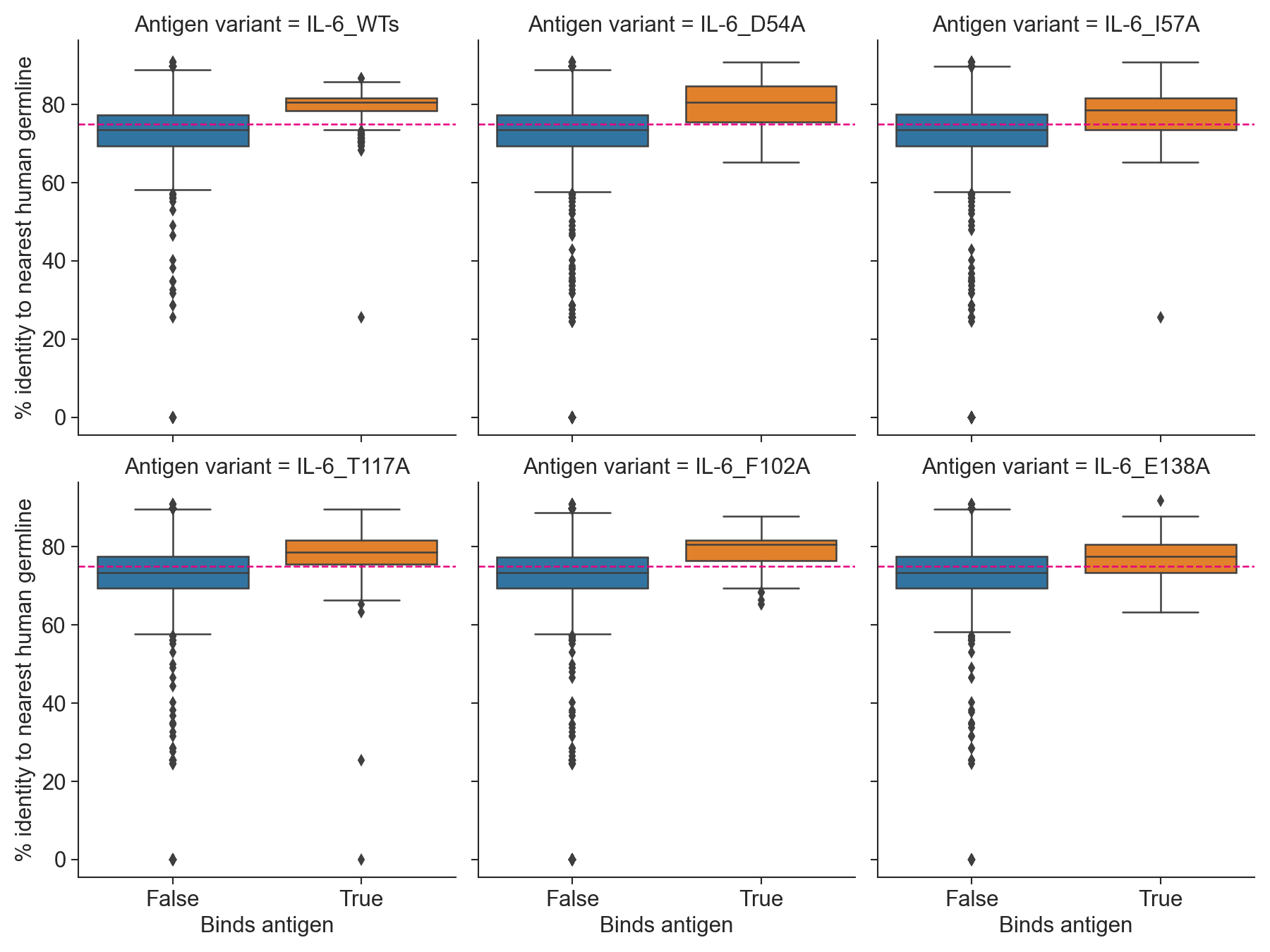
Briefly, we first removed any nanobody sequence having lower than 75%; human germline sequence identity was determined using ANARCI. 
Among the remaining 232084 sequences, we only use antibodies that have confirmed binding to one IL-6 variant or has no binding to any IL-6 variant, leading to 211920 sequences. This was de-duplicated, leading to a total of 14,467 sequences. Non-binder sequences were randomly under-sampled using imbalanced-learn.
During stratification, we also ensure that any two sequences in the training/validation/test sets have a minimum Levenshtein distance of 1 across the CDR3 region.
In total there are
- 1310 sequences in training
- 163 sequences in validation
- 163 sequences in test.
| vh_full | label |
|---|---|
| EVQ... | 1 |
| QVQ... | 0 |
| EVQ... | 1 |
| EVK... | 0 |
License
The data is distributed under a CC-BY-NC 4.0 license.
References
- Downloads last month
- 95