images images listlengths 0 7 | problem stringlengths 1 1.49k | answer stringclasses 79 values |
|---|---|---|
一质点沿 $x$ 轴运动的规律是 $x=t^{2}-4 t+5(\mathrm{SI})$ 。则前 3 s 内它的()。
A.位移和路程都是 3 m
B.位移和路程都是 -3 m
C.位移是 -3 m ,路程是 3 m
D.位移是 -3 m ,路程是 5 m | D | |
一细直杆 $A B$ ,坚直靠在墙壁上,$B$ 端沿水平方向以速度 $v$ 滑离墙壁,则当细杆运动到图示位置时,细杆中点 $C$ 的速度 。
A.大小为 $v / 2$ ,方向与 $B$ 端运动方向相同
B.大小为 $v / 2$ ,方向与 $A$ 端运动方向相同
C.大小为 $v / 2$ ,方向沿杆身方向
D.大小为 $v /(2 \cos \theta)$ ,方向与水平方向成 $\theta$ 角 | A | |
质点沿轨道 $A B$ 作曲线运动,速率逐渐减小,图中哪一种情

题2图
况正确地表示了质点在 $C$ 处的加速度?

题3图
$\_\_\_\_$
$\_\_\_\_$
$\_\_\_\_$ | A | |
一质点的运动方程是 $\boldsymbol{r}=R \cos \omega t \boldsymbol{i}+R \sin \omega t \boldsymbol{j}, R$ 、 $\omega$ 为正常数。从 $t=\pi / \omega$ 到 $t=2 \pi / \omega$时间内,该质点的位移是()。
A.$-2 R i$
B. $2 R \boldsymbol{i}$
C.$-2 j$
D. 0 | C | |
一质点的运动方程是 $\boldsymbol{r}=R \cos \omega t \boldsymbol{i}+R \sin \omega t \boldsymbol{j}, R$ 、 $\omega$ 为正常数。从 $t=\pi / \omega$ 到 $t=2 \pi / \omega$时间内,该质点经过的路程是( )。
A. $2 R$
B.$\pi R$
C. 0
D.$\pi R \omega$ | A | |
下列说法正确的是( )。
A.质点作圆周运动时的加速度指向圆心
B.匀速圆周运动的加速度为常量
C.只有法向加速度的运动一定是圆周运动
D.只有切向加速度的运动一定是直线运动 | C | |
根据瞬时速度的定义及其坐标表示,它的大小可表示为( )。
(1)$\frac{\mathrm{d} r}{\mathrm{~d} t}$
(2)$\left|\frac{\mathrm{d} \boldsymbol{r}}{\mathrm{d} t}\right|$
(3)$\frac{\mathrm{d} s}{\mathrm{~d} t}$
(4)$\left|\frac{\mathrm{d} x}{\mathrm{~d} t} \boldsymbol{i}+\frac{\mathrm{d} y}{\mathrm{~d} t} \boldsymbol{j}+\frac{\mathrm{d} z}{\mathrm{~d} t} \boldsymbol{k}\right|$
(5)$\left[\left(\frac{\mathrm{d} x}{\mathrm{~d} t}\right)^{2}+\left(\frac{\mathrm{d} y}{\mathrm{~d} t}\right)^{2}+\left(\frac{\mathrm{d} z}{\mathrm{~d} t}\right)^{2}\right]^{1 / 2}$
A.只有(1)、(4)正确
B.只有(2)、(3)、(4)、(5)正确
C.只有(2)、(3)正确
D.全部正确 | D | |
一质点沿 $x$ 轴作直线运动,运动方程为 $x(t)=5+3 t^{2}-t^{3}(\mathrm{SI})$ ,则其运动情况是( )。
A. $0<t<1 \mathrm{~s}$ 内,质点沿 $x$ 轴负向作加速运动
B. $1 s<t<2 \mathrm{~s}$ 内,质点沿 $x$ 轴正向作减速运动
C.$t>2 \mathrm{~s}$ 时,质点沿 $x$ 轴正向作减速运动
D.质点一直沿 $x$ 轴正向作加速运动 | B | |
一质点在平面上运动,已知质点位置矢量的表示式为 $\boldsymbol{r}(t)=\left(3 t^{2}+2\right) \boldsymbol{i}+6 t^{2} \boldsymbol{j}$ ,则该质点作( )。
A.匀速直线运动
B.变速直线运动
C.抛物线运动
D.一般曲线运动 | D | |
以初速率 $v_{0}$ 将一物体斜向上抛,拋射角为 $\theta$ ,忽略空气阻力,则物体飞行轨道最高点处的曲率半径是( )。
A.$v_{0} \sin \theta / g$
B.$v_{0}^{2} / g$
C.$v_{0}^{2} \cos ^{2} \theta / g$
D.$v_{0}^{2} \sin ^{2} \theta / 2 g$ | D | |
如图所示,质量为 $m$ 的物体用平行于斜面的细线连接置于光滑的斜面上,若斜面向左方作加速运动,当物体刚脱离斜面时,它的加速度的大小为( 。
A.$g \sin \theta$
B.$g \cos \theta$
C.$g \tan \theta$
D.$g \cot \theta$

题 1 图 | D | |
用水平力 $\boldsymbol{F}_{\mathrm{N}}$ 把一个物体压着靠在粗糙的坚直墙面上保持静止,当 $\boldsymbol{F}_{\mathrm{N}}$ 逐渐增大时,物体所受的静摩擦力 $\boldsymbol{F}_{1}$ 的大小 。
A.不为零,但保持不变
B.随 $\boldsymbol{F}_{\mathrm{N}}$ 成正比地增大
C.开始随 $\boldsymbol{F}_{\mathrm{N}}$ 增大,达到某一最大值后,就保持不变
D.无法确定 | A | |
一段路面水平的公路,转弯处轨道半径为 $R$ ,汽车轮胎与路面间的摩擦因数为 $\mu$ ,要使汽车不至于发生侧向打滑,汽车在该处的行驶速率 。
A.不得小于 $\sqrt{\mu g R}$
B.必须等于 $\sqrt{\mu g R}$
C.不得大于 $\sqrt{\mu g R}$
D.还应由汽车的质量 $m$ 决定
$\_\_\_\_$
$\_\_\_\_$
$\_\_\_\_$ | A | |
一物体沿固定圆弧形光滑轨道由静止下滑,在下滑过程中 。
A.它的加速度方向永远指向圆心,其速率保持不变
B.它受到的轨道的作用力的大小不断增加
C.它受到的合外力大小变化,方向永远指向圆心
D.它受到的合外力大小不变,其速率不断增加 | C | |
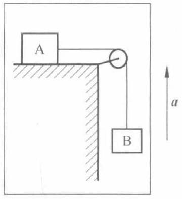
图示系统置于以 $a=1 / 4 g$ 的加速度上升的升降机内, $\mathrm{A} 、 \mathrm{~B}$两物体质量相同均为 $m$ ,A 所在的桌面是水平的,绳子和定滑轮质量均不计,若忽略滑轮轴上和桌面上的摩擦,并不计空气阻力,则绳中张力为 )。
A. $5 / 8 m g$
B. $1 / 2 m g$
C.$m g$
D. $2 m g$ | A | |
对质点系有以下几种说法:
(1)质点系总动量的改变与内力无关

题 5 图
(2)质点系总动能的改变与内力无关
(3)质点系机械能的改变与保守内力无关
下列对上述说法判断正确的是 。
A.只有(1)是正确的
B.(1)、(2)是正确的
C.(1)、(3)是正确的
D.(2)、(3)是正确的 | C | |
有两个倾角不同、高度相同、质量一样的斜面放在光滑的水平面上,斜面是光滑的,有两个一样的物块分别从这两个斜面的顶点由静止开始滑下,则 。
A.物块到达斜面底端时的动量相等
B.物块到达斜面底端时动能相等
C.物块和斜面(以及地球)组成的系统,机械能不守恒
D.物块和斜面组成的系统水平方向上动量守恒 | D | |
对功的概念有以下几种说法:
(1)保守力做正功时,系统内相应的势能增加
(2)质点运动经一闭合路径,保守力对质点做的功为零
(3)作用力和反作用力大小相等、方向相反,所以两者所做功的代数和必为零下列上述说法中判断正确的是 。
A.(1)、(2)是正确的
B.(2)、(3)是正确的
C.只有(2)是正确的
D.只有(3)是正确的 | B | |
如图所示,质量分别为 $m_{1}$ 和 $m_{2}$ 的物体 A 和 B ,置于光滑桌面上, A 和 B 之间连有一轻弹簧。另有质量为 $m_{1}$ 和 $m_{2}$ 的物体 C 和 D 分别置于物体 A 与 B 之上,且物体 A 和 $\mathrm{C} 、 \mathrm{~B}$和 D 之间的摩擦因数均不为零。首先用外力沿水平方向相向推压 A 和 B ,使弹簧被压缩,然后撤掉外力,则在 A 和 B 弹开的过程中,对 $\mathrm{A} 、 \mathrm{~B} 、 \mathrm{C} 、 \mathrm{D}$ 以及弹簧组成的系统,有 。
A.动量守恒,机械能守恒
B.动量不守恒,机械能守恒
C.动量不守恒,机械能不守恒
D.动量守恒,机械能不一定守恒 | D | |
如图所示,子弹射入放在水平光滑地面上静止的木块后穿出。以地面为参考系,下列说法中正确的是 。
A.子弹减少的动能转变为木块的动能
B.子弹-木块系统的机械能守恒
C.子弹动能的减少等于子弹克服木块阻力所做的功
D.子弹克服木块阻力所做的功等于这一过程中产生的热

题9图

题10图 | D | |
两个匀质圆盘 A 和 B 的密度分别为 $\rho_{\mathrm{A}}$ 和 $\rho_{\mathrm{B}}$ ,且 $\rho_{\mathrm{A}}>\rho_{\mathrm{B}}$ ,但两圆盘质量和厚度相同。如两盘对通过盘心垂直于盘面的轴的转动惯量分别为 $J_{\mathrm{A}}$ 和 $J_{\mathrm{B}}$ ,则 。
A.$J_{\mathrm{A}}>J_{\mathrm{B}}$
B.$J_{\mathrm{B}}>J_{\mathrm{A}}$
C.$J_{\mathrm{A}}=J_{\mathrm{B}}$
D.不能确定 | D | |
下列说法中哪个或哪些是正确的?
(1)作用在定轴转动刚体上的力越大,刚体转动的角加速度应越大
(2)作用在定轴转动刚体上的合力矩越大,刚体转动的角速度越大
(3)作用在定轴转动刚体上的合力矩为零,刚体转动的角速度为零
(4)作用在定轴转动刚体上合力矩越大,刚体转动的角加速度越大
(5)作用在定轴转动刚体上的合力矩为零,刚体转动的角加速度为零
A.(1)和(2)是正确的
B.(2)和(3)是正确的
C.(3)和(4)是正确的
D.(4)和(5)是正确的 | A | |
关于力矩有以下几种说法:
(1)对某个定轴转动刚体而言,内力矩不会改变刚体的角加速度;
(2)一对作用力和反作用力对同一轴的力矩之和必为零;
(3)质量相等、形状和大小不同的两个刚体,在相同力矩的作用下,它们的运动状态一定相同。
对上述说法,下述判断正确的是:
A.只有(2)是正确的
B.(1)、(2)是正确的
C.(2)、(3)是正确的
D.(1)、(2)、(3)都是正确的 | A | |
一均匀圆盘状飞轮质量为 20 kg ,半径为 30 cm ,当它以 $60 \mathrm{r} \cdot \mathrm{min}^{-1}$ 的速率旋转时,其动能为 。
A. $16.2 \pi^{2} \mathrm{~J}$
B. $8.1 \pi^{2} \mathrm{~J}$
C. 8.1 J
D. $1.8 \pi^{2} \mathrm{~J}$ | C | |
长为 $l$ 质量为 $m$ 的均匀细棒,绕一端点在水平面内作匀速率转动,已知棒中心点的线速率为 $v$ ,则细棒的转动动能为 。
A.$\frac{1}{2} m v^{2}$
B.$\frac{2}{3} m v^{2}$
C.$\frac{1}{6} m v^{2}$
D.$\frac{1}{24} m v^{2}$ | A | |
刚体绕定轴作匀变速转动时,刚体上距轴为 $r$ 的任一点的 。
A.切向、法向加速度的大小均随时间变化
B.切向、法向加速度的大小均保持恒定
C.切向加速度的大小恒定,法向加速度的大小变化
D.法向加速度的大小恒定,切向加速度的大小变化 | C | |
一轻绳绕在具有水平转轴的定滑轮上,绳下端挂一物体,物体的质量为 $m$ ,此时滑轮的角加速度为 $\beta$ 。若将物体卸掉,而用大小等于 $m g$ 、方向向下的力拉绳子,则滑轮的角加速度将 。
A.变大
B.变小
C.不变
D.无法判断 | D | |
花样滑冰运动员绕通过自身的坚直轴转动,开始时两臂伸开,转动惯量为 $J$ ,角速度为 $\omega$ ;然后将两手臂合拢,使其转动惯量变为 $2 / 3 \mathrm{~J}$ ,则转动角速度变为 。
A.$\omega / 3$
B. $3 \omega / 2$
C.$\omega / 2$
D.$\sqrt{3} \omega / 2$ | B | |
有两个半径相同、质量相等的细圆环 A 和 B 。 A 环的质量分布均匀, B 环的质量分布不均匀。它们对通过环心并与环面垂直的轴的转动惯量分别为 $J_{\mathrm{A}}$ 和 $J_{\mathrm{B}}$ ,则(
A.$J_{\mathrm{A}}>J_{\mathrm{B}}$
B.$J_{\mathrm{A}}<J_{\mathrm{B}}$
C.$J_{\mathrm{A}}=J_{\mathrm{B}}$
D.不能确定 $J_{\mathrm{A}} 、 J_{\mathrm{B}}$ 哪个大 | D | |
如图所示,光滑的水平桌面上,有一长为 $2 L$ 、质量为 $m$ 的匀质细杆,可绕过其中点且垂直于杆的坚直光滑固定轴 $O$ 自由转动,其转动惯量为 $1 / 3 m L^{2}$ ,起初杆静止。桌面上有两个质量均为 $m$ 的小球,各自在垂直于杆的方向上,正对着杆的一端,以相同的速率 $v$ 相向运动。当两小球同时与杆的两个端点发生完全非弹性碰撞后与杆粘在一起转动,则这一系统碰撞后的转动角速度为 。

(俯视图)
题 10 图
A.$\frac{2 v}{3 L}$
B.$\frac{4 v}{5 L}$
C.$\frac{6 v}{7 L}$
D.$\frac{8 v}{9 L}$ | D | |
关于高斯定理的理解有下面几种说法,其中正确的是 。
A.如果高斯面上 $E$ 处处为零,则该面内必无电荷
B.如果高斯面内无电荷,则高斯面上 $E$ 处处为零
C.如果高斯面上 $E$ 处处不为零,则高斯面内必有电荷
D.如果高斯面内有电荷,则通过高斯面的电场强度通量必不为零 | D | |
两个同心的均匀带电球面,内球面半径为 $R_{1}$ 、带有电荷 $Q_{1}$ ,外球面半径为 $R_{2}$ 、带有电荷 $Q_{2}$ ,则在内球面里面距离球心为 $r\left(r<R_{1}<R_{2}\right)$ 处的 $P$ 点的场强大小 $E$ 为 。
A.$\frac{Q_{1}+Q_{2}}{4 \pi \varepsilon_{0} r^{2}}$
B.$\frac{Q_{1}}{4 \pi \varepsilon_{0} R_{1}^{2}}+\frac{Q_{2}}{4 \pi \varepsilon_{0} R_{2}^{2}}$
C.$\frac{Q_{1}}{4 \pi \varepsilon_{0} r^{2}}$
D. 0 | A | |
在已知静电场分布的条件下,任意两点 $P_{1}$ 和 $P_{2}$ 之间的电势差决定于 。
A.$P_{1}$ 和 $P_{2}$ 两点的位置
B.$P_{1}$ 和 $P_{2}$ 两点处的电场强度的大小和方向
C.试验电荷所带电荷的正负
D.试验电荷的电荷大小 | A | |
关于电场强度定义式 $\boldsymbol{E}=\frac{\boldsymbol{F}}{q_{0}}$ ,下列说法中正确的是( 。
A.电场强度 $\boldsymbol{E}$ 的大小与试探电荷 $q_{0}$ 的大小成反比
$\_\_\_\_$
$\_\_\_\_$
$\_\_\_\_$
B.对场中某点,试探电荷受力 $\boldsymbol{F}$ 与 $q_{0}$ 的比值不因 $q_{0}$ 而变
C.试探电荷受力 $\boldsymbol{F}$ 的方向就是电场强度 $\boldsymbol{E}$ 的方向
D.若场中某点不放试探电荷 $q_{0}$ ,则 $F=0$ ,从而 $E=0$ | C | |
下面列出的真空中静电场的电场强度公式,其中正确的是 。
A.点电荷 $q$ 的电场强度 $\boldsymbol{E}=\frac{q}{4 \pi \varepsilon_{0} r^{2}}$( $r$ 为点电荷到场点的距离)
B."无限长"均匀带电直线(电荷线密度 $\lambda$ )的电场强度 $\boldsymbol{E}=\frac{\lambda}{2 \pi \varepsilon_{0} r} r(r$ 为带电直线到场点的垂直于直线的矢量)
C."无限大"均匀带电平面(电荷面密度 $\sigma$ )的电场强度 $\boldsymbol{E}=\frac{\sigma}{2 \varepsilon_{0}}$
D.半径为 $R$ 的均匀带电球面(电荷面密度 $\sigma$ )外的电场强度 $\boldsymbol{E}=\frac{\sigma R^{2}}{\varepsilon_{0} r^{3}} \boldsymbol{r}(\boldsymbol{r}$ 为球心到场点的矢量) | A | |
真空中有两个点电荷 $M 、 N$ ,相互间作用力为 $F$ ,当另一点电荷 $Q$ 移近这两个点电荷时,$M 、 N$ 两点电荷之间的作用力 。
A.大小不变,方向改变
B.大小改变,方向不变
C.大小和方向都不变
D.大小和方向都改变 | C | |
真空中 $\mathrm{A} 、 \mathrm{~B}$ 两平行金属板,相距 $d$ ,板面积为无限大,各带电 $+q$ 和 $-q$ ,两板间作用力的大小为 。
A.$\frac{q^{2}}{\varepsilon_{0} S}$
B.$\frac{q^{2}}{4 \pi \varepsilon_{0} d}$
C.$\frac{q^{2}}{2 \varepsilon_{0} S}$
D.$\frac{q^{2}}{2 \varepsilon_{0} S d}$ | D | |
半径为 $r$ 均匀带电球面 1 ,带电量为 $q$ ;其外有一同心半径为 $R$ 的均匀带电球面 2 ,带电量为 $Q$ ,则此两球面之间的电势差 $U_{1}-U_{2}$ 为 。
A.$\frac{q}{4 \pi \varepsilon_{0}}\left(\frac{1}{r}-\frac{1}{R}\right)$
B.$\frac{Q}{4 \pi \varepsilon_{0}}\left(\frac{1}{R}-\frac{1}{r}\right)$
C.$\frac{1}{4 \pi \varepsilon_{0}}\left(\frac{q}{r}-\frac{Q}{R}\right)$
D.$\frac{q}{4 \pi \varepsilon_{0} r}$ | B | |
一点电荷放在球形高斯面的球心处,下列情况使高斯面的通量发生变化的是 。
A.点电荷离开球心,但仍在球面内
B.有另一个电荷放在球面外
C.有另一个电荷放在球面内
D.此高斯面被一正方体表面代表 | D | |
一均匀带电球面,若球内电场强度处处为零,则球面上的带电量 $\sigma \mathrm{d} S$ 面元在球面内产生的电场强度是 。
A.处处为零
B.不一定为零
C.一定不为零
D.是常数 | D | |
带电导体达到静电平衡时,其正确结论是( )。
A.导体表面上曲率半径小处电荷密度较小
B.表面曲率较小处电势较高
C.导体内部任一点电势都为零
D.导体内任一点与其表面上任一点的电势差等于零 | D | |
当平行板电容器充电后,去掉电源,在两极板间充满电介质,其正确的结果是( )。
A.极板上自由电荷减少
B.两极板间电势差变大
C.两极板间电场强度变小
D.两极板间电场强度不变 | A | |
在一个原来不带电的外表面为球形的空腔导体 $A$ 内,放有一带电量为 $+Q$ 的带电导体 $B$ ,如图所示,则比较空腔导体 $A$ 的电势 $U_{A}$ 和导体 $B$ 的电势 $U_{B}$ 时,可得以下结论( )。
A.$U_{A}=U_{B}$
B.$U_{A}>U_{B}$
C.$U_{A}<U_{B}$

题3图
D.因空腔形状不是球形,两者无法比较 | A | |
一导体球外充满相对介电常量为 $\varepsilon_{r}$ 的均匀电介质,若测得导体表面附近场强为 $E$ ,则导体球面上的自由电荷面密度 $\sigma_{0}$ 为( )。
A.$\varepsilon_{0} E$
B.$\varepsilon_{0} \varepsilon_{\mathrm{r}} E$
C.$\varepsilon_{\mathrm{r}} E$
D.$\left(\varepsilon_{0} \varepsilon_{\mathrm{r}}-\varepsilon_{0}\right) E$ | C | |
两个同心薄金属球壳,半径分别为 $R_{1}$ 和 $R_{2}\left(R_{1}<R_{2}\right)$ ,若内球壳带上电荷 $Q$ ,则两者的电势分别为 $U_{1}=\frac{Q}{4 \pi \varepsilon_{0} R_{1}}$ 和 $U_{2}=\frac{Q}{4 \pi \varepsilon_{0} R_{2}}$(选无穷远处为电势零点)。现用导线将两球壳相连接,则它们的电势为()。
A.$U_{1}$
B.$\frac{1}{2}\left(U_{1}+U_{2}\right)$
C.$U_{1}+U_{2}$
D.$U_{2}$ | A | |
一个不带电的空腔导体球壳,内半径为 $R$ 。在腔内离球心的距离为 $a$ 处放一点电荷 $+q$ ,如图所示。用导线把球壳接地后,再把地线撤去。选无穷远处为电势零点,则球心 $O$处的电势为 。
A.$\frac{q}{2 \pi \varepsilon_{0} a}$
B. 0
C.$-\frac{q}{4 \pi \varepsilon_{0} R}$
D.$\frac{q}{4 \pi \varepsilon_{0}}\left(\frac{1}{a}-\frac{1}{R}\right)$

题 6 图

题7 图 | C | |
三块互相平行的导体板之间的距离 $d_{1}$ 和 $d_{2}$ 比板面积线度小得多,如果 $d_{2}=2 d_{1}$ ,外面二板用导线连接,中间板上带电。设左右两面上电荷面密度分别为 $\sigma_{1}$ 和 $\sigma_{2}$ ,如图所示,则 $\sigma_{1} / \sigma_{2}$ 为 。
A. 1
B. 2
C. 3
D. 4 | D | |
一均匀带电球体如图所示,总电荷为 $+Q$ ,其外部同心地罩一内、外半径分别为 $r_{1} 、 r_{2}$的金属球壳。设无穷远处为电势零点,则在球壳内半径为 $r$ 的 $P$ 点处的场强和电势分别为 。
A.$\frac{Q}{4 \pi \varepsilon_{0} r^{2}}, 0$
B. $0, \frac{Q}{4 \pi \varepsilon_{0} r_{2}}$
C. $0, \frac{Q}{4 \pi \varepsilon_{0} r}$
D. 0,0 | B | |
一"无限大"均匀带电平面 $A$ ,其附近放一与它平行的有一定厚度的"无限大"平面导体板 $B$ ,如图所示。已知 $A$ 上的电荷面密度为 $+\sigma$ ,则在导体板 $B$ 的两个表面 1 和 2 上的电荷面密度为 。

题8图

题9图
$\_\_\_\_$
$\_\_\_\_$
$\_\_\_\_$
A.$\sigma_{1}=-\sigma, \sigma_{2}=+\sigma$
B.$\sigma_{1}=-\frac{1}{2} \sigma, \sigma_{2}=+\frac{1}{2} \sigma$
C.$\sigma_{1}=-\frac{1}{2} \sigma, \sigma_{2}=-\frac{1}{2} \sigma$
D.$\sigma_{1}=-\sigma, \sigma_{2}=0$ | D | |
一个平行板电容器,充电后断开电源,使电容器两极板间距离变小,则两极板间的电势差 $U_{12}$ 、电场强度的大小 $E$ 、电场能量 $W$ 将发生如下变化:( )。
A.$U_{12}$ 减小,$E$ 减小,$W$ 减小
B.$U_{12}$ 增大,$E$ 增大,$W$ 增大
C.$U_{12}$ 增大,$E$ 不变,$W$ 增大
D.$U_{12}$ 减小,$E$ 不变,$W$ 减小 | D | |
如图所示,在无限长载流直导线附近作一球形闭合曲面 $S$ ,当球面 $S$ 向长直导线靠近时,穿过球面 $S$ 的磁通量 $\Phi$ 和面上各点的磁感应强度 $B$ 将如何变化?
A.$\Phi$ 增大,$B$ 也增大
B.$\Phi$ 不变,$B$ 也不变
C.$\Phi$ 增大,$B$ 不变
D.$\Phi$ 不变,$B$ 增大 | D | |
如图所示,两个载有相等电流 $I$ 的半径为 $R$ 的圆线圈,一个处于水平位置,一个处于坚直位置,两个线圈的圆心重合,则在圆心 $O$ 处的磁感应强度大小为( )。
A. 0
B.$\mu_{0} I / 2 R$
C.$\sqrt{2} \mu_{0} I / 2 R$
D.$\mu_{0} I / R$

题 1 图

题2图 | A | |
如图所示,有一无限大通有电流的扁平铜片,宽度为 $a$ ,厚度不计,电流 $I$ 在铜片上均匀分布,在铜片外与铜片共面,离铜片左边缘为 $b$处的 $P$ 点的磁感强度的大小为( )。
A.$\frac{\mu_{0} I}{2 \pi(a+b)}$
B.$\frac{\mu_{0} I}{2 \pi b} \ln \frac{a+b}{a}$
C.$\frac{\mu_{0} I}{2 \pi a} \ln \frac{a+b}{b}$
D.$\frac{\mu_{0} I}{2 \pi[(a / 2)+b]}$

题3图 | A | |
一根很长的电缆线由两个同轴的圆柱面导体组成,若这两个圆柱面的半径分别为 $R_{1}$ 和 $R_{2}\left(R_{1}<R_{2}\right)$ ,通有等值反向电流,那么下列哪幅图正确反映了电流产生的磁感应强度随径向距离的变化关系?( )

A.

B.

C.

D. | C | |
有一半径为 $R$ 的单匝圆线圈,通有电流 $I$ ,若将该导线弯成匝数 $N=2$ 的平面圆线圈,导线长度不变,并通以同样的电流,则线圈中心的磁感强度和线圈的磁矩分别是原来的()。
A. 4 倍和 $1 / 8$
B. 4 倍和 $1 / 2$
C. 2 倍和 $1 / 4$
D. 2 倍和 $1 / 2$ | A | |
两根长度相同的细导线分别多层密绕在半径为 $R$ 和 $r$ 的两个长直圆筒上形成两个螺线管,两个螺线管的长度相同,$R=2 r$ ,螺线管通过的电流相同,为 $I$ ,螺线管中的磁感强度大小 $B_{R} 、 B_{r}$ 满足( )。
A.$B_{R}=2 B_{r}$
B.$B_{R}=B_{r}$
C. $2 B_{R}=B_{r}$
D.$B_{R}=4 B_{r}$ | C | |
一个半径为 $r$ 的半球面如图放在均匀磁场中,通过半球面的磁通量为()。
A. $2 \pi r^{2} B$
B.$\pi r^{2} B$
C. $2 \pi r^{2} B \cos \alpha$
D.$\pi r^{2} B \cos \alpha$ | D | |
下列说法正确的是( )。
A.闭合回路上各点磁感应强度都为零时,回路内一定没有电流穿过
B.闭合回路上各点磁感应强度都为零时,回路内穿过电流

题 7 图
的代数和必定为零
C.磁感应强度沿闭合回路的积分为零时,回路上各点的磁感应强度必定为零
D.磁感应强度沿闭合回路的积分不为零时,回路上任意一点的磁感应强度都不可能为零 | B | |
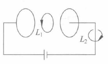
如图所示,在图(a)和(b)中各有一半径相同的圆形回路 $L_{1} 、 L_{2}$ ,圆周内有电流 $I_{1}$ 、 $I_{2}$ ,其分布相同,且均在真空中,但在图(b)中 $L_{2}$ 回路外有电流 $I_{3}, P_{1} 、 P_{2}$ 为两圆形回路上的对应点,则()。
A.$\oint_{L_{1}} \boldsymbol{B} \cdot \mathrm{~d} \boldsymbol{l}=\oint_{L_{2}} \boldsymbol{B} \cdot \mathrm{~d} \boldsymbol{l}, B_{P_{1}}=B_{P_{2}}$
B.$\oint_{L_{1}} \boldsymbol{B} \cdot \mathrm{~d} \boldsymbol{l} \neq \oint_{L_{2}} \boldsymbol{B} \cdot \mathrm{~d} \boldsymbol{l}, B_{P_{1}}=B_{P_{2}}$
C.$\oint_{L_{1}} \boldsymbol{B} \cdot \mathrm{~d} \boldsymbol{l}=\oint_{L_{2}} \boldsymbol{B} \cdot \mathrm{~d} \boldsymbol{l}, B_{P_{1}} \neq B_{P_{2}}$
D.$\oint_{L_{1}} \boldsymbol{B} \cdot \mathrm{~d} \boldsymbol{l} \neq \oint_{L_{2}} \boldsymbol{B} \cdot \mathrm{~d} \boldsymbol{l}, B_{P_{1}} \neq B_{P_{2}}$

题9图
$\_\_\_\_$
$\_\_\_\_$
$\_\_\_\_$ | D | |
半径为 $R$ 的圆柱形无限长载流直导体置于均匀无限大磁介质之中,若导体中流过的恒定电流为 $I$ ,磁介质的相对磁导率为 $\mu_{\mathrm{r}}\left(\mu_{\mathrm{r}}<1\right)$ ,则磁介质内的磁化强度为()。
A.$-\left(\mu_{\mathrm{r}}-1\right) I / 2 \pi r$
B.$\left(\mu_{r}-1\right) I / 2 \pi r$
C.$-\mu_{\mathrm{r}} I / 2 \pi r$
D.$I / 2 \pi \mu_{\mathrm{r}} r$ | D | |
将形状完全相同的铜环和木环放置在交变磁场中,并假设通过两环面的磁通量随时间的变化率相等,不计自感,则 。
A.铜环中有感生电动势,木环中无感生电动势
B.铜环中有感生电流,木环中无感生电流
C.铜环中有感生电流,木环中有感生电流
D.铜环中感生电场强度大,木环中感生电场强度小 | D | |
关于位移电流,下列说法正确的是 。
A.位移电流的本质是变化的磁场
B.位移电流是由电荷的定向运动形成的
C.位移电流服从传导电流遵循的所有定律
D.位移电流的磁效应不服从安培环流定律 | A | |
将一根导线弯成半径为 $R$ 的 $3 / 4$ 圆弧 $a b c d$ 置于均匀的磁场 $\boldsymbol{B}$ 中, $\boldsymbol{B}$ 的方向垂直于导线平面,如图所示,当导线沿 $a O d$ 的角平分线方向以速度 $v$ 向右运动时,导线中的电动势 $\varepsilon_{i}$ 的大小为 。
A. 0
B.$v B R$
C.$\sqrt{2} v B R$
D.$\frac{\sqrt{2}}{2} v B R$

题3图 | A | |
真空中一长直螺线管通有电流 $I_{1}$ 时,储存的磁能为 $W_{1}$ ,若螺线管充以相对磁导率 $\mu_{r}=$ 4 的磁介质,且电流增加为 $I_{2}=2 I_{1}$ ,螺线管中储存的磁场能量为 $W_{2}$ ,则 $W_{1}: W_{2}$ 为( )。
A. $1: 8$
B. $1: 4$
C. $1: 2$
D. $1: 1$ | C | |
如图所示,棒 $A D$ 长为 $L$ ,在匀强磁场 $\boldsymbol{B}$ 中绕 $O O^{\prime}$ 转动。角速度为 $\boldsymbol{\omega}, A C=\frac{L}{3}$ 。则 $A 、 D$ 两点间电势差为()。
A.$U_{D}-U_{A}=\frac{1}{6} B \omega L^{2}$
B.$U_{A}-U_{D}=\frac{1}{6} B \omega L^{2}$
C.$U_{D}-U_{A}=\frac{2}{9} B \omega L^{2}$
D.$U_{A}-U_{D}=\frac{2}{9} B \omega L^{2}$ | A | |
如图所示,线圈与一通有恒定电流的直导线在同一平面内,下列说法正确的是( )。
A.当线圈远离导线运动时,线圈中有感应电动势
B.当线圈上下平行运动时,线圈中有感应电流
C.直导线中的电流强度越大,线圈中的感应电流也越大
D.以上说法都不对

题5图

题 6 图 | C | |
一个通有电流 $I$ 的导体,厚度为 $D$ ,横截面积为 $S$ ,放在磁感应强度为 $\boldsymbol{B}$ 的匀强磁场中,磁场方向如图所示。现测得导体上下两面电势差为 $U$ ,则此导体的霍尔系数等于( )。
A.$U D /(I B)$
B.$I B U /(D S)$
C.$U S /(I B D)$
D.$I U S /(B D)$ | D | |
如图所示,平板电容器(忽略边缘效应)充电时,沿环路 $L_{1} 、 L_{2}$ 磁场强度为 $\boldsymbol{H}$ 的环流中,必有( )。
A.$\oint_{L_{1}} \boldsymbol{H} \cdot \mathrm{~d} \boldsymbol{l}>\oint_{L_{2}} \boldsymbol{H} \cdot \mathrm{~d} \boldsymbol{l}$
B.$\oint_{L_{1}} \boldsymbol{H} \cdot \mathrm{~d} \boldsymbol{l}=\oint_{L_{2}} \boldsymbol{H} \cdot \mathrm{~d} \boldsymbol{l}$
C.$\oint_{L_{1}} \boldsymbol{H} \cdot \mathrm{~d} \boldsymbol{l}<\oint_{L_{2}} \boldsymbol{H} \cdot \mathrm{~d} \boldsymbol{l}$
D.$\oint_{L_{1}} \boldsymbol{H} \cdot \mathrm{~d} \boldsymbol{l}=0$

题7图

题8图
$\_\_\_\_$
$\_\_\_\_$
$\_\_\_\_$ | B | |
电磁波的电场强度 $\boldsymbol{E}$ 、磁场强度 $\boldsymbol{H}$ 和传播速度 $\boldsymbol{u}$ 的关系是( )。
A.三者互相垂直,而且 $\boldsymbol{E}$ 和 $\boldsymbol{H}$ 相位相差 $\pi / 2$
B.三者互相垂直,而且 $\boldsymbol{E} 、 \boldsymbol{H} 、 \boldsymbol{u}$ 构成右手螺旋直角坐标系
C.三者中 $\boldsymbol{E}$ 和 $\boldsymbol{H}$ 是同方向的,但都与 $\boldsymbol{u}$ 垂直
D.三者中 $\boldsymbol{E}$ 和 $\boldsymbol{H}$ 可以是任意方向,但都必须与 $\boldsymbol{u}$ 垂直 | D | |
如图所示,一导体棒 $a b$ 在均匀磁场中沿金属导轨向右作匀加速运动,磁场方向垂直导轨所在平面。若导轨电阻忽略不计,并设铁芯磁导率为常数,则达到稳定后电容器的 $M$ 极板上( )。
A.带有一定量的正电荷
B.带有一定量的负电荷
C.带有越来越多的正电荷

题 10 图
D.带有越来越多的负电荷 | D | |
如图所示是一作简谐运动的物体的振动图像,下列说法错误的是 。
A.振动周期是 $2 \times 10^{-2} \mathrm{~s}$
B.第二个 $1 \times 10^{-2} \mathrm{~s}$ 内物体的位移是 -10 cm
C.物体的振动频率是 25 Hz
D.物体的振幅是 10 cm

题 1 图 | D | |
两个相同的单摆静止于平衡位置,使摆球分别以水平初速 $v_{1} 、 v_{2}\left(v_{1}>v_{2}\right)$ 在坚直平面内作小角度摆动,其频率与振幅分别为 $\nu_{1} 、 \nu_{2}$ 和 $A_{1} 、 A_{2}$ ,则 。
A.$\nu_{1}>\nu_{2}, A_{1}=A_{2}$
B.$\nu_{1}<\nu_{2}, A_{1}=A_{2}$
C.$\nu_{1}=\nu_{2}, A_{1}>A_{2}$
D.$\nu_{1}=\nu_{2}, A_{1}<A_{2}$ | A | |
一个质点作简谐振动,振幅为 $A$ ,在起始时刻质点的位移为 $\frac{1}{2} A$ ,且向 $x$ 轴的正方向运动,代表此简谐振动的旋转矢量图为
A.

B.

C.

D.
 | A | |
两个质点各自作简谐振动,其振幅相同,周期相同,第一个质点的振动方程为 $x_{1}= A \cos \left(\omega t+\varphi_{0}\right)$ ,当第一个质点从相对于其平衡位置的正位移处回到平衡位置时,第二个质点正在最大正位移处,则第二个质点的振动方程为 。
A.$x_{2}=A \cos \left(\omega t+\varphi_{0}+\frac{1}{2} \pi\right)$
B.$x_{2}=A \cos \left(\omega t+\varphi_{0}-\frac{1}{2} \pi\right)$
C.$x_{2}=A \cos \left(\omega t+\varphi_{0}-\frac{3}{2} \pi\right)$
D.$x_{2}=A \cos \left(\omega t+\varphi_{0}+\pi\right)$ | C | |
一质点作简谐振动,振动方程为 $x=A \cos \left(\omega t+\varphi_{0}\right)$ ,当 $t=\frac{T}{2}$( $T$ 为周期)时,质点的速度为 。
A.$v=-A \omega \sin \varphi_{0}$
B.$v=A \omega \sin \varphi_{0}$
C.$v=-A \omega \cos \varphi_{0}$
D.$v=A \omega \cos \varphi_{0}$ | A | |
对一个作简谐振动的物体,下列哪种说法是正确的?
A.物体处在最大正位移处,速度和加速度为最大值
B.物体位于平衡位置时,速度和加速度为 0
C.物体位于平衡位置时,速度最大,加速度为 0
D.物体在最大负位移处,速度最大,加速度为 0 | C | |
一弹簧振子作简谐振动,总能量为 $E_{1}$ ,如果简谐振动振幅增加为原来的两倍,重物的质量增为原来的 4 倍,则它的总能量 $E_{2}$ 变为 。
A.$E_{1}$
B. $2 E_{1}$
C. $4 E_{1}$
D. $8 E_{1}$ | D | |
如图所示,一根用绝缘材料制成的轻弹簧,劲度系数为 $k$ ,一端固定,另一端与质量为 $m$ 、带电荷量为 $+q$ 的小球相连,静止在光滑绝缘水平面上的 $A$ 点,当施加水平向右的匀强电场 $E$ 后,小球从静止开始在 $A 、 B$ 之间作简谐振动,在弹性限度内下列关于小球运动情况说法正确的是 。
A.小球在 $A 、 B$ 的速度为零而加速度相同
B.小球简谐振动的振幅为 $\frac{2 q E}{k}$
C.从 $A$ 到 $B$ 的过程中,小球和弹簧系统的机械能不断增大

题8图
D.将小球由 $A$ 的左侧一点由静止释放,小球简谐振动的周期增大 | B | |
坚直弹簧振子,简谐振动周期为 $T$ ,将小球放人水中,水的浮力恒定,其他阻力不计,若使振子沿坚直方向振动起来,则 。
A.振子仍作简谐振动,但周期小于 $T$
$\_\_\_\_$
$\_\_\_\_$
$\_\_\_\_$
B.振子仍作简谐振动,但周期大于 $T$
C.振子仍作简谐振动,且周期等于 $T$
D.振子不再作简谐振动 | D | |
一质点同时参与两个在同一直线上的简谐振动,振动方程分别为 $x_{1}= 4 \cos \left(2 t+\frac{\pi}{6}\right)$ 和 $x_{2}=3 \cos \left(2 t+\frac{7 \pi}{6}\right)$ ,则关于合振动有结论: 。
A.振幅为 1 ,初相为 $\pi$
B.振幅为 7 ,初相为 $\frac{4 \pi}{3}$
C.振幅为 1 ,初相为 $\frac{7 \pi}{6}$
D.振幅为 1 ,初相为 $\frac{\pi}{6}$ | D | |
图(a)表示 $t=0$ 时的简谐波的波形图,波沿 $x$ 轴正方向传播,图(b)为一质点的振动曲线。则图(a)中所表示的 $x=0$ 处振动的初相位与图(b)所表示的振动的初相位分别为 。

题 1 图
A.均为零
B.均为 $\frac{\pi}{2}$
C.均为 $-\frac{\pi}{2}$
D.$\frac{\pi}{2}$ 与 $-\frac{\pi}{2}$ | D | |
机械波的表达式为 $y=0.05 \cos (6 \pi t+0.06 \pi x)(\mathrm{m})$ ,则 。
A.波长为 100 m
B.波速为 $10 \mathrm{~m} / \mathrm{s}$
C.周期为 $1 / 3 \mathrm{~s}$
D.波沿 $x$ 轴正方向传播 | A | |
关于波速,以下说法中错误的是 。
A.振动状态传播的速度等于波速
B.相位传播的速度等于波速
C.能量传播的速度等于波速
D.质点振动的速度等于波速 | A | |
如图所示,两列波长为 $\lambda$ 的相干波在点 $P$ 相遇。波在点 $S_{1}$ 振动的初相是 $\varphi_{1}$ ,点 $S_{1}$ 到点 $P$ 的距离是 $r_{1}$ 。波在点 $S_{2}$ 的初相是 $\varphi_{2}$ ,点 $S_{2}$ 到点 $P$ 的距离是 $r_{2}$ 。以 $k$ 代表零或正、负整数,则点 $P$ 是干涉极大的条件为()。
A.$r_{2}-r_{1}=k \pi$
B.$\varphi_{2}-\varphi_{1}=2 k \pi$
C.$\varphi_{2}-\varphi_{1}+2 \pi\left(r_{2}-r_{1}\right) / \lambda=2 k \pi$
D.$\varphi_{2}-\varphi_{1}+2 \pi\left(r_{1}-r_{2}\right) / \lambda=2 k \pi$ | C | |
在驻波中,两个相邻波节间各质点的振动()。
A.振幅相同,相位相同
B.振幅不同,相位相同
C.振幅相同,相位不同
D.振幅不同,相位不同 | A | |
一平面简谐波,沿 $x$ 轴负方向传播,角频率为 $\omega$ ,波速为 $u$ 。设 $t=T / 4$ 时刻的波形如图所示,则该波的表达式为()。
A.$y=A \cos \omega(t-x u)$
B.$y=A \cos \left[\omega(t-x / u)+\frac{1}{2} \pi\right]$
C.$y=A \cos [\omega(t+x / u)]$
D.$y=A \cos [\omega(t+x / u)+\pi]$

题4图

题 6 图 | C | |
在波动传播的介质中,体积元若恰好运动到平衡位置,则该体积元中的波能量( )。
A.动能最大,势能最小
B.动能最小,势能最大
C.动能最小,势能最小
D.动能最大,势能最大 | D | |
当一平面简谐机械波在弹性介质中传播时,下述各结论哪个是正确的?()
A.介质质元的振动动能增大时,其弹性势能减小,总机械能守恒
B.介质质元的振动动能和弹性势能都作周期性变化,但二者的相位不相同
C.介质质元的振动动能和弹性势能的相位在任一时刻都相同,但二者的数值不相等
D.介质质元在其平衡位置处弹性势能最大 | B | |
波源作简谐运动,其运动方程为 $y=4.0 \times 10^{-3} \cos 240 \pi t$ ,式中 $y$ 的单位为 $\mathrm{m}, t$ 的单位为 s ,它所形成的波形以 $30 \mathrm{~m} / \mathrm{s}$ 的速度沿一直线传播,则该波的波长为()。
A. 0.25 m
B. 0.60 m
C. 0.50 m
D. 0.32 m | D | |
正在报警的警钟,每隔 0.5 s 响一声,有一人在以 $72 \mathrm{~km} / \mathrm{h}$ 的速度向警钟所在地驶去的火车里,这个人在 1 min 内听到的响声是( )(设声音在空气中的传播速度是 $340 \mathrm{~m} / \mathrm{s}$ )。
A. 113 次
B. 120 次
C. 127 次
D. 128 次 | D | |
在相同的时间内,一束波长为 $\lambda$ 的单色光在空气中和在玻璃中 。
A.传播的路程相等,走过的光程相等
B.传播的路程相等,走过的光程不相等
C.传播的路程不相等,走过的光程相等
D.传播的路程不相等,走过的光程不相等 | D | |
如图,$S_{1} 、 S_{2}$ 是两个相干光源,它们到 $P$ 点的距离分别为 $r_{1}$ 和 $r_{2}$ 。路径 $S_{1} P$ 垂直穿过一块厚度为 $t_{1}$ ,折射率为 $n_{1}$ 的介质板,路径 $S_{2} P$ 垂直穿过厚度为 $t_{2}$ ,折射率为 $n_{2}$ 的另一介质板,其余部分可看作真空,这两条路径的光程差等于 。
A.$\left(r_{2}+n_{2} t_{2}\right)-\left(r_{1}+n_{1} t_{1}\right)$
B.$\left[r_{2}+\left(n_{2}-1\right) t_{2}\right]-\left[r_{1}+\left(n_{1}-1\right) t_{1}\right]$
C.$\left(r_{2}-n_{2} t_{2}\right)-\left(r_{1}-n_{1} t_{1}\right)$

题2图
D.$n_{2} t_{2}-n_{1} t_{1}$
$\_\_\_\_$
$\_\_\_\_$
$\_\_\_\_$ | A | |
在图示三种透明材料构成的牛顿环装置中,用单色光垂直照射,在反射光中看到干涉条纹,则在接触点 $P$ 处形成的圆斑为()。
A.全明
B.全暗
C.右半部明,左半部暗
D.右半部暗,左半部明 | A | |
用劈尖干涉法可检测工件表面缺陷,当波长为 $\lambda$ 的单色平行光垂直人射时,若观察到的干涉条纹如图所示,每一条纹弯曲部分的顶点恰好与其左边条纹的直线部分的连线相切,则工件表面与条纹弯曲处对应的部分( )。
A.凸起,且高度为 $\lambda / 4$
B.凸起,且高度为 $\lambda / 2$
C.凹陷,且深度为 $\lambda / 2$
D.凹陷,且深度为 $\lambda / 4$

题3图

题4图 | C | |
在玻璃(折射率 $n_{3}=1.60$ )表面镀一层 $\mathrm{MgF}_{2}$(折射率 $n_{2}=1.38$ )薄膜作为增透膜。为了使波长为 $500 \mathrm{~nm} ~\left(1 \mathrm{~nm}=10^{-9} \mathrm{~m}\right) ~$ 的光从空气 $\left(n_{1}=1.00\right)$ 正人射时尽可能减少反射, $\mathrm{MgF}_{2}$ 薄膜的最小厚度应是( )。
A. 78.1 nm
B. 90.6 nm
C. 125 nm
D. 181 nm | A | |
在迈克耳孙干涉仪的一条光路中,放人一折射率为 $n$ ,厚度为 $d$ 的透明薄片,放人后,这条光路的光程改变了( )。
A. $2(n-1) d$
B. $2 n d$
C. $2(n-1) d+\lambda / 2$
D.$n d$ | C | |
在单缝夫琅禾费衍射实验中,波长为 $\lambda$ 的单色光垂直人射在宽度为 $a=4 \lambda$ 的单缝上,对应于衍射角为 $30^{\circ}$ 的方向,单缝处波阵面可分成的半波带数目为()。
A. 2 个
B. 4 个
C. 6 个
D. 8 个 | D | |
在单缝夫琅禾费衍射装置中,设中央明纹的衍射角范围很小。若使单缝宽度 $a$ 变为原来的 $3 / 2$ ,同时使人射的单色光的波长 $\lambda$ 变为原来的 $3 / 4$ ,则屏幕上单缝衍射条纹中央明纹的宽度 $\Delta x$ 将变为原来的( )。
A. $3 / 4$ 倍
B. $2 / 3$ 倍
C. $9 / 8$ 倍
D. $1 / 2$ 倍 | B | |
如果两个偏振片堆叠在一起,且偏振化方向之间夹角为 $60^{\circ}$ ,光强为 $I_{0}$ 的自然光垂直人射在偏振片上,则出射光强为( )。
A.$I_{0} / 8$
B.$I_{0} / 4$
C. $3 I_{0} / 8$
D. $3 I_{0} / 4$ | D | |
自然光以 $60^{\circ}$ 的人射角照射到某两介质交界面时,反射光为完全线偏振光,则折射光为( )。
A.完全线偏振光且折射角是 $30^{\circ}$
B.部分偏振光且只是在该光由真空人射到折射率为 $\sqrt{3}$ 的介质时,折射角是 $30^{\circ}$
C.部分偏振光,但须知两种介质的折射率才能确定折射角
D.部分偏振光且折射角是 $30^{\circ}$ | D |
End of preview. Expand
in Data Studio
No dataset card yet
- Downloads last month
- 6