problem
stringlengths 15
4.7k
| solution
stringlengths 2
11.9k
| answer
stringclasses 51
values | problem_type
stringclasses 8
values | question_type
stringclasses 4
values | problem_is_valid
stringclasses 1
value | solution_is_valid
stringclasses 1
value | source
stringclasses 6
values | synthetic
bool 1
class |
|---|---|---|---|---|---|---|---|---|
6. The set contained weights of 43, 70, and 57 grams, with an equal number of each type. Maly lost several weights (less than half), weighed the remaining on the scales, and got 20172 grams. How many and which weights were lost?
|
Solution (1). If the weights had not been lost, the total weight would end in 0. Therefore, the weight of the lost weights ends in 8. This can only be the case if 4 weights of 57 g are lost (losing 70 g or the pair $43+57$ does not affect the last digit of the total weight).
Solution (2). Let's divide the initial set of weights into triples $43+70+57$. In each triple, the total weight is 170 g. Note that no more than $4 \cdot 70=280$ g has been lost. Therefore, we need to find all numbers from 20172 to 20452 that are multiples of 170. There are only two such numbers: 20230 and 20400 g.
In the first case, 58 g have been lost, which is impossible. In the second case, 228 g have been lost. This is only possible if 4 weights of 57 g have been lost. Indeed, the number of lost 70-gram weights must be even (otherwise, the lost weight would be odd). If no 70-gram weights have been lost, the maximum possible lost weight is $4 \cdot 57=228$ g. If two 70-gram weights have been lost, 88 g remain for the two remaining weights, which is clearly impossible to achieve.
|
4
|
Number Theory
|
math-word-problem
|
Yes
|
Yes
|
olympiads
| false
|
6. Each boy is friends with 5 girls, while all girls are friends with a different number of boys. What is the minimum number of children that can be in this group?
|
Solution. If there is a girl who does not have any friends, we can exclude her (the number of children will decrease, but the condition of the problem will remain).
Let us have $m$ boys and $d$ girls. Draw a segment between a boy and a girl if they are friends. Then $5m$ segments are drawn from the boys, and at least $\frac{d(d+1)}{2}$ segments are drawn from the girls. Indeed, let's order the girls by the number of acquaintances in ascending order; then the first girl is friends with at least one boy, the second with at least two, and so on. We also note that from this it follows that $m \geqslant d$ (the last girl is friends with at least $d$ boys, so there must be at least $d$ boys).
Then
$$
\frac{d(d+1)}{2} \geqslant 5 m \geqslant 5 d
$$
from which $d \geqslant 9$ and $m \geqslant 9$. An example with 9 boys and 9 girls is easy to construct: let the ninth girl know all the boys, the eighth - all except the first, the first - only the first boy, the seventh - except the second and third, the second - only the second and third, and so on.
|
9
|
Combinatorics
|
math-word-problem
|
Yes
|
Yes
|
olympiads
| false
|
1. In a volleyball tournament, $n$ teams from city $A$ and $2 n$ teams from city $B$ participated. Each team played exactly one game against each other team. The ratio of the number of wins by teams from city $B$ to the number of wins by teams from city $A$ is $3: 4$. Find $n$, given that there were no draws in the tournament.
|
(12 points) Solution. The number of games in which only teams from city $A$ participated is $\frac{(n-1) n}{2}$. In these games, teams from city $A$ won $\frac{(n-1) n}{2}$ games. The number of games in which only teams from city $B$ participated is $\frac{(2 n-1) 2 n}{2}$. In these games, teams from city $B$ won $(2 n-1) n$ games. The number of matches between teams from city $A$ and teams from city $B$ is $2 n^{2}$. Let $m$ be the number of wins in these matches by teams from city $A$, then teams from city $B$ won $2 n^{2}-m$ games in these matches. In total, teams from city $A$ won $\frac{(n-1) n}{2}+m$ games, and teams from city $B$ won $(2 n-1) n+2 n^{2}-m$ games. According to the condition, we have $\frac{\frac{(n-1) n}{2}+m}{(2 n-1) n+2 n^{2}-m}=\frac{4}{3}$, $3 n^{2}-3 n+6 m=32 n^{2}-8 n-8 m, 14 m=29 n^{2}-5 n, m=\frac{29 n^{2}-5 n}{14}, \frac{29 n^{2}-5 n}{14} \leq 2 n^{2}, n^{2}-5 n \leq 0$. The number $n$ can be $1,2,3,4,5$. By substituting into the equation $m=\frac{29 n^{2}-5 n}{14}$, we get that $m$ is an integer only when $n=5$.
Answer: 5.
|
5
|
Combinatorics
|
math-word-problem
|
Yes
|
Yes
|
olympiads
| false
|
3. Find all natural numbers $n \geq 2$, for which the equality $4 x_{n}+2 y_{n}=20 n^{2}+13 n-33$ holds, where $x_{n}=1 \cdot 2+2 \cdot 3+\cdots+(n-1) \cdot n, y_{n}=1^{2}+2^{2}+3^{2}+\cdots+(n-1)^{2}$.
(20 points)
|
Solution: Let $z_{n}=1+2+\cdots+n=\frac{(n+1) n}{2}=\frac{n^{2}+n}{2}$. We have
$$
\begin{aligned}
& x_{n}=1 \cdot 2+2 \cdot 3+\cdots+(n-1) \cdot n=(2+3+\cdots n)+(3+4+\cdots n)+\cdots((n-1)+n)+n= \\
& =\left(z_{n}-z_{1}\right)+\left(z_{n}-z_{2}\right)+\cdots+\left(z_{n}-z_{n-1}\right)=(n-1) z_{n}-\left(z_{1}+z_{2}+\cdots+z_{n-1}\right)= \\
& =\frac{1}{2}\left((n-1) n(n+1)-\left(1^{2}+1+2^{2}+2+\cdots+(n-1)^{2}+(n-1)\right)=\right. \\
& =\frac{1}{2}\left((n-1) n(n+1)-\left(y_{n}+z_{n-1}\right)\right)
\end{aligned}
$$
Substitute the obtained expression into the equation $4 x_{n}+2 y_{n}=20 n^{2}+13 n-33$. We get
$$
\begin{aligned}
& 2\left((n-1) n(n+1)-\left(y_{n}+z_{n-1}\right)\right)+2 y_{n}=20 n^{2}+13 n-33,2(n-1) n(n+1)-n(n-1)=20 n^{2}+13 n-33, \\
& (n-1)(2 n(n+1)-n)=(n-1)(20 n+33), 2 n^{2}-19 n-33=0, n=11 .
\end{aligned}
$$
Answer: $n=11$.
|
11
|
Algebra
|
math-word-problem
|
Yes
|
Yes
|
olympiads
| false
|
1. Shooting at a target, with each shot the athlete scored only eight, nine, or ten points (all these points were scored at least once). Making more than 11 shots, in total he scored 100 points. How many 8-point shots did the athlete make?
|
Solution. $8 x+9 y+10 z=100, x, y, z \in \mathbb{N} \Rightarrow 8(x+y+z)<100$
$$
\begin{gathered}
\Rightarrow 11<x+y+z<\frac{100}{8}=12.5 \Rightarrow x+y+z=12 \\
\Rightarrow\left\{\begin{array} { c }
{ x + y + z = 1 2 } \\
{ 8 x + 9 y + 1 0 z = 1 0 0 }
\end{array} \Rightarrow \left\{\begin{array} { c }
{ x + y + z = 1 2 } \\
{ 9 6 + y + 2 z = 1 0 0 }
\end{array} \Rightarrow \left\{\begin{array}{c}
x+y+z=12 \\
y+2 z=4
\end{array} \Rightarrow y=2, z=1, x=9\right.\right.\right.
\end{gathered}
$$
Answer: 9.
|
9
|
Number Theory
|
math-word-problem
|
Yes
|
Yes
|
olympiads
| false
|
5. The Fibonacci sequence is defined recursively: $a_{1}=a_{2}=1$, $a_{n+2}=a_{n+1}+a_{n}$ for all natural $n$. What is the last digit of $a_{2020}$?
|
Solution. By induction, it is proved that
1) the parity of the numbers alternates as: OOEEOOEEO...
2) the number with an index divisible by 5 is divisible by 5.
Since 2020 is divisible by 5 and leaves a remainder of 1 when divided by 3, the number $a_{2020}$ is odd and divisible by 5.
Answer: 5.
|
5
|
Number Theory
|
math-word-problem
|
Yes
|
Yes
|
olympiads
| false
|
6. What is the smallest area that a right triangle can have, with its hypotenuse containing the point \( M(1 ; 0) \), and its legs lying on the lines \( y = -2 \) and \( x = 0 \)?
(12 points)
|
Solution. $A B: \quad y=k x+b, \quad M \in A B \Rightarrow b=-k$
$$
\begin{aligned}
& A(a ;-2) \in A B \Rightarrow-2=k a+b \Rightarrow a=1-\frac{2}{k} \\
& S_{A B C}=\frac{1}{2} B C \cdot C A=\frac{1}{2}(b+2) a=\frac{1}{2}(2-k)(1-2 / k) \\
& S^{\prime}=\frac{(2-k)(2+k)}{2 k^{2}}=0, k_{\min }=-2, \quad S_{\min }=4
\end{aligned}
$$

## Answer: 4.
|
4
|
Geometry
|
math-word-problem
|
Yes
|
Yes
|
olympiads
| false
|
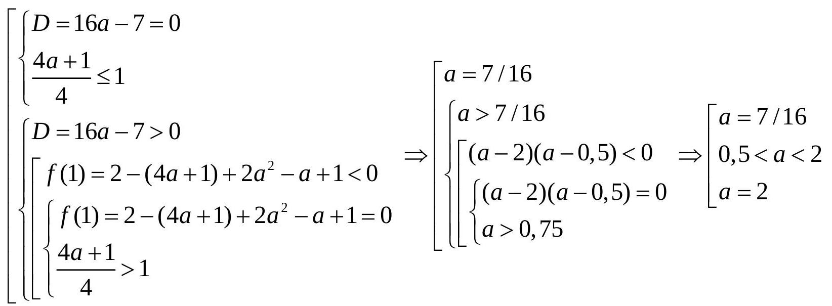
8. Specify the greatest value of the parameter $a$ for which there is a unique solution to the system
$$
\left\{\begin{array}{l}
y=1-\sqrt{x} \\
a-2(a-y)^{2}=\sqrt{x}
\end{array}\right.
$$
|
# Solution:

Equation: $\left\{\begin{array}{l}\sqrt{x}=1-y \\ a-2(a-y)^{2}=1-y\end{array}\right.$, considering that $1-y \geq 0$, we solve the resulting quadratic equation:
$$
\begin{aligned}
& a-2(a-y)^{2}=1-y \quad \Rightarrow \quad 2 y^{2}-y(4 a+1)+2 a^{2}-a+1=0 \\
& y_{1,2}=\frac{(4 a+1) \pm \sqrt{(4 a+1)^{2}-8\left(2 a^{2}-a+1\right)}}{4}=\frac{4 a+1 \pm \sqrt{16 a-7}}{4}
\end{aligned}
$$
For the equation to have a unique solution, and thus for the original system to have a unique solution, either the discriminant must be zero and the root must be no greater than one, or one of the two roots satisfies the condition while the other does not.

Therefore, the maximum value of the parameter for which the system has a unique solution is $a=2$.
Answer: 2.
|
2
|
Algebra
|
math-word-problem
|
Yes
|
Yes
|
olympiads
| false
|
6. What is the smallest area that a right triangle can have, with its hypotenuse containing the point \( M(1; 3) \), and its legs lying on the lines \( y = x \) and \( y = -x \)?
(12 points)
|
Solution.
$A B: \quad y=k x+d, \quad M \in A B \Rightarrow d=3-k$
$A(a ;-a) \in A B \Rightarrow-a=k a+3-k \Rightarrow a=\frac{3-k}{k+1}$,
$B(b ; b) \in A B \Rightarrow b=k b+3-k \Rightarrow b=\frac{k-3}{k-1}$,

$S_{A B O}=\frac{1}{2} d \cdot(b-a)=\frac{3-k}{2}\left(\frac{k-3}{k-1}-\frac{k-3}{k+1}\right)=\frac{(k-3)^{2}}{1-k^{2}}$,
$S'=\frac{2(k-3)(1-3 k)}{\left(k^{2}-1\right)^{2}}=0, k_{\min }=\frac{1}{3}, \quad S_{\text {min }}=8$.
Answer: 8.
|
8
|
Geometry
|
math-word-problem
|
Yes
|
Yes
|
olympiads
| false
|
8. Find all integer values of the parameter $a$ for which the system $\left\{\begin{array}{l}x-2 y=y^{2}+2, \\ a x-2 y=y^{2}+x^{2}+0.25 a^{2}\end{array}\right.$. has at least one solution. In your answer, specify the sum of the found values of the parameter $a$.
|
Solution: Transform the system
$$
\left\{\begin{array} { l }
{ x - 1 = ( y + 1 ) ^ { 2 } } \\
{ ( y + 1 ) ^ { 2 } + ( x - 0.5 a ) ^ { 2 } = 1 }
\end{array} \Rightarrow \left\{\begin{array}{l}
x-1=(y+1)^{2} \\
x-2+(x-0.5 a)^{2}=0
\end{array}\right.\right.
$$
Consider the second equation of the system
$x^{2}+x(1-a)+\left(a^{2}-8\right) / 4=0, \quad D=(a-1)^{2}-\left(a^{2}-8\right)=9-2 a$
A solution exists when $a \leq 9 / 2, x=\frac{a-1 \pm \sqrt{9-2 a}}{2}$, and $x \geq 1$. For the solution to exist, the following conditions must be met:
$$
\left\{\begin{array} { l }
{ D = 9 - 2 a \geq 0 } \\
{ \left[ \begin{array} { l }
{ f ( 1 ) = ( a ^ { 2 } - 4 a ) / 4 > 0 } \\
{ \frac { a - 1 } { 2 } > 1 }
\end{array} \right. } \\
{ f ( 1 ) = ( a ^ { 2 } - 4 a ) / 4 \leq 0 }
\end{array} \Rightarrow \left\{\begin{array}{l}
a \leq 9 / 2 \\
{\left[\begin{array}{l}
a(a-4)>0 \\
a-1>2 \\
a(a-4) \leq 0
\end{array}\right.}
\end{array} \Rightarrow a \in[0,9 / 2]\right.\right.
$$
Summing the integer values of the parameter, we get $0+1+2+3+4=10$.
Answer: 10.
|
10
|
Algebra
|
math-word-problem
|
Yes
|
Yes
|
olympiads
| false
|
6. What is the minimum value that the function $F(x ; y)=6 y+8 x-9$ can take, given that $x^{2}+y^{2}+25=10(x+y)$.
#
|
# Solution:
$x^{2}+y^{2}+25=10(x+y) \Leftrightarrow (x-5)^{2}+(y-5)^{2}=5^{2}$ - this is a circle with center $(5 ; 5)$ and radius 5. Let $F(x ; y)=\mathrm{M}$, then $\mathrm{M}=6 y+8 x-9$ - this is a straight line.
The condition for the minimum of the function is equivalent to the condition for the minimum of $\mathrm{M}$, under which the given line will be tangent to the circle. That is, the distance from the center of the circle to the line is equal to its radius.
$$
\frac{|30+40-9-M|}{\sqrt{36+64}}=5 \Rightarrow |61-M|=50 \Rightarrow M=11 \text{ or } M=111.
$$
## Answer: 11.
|
11
|
Algebra
|
math-word-problem
|
Yes
|
Yes
|
olympiads
| false
|
1. Ivan Ivanovich approached a source with two empty cans; one held 10 liters, and the other held 8 liters. Water from the source flowed in two streams - one stronger, the other weaker. Ivan Ivanovich simultaneously placed the cans under the streams and, when half of the smaller can was filled, he switched the cans. To Ivan Ivanovich's surprise, the cans filled up simultaneously. How many times more water does the stronger stream provide compared to the weaker one?
|
Solution: Let x liters of water fill the larger can while 4 liters fill the smaller can. After the switch, (10-x) liters fill the larger can while 4 liters again fill the smaller can. Since the flow rates are constant, the ratio of the volumes of water filled in the same time is also constant. We can set up the equation: $\frac{4}{x}=\frac{10-x}{4} ; x^{2}-10 x+16=0$, which has two roots $x_{1}=2, x_{2}=8$. The two roots of the equation correspond to two possibilities: placing the smaller can under the stronger or the weaker stream first. However, in both cases, the answer is the same: one stream provides twice as much water as the other.
Answer: 2.
|
2
|
Logic and Puzzles
|
math-word-problem
|
Yes
|
Yes
|
olympiads
| false
|
5. In the first alloy of copper and lead, the mass ratio is $1: 3$; in the second alloy, it is $1: 2$. How many grams of the first alloy should be taken to obtain 10 g of a new alloy with a mass ratio of copper to lead of $3: 7$?
|
Solution. Let there be x g of copper and 3x g of lead in the first alloy. In the second alloy, there are y g of copper and 2y g of lead. Then $k \cdot 4x + n \cdot 3y = 10 ; \frac{kx + n \cdot y}{k \cdot 3x + n \cdot 2y} = \frac{3}{7}$; we need to find $k \cdot 4x$ and 3ny. Let $ny = b ; kx = a$
$\cdot \frac{a + b}{3a + 2b} = \frac{3}{7} \cdot 7a + 7b = 9a + 6b ; b = 2a$ Using
$4a + 6a = 10 ; a = 1 ; b = 2$ Therefore, $k \cdot 4x = 4 ; 3$ n $= 6$
Answer: 4.
|
4
|
Algebra
|
math-word-problem
|
Yes
|
Yes
|
olympiads
| false
|
5. During the shooting practice, each soldier fired 10 times. One of them successfully completed the task and scored 90 points. How many times did he score 9 points, if there were 4 tens, and the results of the other hits were sevens, eights, and nines. There were no misses at all.
|
# Solution:
Since the soldier scored 90 points and 40 of them were scored in 4 shots, he scored 50 points with the remaining 6 shots. As the soldier only hit the 7, 8, and 9, let's assume he scored 24 points with three shots (one each in 7, 8, and 9). Then, for the remaining three shots, he scored 26 points, which is only possible with the unique combination of numbers $7, 8, 9$: $8+9+9=26$. Therefore, the shooter hit the 7 once, the 8 twice, and the 9 three times.
Answer: 3.
|
3
|
Algebra
|
math-word-problem
|
Yes
|
Yes
|
olympiads
| false
|
6. Players divide the chips. The first player takes $m$ chips and a sixth of the remainder; the second $-2 m$ chips and a sixth of the new remainder; the third $-3 m$ chips and a sixth of the new remainder, and so on. It turned out that the chips were divided equally in this way. How many players were there?
|
# Solution:
Let $x$ be the number of players, and $y$ be the number of chips each has. The last player took $y=m x$ chips, with no remainder, otherwise the condition of equal distribution would not be met. The second-to-last player took $y=(x-$ 1)m plus one-sixth of the remainder, and $\frac{5}{6}$ of the remainder equals $xm$; thus, one-sixth of the remainder equals $\frac{x m}{5} ; x m=(x-1) m+\frac{x m}{5} ; 5 m=x m ; x=5$.
## Answer: 5.
|
5
|
Algebra
|
math-word-problem
|
Yes
|
Yes
|
olympiads
| false
|
7. In rectangle $A B C D$, point $E$ is located on diagonal $A C$ such that $B C=E C$, point $M$ is on side $B C$ such that $E M=M C$. Find the length of segment $M C$, if $B M=6, A E=3$. If the answer is not an integer, round the result to tenths according to rounding rules.
|
# Solution:

Draw $A F$ parallel to $B E$ (point $F$ lies on line $B C$), then $\angle C B E=\angle C F A, \angle C E B=$ $\angle C A F$. Considering that $B C=C E$, we get that triangle $F C A$ is isosceles, hence $F C$ $=A C$ and $F B=A E$. Triangles $F B A$ and $A E F$ are congruent, as $F B=A E, \angle A F B=\angle F A E, A F$ is common. We obtain that $\angle F B A=\angle A E F=90^{\circ}$, from which $\angle F E C=90^{\circ}$. Triangle $F C E$ is right-angled and $M C=M E$, so $F M=M C$ and $F M=F B+B M=A E+B M=M C=9$.
Answer: 9 cm.
|
9
|
Geometry
|
math-word-problem
|
Yes
|
Yes
|
olympiads
| false
|
9. For what values of the parameter a does the equation $f(x)=p(x)$ have one solution, if $f(x)=$ $\left|\frac{2 x^{3}-5 x^{2}-2 x+5}{(1.5 x-3)^{2}-(0.5 x-2)^{2}}\right|, \quad p(x)=|2 x+5|+a$. If there are more than one value of the parameter, then in the answer, specify their sum.
#
|
# Solution:
Simplify $f(x)=\left|\frac{2 x^{3}-5 x^{2}-2 x+5}{(1.5 x-3)^{2}-(0.5 x-2)^{2}}\right|$, we get
$$
f(x)=|x+1|, \text { where } x \neq 1, x \neq 2.5 \text {. }
$$
Solve the equation $|x+1|=|5+2 x|+a$, where $x \neq 1, x \neq 2.5$ graphically in the system $x O a$.
1) $\left\{\begin{array}{c}x<-2.5 \\ -x-1=-2 x-5+a\end{array} \quad\left\{\begin{array}{l}x<-2.5 \\ a=x+4\end{array}\right.\right.$

2) $\left\{\begin{array}{c}-2.5 \leq x<-1 \\ -x-1=2 x+5+a\end{array} \quad\left\{\begin{array}{c}-2.5 \leq x<-1 \\ a=-3 x-6\end{array}\right.\right.$
3) $\left\{\begin{array}{c}x \geq-1 \\ x+1=2 x+5+a\end{array} \quad\left\{\begin{array}{c}x \geq-1 \\ a=-x-4\end{array}\right.\right.$
The equation has one solution when $a=-6.5, a=-5, a=1.5$. The sum is -10.
Answer: -10.
|
-10
|
Algebra
|
math-word-problem
|
Yes
|
Yes
|
olympiads
| false
|
2. Find all values of $n, n \in N$, for which the sum of the first terms of the sequence $a_{k}=3 k^{2}-3 k+1, \quad k \in N$, is equal to the sum of the first $n$ terms of the sequence $b_{k}=2 k+89, k \in N . \quad(12$ points)
|
Solution. Note that $a_{k}=3 k^{2}-3 k+1=k^{3}-(k-1)^{3}$, and the sum is $S_{n}=n^{3}$. For the second sequence, $b_{k}=2 k+89=(k+45)^{2}-(k+44)^{2}$, the sum is $S_{n}=(n+45)^{2}-45^{2}=n(n+90)$.
We get the equation $n^{3}=n(n+90) \Rightarrow n^{2}-n-90=0 \Rightarrow n=10$.
Answer: 10.
|
10
|
Algebra
|
math-word-problem
|
Yes
|
Yes
|
olympiads
| false
|
2. (15 points) For what values of the parameter $a$ is the sum of the squares of the roots of the equation $x^{2}+a x+2 a=0$ equal to $21?$
|
Solution: By Vieta's theorem: $x_{1}+x_{2}=-a, x_{1} \cdot x_{2}=2 a, \quad$ therefore, $x_{1}^{2}+x_{2}^{2}=\left(x_{1}+x_{2}\right)^{2}-2 x_{1} x_{2}=a^{2}-4 a$. From the condition, we get that $a^{2}-4 a=21$ or $a \in\{-3 ; 7\}$.
The discriminant of the equation is $D=a^{2}-8 a$, when $a=7$ it is negative, meaning the equation has no solutions, when $a=-3$ the equation has two roots. Therefore, the answer is $a=-3$.
Answer: $a=-3$.
## Criteria:
| Points | Conditions for awarding |
| :---: | :--- |
| 15 | The correct answer is obtained with justification |
| 10 | The number of solutions of the equation depending on the value of the parameter is not investigated or an incorrect answer is obtained due to an arithmetic error |
| 0 | The solution does not meet any of the above conditions |
|
-3
|
Algebra
|
math-word-problem
|
Yes
|
Yes
|
olympiads
| false
|
6. (20 points) Dasha added 158 numbers and got 1580. Then Seryozha tripled the largest of these numbers and decreased another number by 20. The resulting sum did not change. Find the smallest of the original numbers.
#
|
# Solution:
Let x be the largest of the original numbers, and y be the number that Seryozha decreased. Then: $x+y=3 x+y-20$, i.e., $x=10$.
Since the arithmetic mean of the original numbers is 10, and the largest of these numbers is also 10, each of the given numbers is 10.
Answer: 10.
## Criteria:
| 20 points | Any complete and correct solution. |
| :--- | :--- |
| 15 points | A generally correct solution with minor flaws. |
| 5 points | The largest number is found. |
| 0 points. | The solution does not meet any of the criteria listed above or only the answer is provided. |
|
10
|
Algebra
|
math-word-problem
|
Yes
|
Yes
|
olympiads
| false
|
1. $x_{1}^{2}+x_{2}^{2}=\left(x_{1}+x_{2}\right)^{2}-2 x_{1} x_{2}$, but according to Vieta's theorem $\left\{\begin{array}{l}D \geq 0 \\ x_{1}+x_{2}=-(m+1) . \text { Then, } \mathrm{c} \\ x_{1} x_{2}=2 m-2\end{array}\right.$ considering that $D=(m+3)^{2} \geq 0$, we have $x_{1}^{2}+x_{2}^{2}=$
$(-(m+1))^{2}-2(2 m-2)=m^{2}+2 m+1-4(m-1)=m^{2}-2 m+5=(m-1)^{2}+4$
From which $y=(m-1)^{2}+4$ and $y_{\text {min }}=4$ when $m=1$.
|
Answer: For the equation $x^{2}+(m+1) x+2 m-2=0$, the smallest sum of the squares of its roots is 4 when $m=1$.
## Grading Criteria.
| 15 points | Correct and justified solution. |
| :--- | :--- |
| 10 points | Using Vieta's theorem, the expression for the sum of the squares of the roots is correctly written, but there is an error in the transformation of the expression. |
| 5 points | Vieta's theorem (considering D) is correctly written. |
| 0 points | Other solutions that do not meet the above criteria. |
|
4
|
Algebra
|
math-word-problem
|
Yes
|
Yes
|
olympiads
| false
|
2. Solve the equation $8 \sin ^{4}(\pi x)-\sin ^{2} x=\cos ^{2} x-\cos (4 \pi x)$. In your answer, specify the sum of the roots that belong to the interval $[-1 ; 2]$.
points)
|
Solution. Considering the basic trigonometric identity, we get
$8 \sin ^{4}(\pi x)-1+\cos (4 \pi x)=0 \quad \Rightarrow \quad 8 \sin ^{4}(\pi x)-2 \sin ^{2}(2 \pi x)=0 \quad \Rightarrow$
$\left(2 \sin ^{2}(\pi x)-2 \sin (\pi x) \cos (\pi x)\right)\left(2 \sin ^{2}(\pi x)+2 \sin (\pi x) \cos (\pi x)\right)=0 \Rightarrow$ $\sin ^{2}(\pi x)\left(\sin ^{2}(\pi x)-\cos ^{2}(\pi x)\right)=0 \Rightarrow \sin ^{2}(\pi x)(\cos (2 \pi x))=0$.
Therefore, $\left[\begin{array}{l}\sin (\pi x)=0, \\ \cos (2 \pi x)=0,\end{array} \Rightarrow\left[\begin{array}{l}\pi x=\pi k, k \in Z, \\ 2 \pi x=\frac{\pi}{2}+\pi n, n \in Z,\end{array} \Rightarrow\left[\begin{array}{l}x=k, k \in Z, \\ x=\frac{1}{4}+\frac{n}{2}, n \in Z,\end{array}\right.\right.\right.$ then the roots of the equation belonging to the interval $[-1 ; 2]$, will be $-1,1,2,-0.75,-0.25,0.25,0.75,1.25,1.75$. Their sum is 5.
## Answer: 5.
|
5
|
Algebra
|
math-word-problem
|
Yes
|
Yes
|
olympiads
| false
|
6. What is the smallest area that a right triangle can have, if its hypotenuse lies on the tangent to the graph of the function $y=\sqrt{x-3}$, one of its legs lies on the $y$-axis, and one of its vertices coincides with the point of tangency
points)
|
Solution. $\quad f(x)=\sqrt{x-3}, \quad f^{\prime}\left(x_{0}\right)=\frac{1}{2 \sqrt{x-3}}$
$S_{A B C}=\frac{1}{2} A B \cdot B C, x_{0}-$ abscissa of the point of tangency $A$,
$A\left(x_{0}, f\left(x_{0}\right)\right), \quad B\left(0, f\left(x_{0}\right)\right), \quad C \quad$ - the point of intersection of the tangent with the $y$-axis. Let $C(0, c)$. The equation

of the tangent to the graph of the function $f(x)=\sqrt{x-3}$ is $y=f^{\prime}\left(x_{0}\right)\left(x-x_{0}\right)+f\left(x_{0}\right)$. Point $C$ belongs to the tangent, we substitute its coordinates into the equation of the tangent: $c=-f^{\prime}\left(x_{0}\right) x_{0}+f\left(x_{0}\right)$.
Then $\quad A B=x_{0}, \quad B C=f\left(x_{0}\right)-c=f^{\prime}\left(x_{0}\right) x_{0}, \quad S_{A B C}=\frac{1}{2} A B \cdot B C=\frac{1}{2} f^{\prime}\left(x_{0}\right)\left(x_{0}\right)^{2}=\frac{x_{0}^{2}}{2 \sqrt{x_{0}-3}} . \quad$ To find the extrema of the function $S_{A B C}=S\left(x_{0}\right)=\frac{x_{0}{ }^{2}}{4 \sqrt{x_{0}-3}}$ we find the zeros of the derivative of this function $S^{\prime}\left(x_{0}\right)=\frac{3\left(x_{0}{ }^{2}-4 x_{0}\right)}{8 \sqrt{\left(x_{0}-3\right)^{3}}} . \quad$ Since $x_{0} \geq 3$, the only extremum point, and specifically, the point of minimum for this function is the point $\quad x_{0}=4, \quad S_{\min }=S(4)=\frac{4^{2}}{4 \sqrt{4-3}}=4$.
Answer: 4.
|
4
|
Calculus
|
math-word-problem
|
Yes
|
Yes
|
olympiads
| false
|
7. In triangle $A B C$, altitudes $A D, B E, C F$ are drawn. The length of side $A C$ is $1+\sqrt{3}$. The distances from the center of the inscribed circle in triangle $D E F$ to points $A$ and $C$ are $\sqrt{2}$ and 2, respectively. Find the length of side $A B$.
points)
|
Solution. $\quad A D, B E, C F$ are the altitudes of triangle $A B C, D A, E B, F C$ are the angle bisectors of angles $D, E, F$ of triangle $D E F, O$ is the point of intersection of the altitudes of triangle $A B C$, which is also the center of the inscribed circle of triangle $D E F$. Thus, $A O=\sqrt{2}, C O=2$. Let $O E=x, A E=y$. Then we arrive at the system $\left\{\begin{array}{c}x^{2}+y^{2}=2, \\ (1+\sqrt{3}-y)^{2}+x^{2}=4\end{array}\right.$. Solving the system, we get $\quad y=1, x=1 . \quad$ Then $\quad \angle D A C=\angle B C A=45^{\circ}$,

$B C=\sqrt{6}, \angle F C A=\operatorname{arctg} \frac{1}{\sqrt{3}}=30^{\circ}$,
$\angle A B E=30^{\circ}, \quad A B=2$.
Answer: 2.
|
2
|
Geometry
|
math-word-problem
|
Yes
|
Yes
|
olympiads
| false
|
1. A vessel with a capacity of 10 liters is filled with air containing $24\%$ oxygen. A certain volume of air was pumped out of the vessel and an equal volume of argon was added. Then, the same volume of the mixture as the first time was pumped out and again topped up with the same volume of argon. In the new mixture, $11.76\%$ oxygen was found. How many liters of the mixture were released each time from the vessel? Give your answer as a number without specifying the unit.
points)
|
Solution. Let $x$ be the volume of the mixture released each time from the vessel. Then, the first time, the amount of oxygen left in the vessel is $2.4 - 0.24x$. The percentage of oxygen in the mixture after adding argon is $(2.4 - 0.24x) \times 10$. The second time, the amount of oxygen left in the vessel is $2.4 - 0.24x - (2.4 - 0.24x) \times 0.1x$. The percentage of oxygen in the mixture after adding argon in this case is $10(2.4 - 0.24x - (2.4 - 0.24x) \times 0.1x)$. According to the condition, $10(2.4 - 0.24x - (2.4 - 0.24x) \times 0.1x) = 11.76$. Solving the equation, we arrive at the quadratic equation $x^2 - 20x + 51 = 0, x_1 = 3, x_2 = 17$. The second root does not fit the condition.
Answer: 3.
|
3
|
Algebra
|
math-word-problem
|
Yes
|
Yes
|
olympiads
| false
|
4. Given 2019 indistinguishable coins. All coins have the same weight, except for one, which is lighter. What is the minimum number of weighings required to guarantee finding the lighter coin using a balance scale without weights? (12 points)
|
Solution. We will prove the following statement by induction on $k$: if there are $N$ visually identical coins, with $3^{k-1}<N \leq 3^{k}$, and one of them is lighter, then it can be found in $k$ weighings. Base case: $k=0, N=1$, no weighing is needed for a single coin. Inductive step: suppose the statement is true for $0,1,2$, $\ldots, k$. Now let $3^{k}<N \leq 3^{k+1}$. Place no less than $N / 3$ coins, but no more than $3^{k}$ coins, on the left pan, and the same number on the right pan. If the left pan is lighter, then the lighter coin is on it; if the right pan is lighter, then the lighter coin is on it; if the scales are balanced, then the lighter coin is among the remaining coins, the number of which is less than or equal to $N / 3 \leq 3^{k}$. As a result, we need to find the lighter coin among no more than $3^{k}$ coins, and it will take no more than $k$ additional weighings. Since $3^{6}<2019 \leq 3^{7}$, the number of weighings $k$ is 7.
Answer: 7.
|
7
|
Logic and Puzzles
|
math-word-problem
|
Yes
|
Yes
|
olympiads
| false
|
4. Solve the equation $10 x-6+x^{2}=\sqrt{2 x^{2}-2 x+1} \cdot \sqrt{36+(x+4)^{2}}$
|
Solution. Transform the equation $10 x-6+x^{2}=\sqrt{2 x^{2}-2 x+1} \cdot \sqrt{36+(x+4)^{2}}$
$10 x-6+x^{2}=\sqrt{x^{2}+x^{2}-2 x+1} \cdot \sqrt{36+(x+4)^{2}} \Rightarrow 6 x-6+x^{2}+4 x=\sqrt{x^{2}+(x-1)^{2}} \cdot \sqrt{6^{2}+(x+4)^{2}}$,
This equation can be interpreted as the scalar product of vectors $\vec{a}=(x-1, x), \quad \vec{b}=(6, x+4)$, written in two ways - the sum of the products of corresponding coordinates and the product of the lengths of the vectors times the cosine of the angle between them, which in this case is 1. The cosine is equal to one if the vectors are collinear, i.e., their coordinates are proportional
$$
\frac{x-1}{6}=\frac{x}{x+4} \Rightarrow x^{2}+3 x-4=6 x \Rightarrow x^{2}-3 x-4=0 \Rightarrow x=\left[\begin{array}{l}
-1 \\
4
\end{array}, \text { but } x=-1\right. \text { is an extraneous root. }
$$
Answer: 4.
|
4
|
Algebra
|
math-word-problem
|
Yes
|
Yes
|
olympiads
| false
|
2. (15 points) The area of an isosceles trapezoid is 100, and its diagonals are perpendicular to each other. Find the height of this trapezoid.
|
Solution. Let $ABCD$ be an isosceles trapezoid, the diagonals $AC$ and $BD$ of which are perpendicular to each other. Denote $O = AC \cap BD$, point $M$ is the midpoint of $BC$, and point $H$ is the midpoint of $AD$. Draw the segment $MH: O \in MH, MH \perp AD$. Since $MH$ is the axis of symmetry of the given trapezoid, then $OB = OC, OA = OD$. Therefore, the right triangles $BOC$ and $AOD$ are isosceles, meaning $\angle OBM = \angle OAH = 45^\circ$. Then the right triangles $MOB$ and $AOH$ are also isosceles: $OM = BM, OH = AH$.

We have:
$OM = BM = 0.5 BC, OH = AH = 0.5 AD \Rightarrow MH = OM + OH = 0.5 BC + 0.5 AD = 0.5(BC + AD)$, which means the height $MH$ of the trapezoid is equal to its midline. This means that for the area of the given trapezoid we get: $S_{ABCD} = 0.5(BC + AD) MH = MH \cdot MH = MH^2$. Then $MH = \sqrt{S_{ABCD}} = \sqrt{100} = 10$.
Answer: 10.
| Criterion Content | Points |
| ---: | :---: |
| The correct answer is obtained with justification. | 15 |
| The solution contains a computational error, possibly leading to an incorrect answer, but the solution has a correct sequence of all steps. | 10 |
| In the solution of the problem, one or two formulas are correctly written, which are the beginning of a possible solution. | 5 |
| The solution does not meet any of the criteria described above. | 0 |
| Maximum score | 15 |
|
10
|
Geometry
|
math-word-problem
|
Yes
|
Yes
|
olympiads
| false
|
5. Find all values of the parameter $a$ for which the equation
$$
\left(\left|\frac{a x^{2}-a x-12 a+x^{2}+x+12}{a x+3 a-x-3}\right|-a\right) \cdot|4 a-3 x-19|=0
$$
has one solution. In your answer, write the largest value of the parameter $a$
|
Solution:
Simplify $\frac{a x^{2}-a x-12 a+x^{2}+x+12}{a x+3 a-x-3}=\frac{a x^{2}-x^{2}+(-a x+x)+(-12 a+12)}{a(x+3)-(x+3)}=$
$=\frac{x^{2}(a-1)-x(a-1)-12(a-1)}{(x+3)(a-1)}=\frac{(a-1)\left(x^{2}-x-12\right)}{(x+3)(a-1)}=$
$=\frac{x^{2}+3 x-4 x-12}{x+3}=\frac{(x+3)(x-4)}{x+3}=x-4$
We get $\left\{\begin{array}{c}(|x-4|-a) \cdot|4 a+3 x-19|=0 \\ a \neq 1 \\ x \neq-3\end{array} ;\left\{\begin{array}{c}{\left[\begin{array}{c}|x-4|-a=0 \\ 4 a+3 x-19=0 \\ a \neq 1 \\ x \neq-3\end{array} ;\right.} \\ \text {; }\end{array}\right.\right.$
$$
\left\{\begin{array}{c}
a=|x-4| \\
a=-0.75 x+4.75 \\
\quad a \neq 1 \\
x \neq-3
\end{array}\right.
$$
Construct the graph in the coordinate system $\chi O a$ $a=-0.75 x+4.75-$ line
| $x$ | -3 | 5 |
| :--- | :--- | :--- |
| $y$ | 7 | 1 |
$a=|x-4|$ the graph is obtained from $a=|x|$ by shifting 4 units to the right
Since $x \neq-3$, then $a \neq 7$
$a \neq 1$, then $x \neq 3 ; x \neq 5$
Points $(-3 ; 7) ;(3 ; 1) ;(5 ; 1)$ - are excluded
For $a \in(-\infty ; 0) \cup\{7\}$ - one solution
For $a \in(0 ; 1) \cup(1 ; 7) \cup(7 ;+\infty)$ - three solutions
For $a=0$ two solutions
For $a=1$ no solutions
Answer: 7

## №3: Triangles.
|
7
|
Algebra
|
math-word-problem
|
Yes
|
Yes
|
olympiads
| false
|
2. When adding two natural numbers, Alyosha accidentally added an extra digit, so instead of the number 23456, he got the number 55555.
Determine which digit Alyosha accidentally added.
## solution.
Let Alyosha be adding numbers $x$ and $y$. When he appended an extra digit $a$ to one of them (let's say to $x$), the number became $10x + a$. We get the system of equations: $\left\{\begin{array}{c}x + y = 23456; \\ (10x + a) + y = 55555\end{array}9x + a = 320999x = 32099 - a \\ a = 5 \\ 9x = 32094$
$x = 3566 \quad y = 19890$. Answer: 5;
## №5: Percentages.
A flask is filled with a 96% hydrochloric acid solution. From it, 12 liters of acid were poured out and the flask was topped up with water. Then, 18 liters were poured out again and the flask was topped up with water, after which the concentration of acid in the flask was 32%. Find the volume of the flask.
|
Answer: 36 liters
## №6: Plane Geometry.
№2. From points B and C of the acute angle BAC, perpendiculars CM and BK are drawn, intersecting at point E, such that point M lies on AB, and K lies on AC. A circle is drawn through points A, M, and C, intersecting BK at point O, and $BE=17, OK=72$. AK: $KC=1:4$. Find the tangent of angle BAC. (the ratio of BK to AK).

## Solution.
1) Let $\mathrm{OE}=x=\succ \mathrm{BO}=\mathrm{BE}-\mathrm{OE}=17=x$ and $\mathrm{BK}=\mathrm{BO}+\mathrm{OK}=17-x+72=89-x$.
2) $\mathrm{BK} \perp \mathrm{AC}=\succ \mathrm{KO}=\mathrm{KH}=72=\succ \mathrm{BH}=\mathrm{BO}+\mathrm{OH}=17-x+144=161-x$.
3) $\triangle \mathrm{ABK} \sim \triangle \mathrm{EMB} \Rightarrow \succ \mathrm{BM} / \mathrm{BK}=\mathrm{BE} / \mathrm{AB}=\succ \mathrm{BM} \cdot \mathrm{AB}=\mathrm{BK} \cdot \mathrm{BE}$.
4) $\mathrm{BA}$ and $\mathrm{BE}-$ secants $=\succ \mathrm{BM} \cdot \mathrm{AB}=\mathrm{BO} \cdot \mathrm{BH}$.
5) From (3 and 4) $\Rightarrow \succ \mathrm{BO} \cdot \mathrm{BH}=\mathrm{BK} \cdot \mathrm{BE}=\succ \quad(17-x)(161-x)=(89-x) 17=\succ x^{2}-$ $161 x+1224=0=\succ x=8$ or $x=153=\succ \mathrm{OE}=8 ; \mathrm{BO}=9 ; \mathrm{BK}=81$.
6) $\mathrm{AK} \cdot \mathrm{KC}=K \mathrm{KO} \cdot \mathrm{H}=\succ 4 \mathrm{AK}^{2}=72^{2} \Rightarrow \succ \mathrm{AK}=36=\succ \mathrm{BK} / \mathrm{AK}=81 / 36=2.25$.

Answer: 2.25.
## №7: Number Theory.
Find the smallest natural $\mathrm{n}$, for which $1999!$ does not divide $34^{\mathrm{n}}$. (n!=1$\cdot$2$\cdot$3$\cdot$... $\mathrm{n}$)
## Solution:
$34=2 \cdot 17$. Determine the power to which the number 17 will enter the factorization of 1999! (2 will obviously enter this factorization in a higher power). $117<\frac{1999}{17}<118 ; 6<\frac{1999}{17^{2}}<7$ from this, 17 enters $1999!$ 123 times, and to not divide, we add one more.
Answer: 124
## №8: Parameter.
|
5
|
Algebra
|
math-word-problem
|
Yes
|
Yes
|
olympiads
| false
|
2. Determine for which $a$ the system $x+y-144=0, xy-5184-0.1a^2=0$ has one solution. Answer: 0.
Solution. $\left\{\begin{array}{c}x+y=144 \\ xy=5184+0.1a^2\end{array}\right.$
This means that $x$ and $y$ are equal to the roots of the quadratic equation
$p^2 - 144p + (5184 + 0.1a^2) = 0$. Therefore, $D = 72^2 - (5184 + 0.1a^2) = -0.1a^2$.
Thus, the equation can have a solution only when $a = 0$. $p = 72$, so $x = y = 72$. Answer: 0.
## №9: Divisibility.
Find the smallest number among the natural numbers exceeding 2022 that divides the number $2021!! + 2022!!$. (The symbol $n!!$ denotes the product of all natural numbers not exceeding $n$ and having the same parity: $n!! = n \cdot (n-2) \cdot (n-4) \ldots$)
|
Answer. 2023.
## Solution.
We will prove that $2021!! + 2022!!$ is divisible by the number 2023. Indeed,
$$
2022!! = (2023-1)(2023-3)(2023-5) \ldots (2023-2021)
$$
the remainder of this number when divided by 2023 is the same as the remainder of the product
$$
(-1)(-3)(-5) \ldots (-2021) = (-1)^{\frac{2022}{2}} \cdot 2021!! = -2021!!
$$
when divided by 2023. Therefore, $2021!! + 2022!!$ is divisible by the number 2023. Since 2023 is the smallest number among natural numbers greater than 2022, we get the answer.
Answer. 2023.
|
0
|
Number Theory
|
math-word-problem
|
Yes
|
Yes
|
olympiads
| false
|
1. The sequence of real numbers $a_{1}, a_{2}, a_{3}, \ldots, a_{100}$ satisfies the inequalities $a_{n}-2022 a_{n+1}+2021 a_{n+2} \geq 0 \quad$ for $\quad n=1,2,3, \ldots, 98$, and $\quad a_{99}-2022 a_{100}+2021 a_{1} \geq 0$, $a_{100}-2022 a_{1}+2021 a_{2} \geq 0$. Find $a_{22}$, if $a_{10}=10$. (10 points)
|
# Solution.
Let $b=a_{1}+a_{2}+a_{3}+\cdots+a_{100}, b_{n}=a_{n}-2022 a_{n+1}+2021 a_{n+2}, n=1,2,3, \ldots, 98$, $b_{99}=a_{99}-2022 a_{100}+2021 a_{1}, b_{100}=a_{100}-2022 a_{1}+2021 a_{2}$. By the condition $b_{n} \geq 0$, for $n=$ $1,2,3, \ldots, 100$. We have $b_{1}+b_{2}+b_{3}+\cdots+b_{100}=b-2022 b+2021 b=0 . \quad$ Therefore, $b_{n}=0$, for $n=1,2,3, \ldots, 100$. From this, we get $\left(a_{n}-a_{n+1}\right)+2021\left(a_{n+2}-a_{n+1}\right)=0, n=$ $1,2,3, \ldots, 98, a_{99}-a_{100}+2021\left(a_{1}-a_{100}\right)=0,\left(a_{100}-a_{1}\right)+2021\left(a_{2}-a_{1}\right)=0$.
We have $a_{2}-a_{3}=\frac{a_{1}-a_{2}}{2021}, \quad a_{3}-a_{4}=\frac{a_{1}-a_{2}}{2021^{2^{2}}}, \ldots, a_{99}-a_{100}=\frac{a_{1}-a_{2}}{2021^{1^{8}}}, a_{100}-a_{1}=\frac{a_{1}-a_{2}}{2021^{1^{9}}}$. Considering the equality $a_{100}-a_{1}=2021\left(a_{1}-a_{2}\right)$, we have $\frac{a_{1}-a_{2}}{2021^{99}}=2021\left(a_{1}-a_{2}\right)$. From this, we get $a_{n}=a_{1}$ for all $n=1,2,3, \ldots, 100$. Therefore, $a_{22}=a_{10}=10$.
## Answer: 10.
|
10
|
Algebra
|
math-word-problem
|
Yes
|
Yes
|
olympiads
| false
|
3. During the shooting practice, each soldier fired 10 times. One of them completed the task successfully and scored 90 points. How many times did he score 8 points, if there were 4 tens, and the results of the hits were sevens, eights, and nines. There were no misses at all.
|
Solution. Since the soldier scored 90 points and 40 of them were scored in 4 attempts, he scored 50 points with the remaining 6 shots. Since the soldier only hit the seven, eight, and nine, let's assume that for three shots (once in the seven, once in the eight, and once in the nine), he scored 24 points. Then, for the remaining three shots, he scored 26 points, which is only possible with the unique combination of the numbers $7, 8, 9: 8+9+9=26$. Therefore, the shooter hit the seven once, the eight twice, and the nine three times.
Answer: 2.
|
2
|
Algebra
|
math-word-problem
|
Yes
|
Yes
|
olympiads
| false
|
4. The grandmother and granddaughter were picking strawberries. The granddaughter was using a children's bucket with a capacity of 2.5 liters, while the grandmother was using a two-liter jar. The grandmother had poor eyesight and found it hard to bend down, so the granddaughter was always picking berries faster than her. When the grandmother had filled half of her jar, they switched their containers and, after some time, filled them simultaneously. How many liters of berries did the granddaughter collect in total, assuming that the work efficiency of both the grandmother and the granddaughter remained constant throughout?
|
Solution. Let the granddaughter collect $X$ liters of berries in the time it takes the grandmother to collect 1 liter, $x>1$ according to the problem. After swapping containers, the granddaughter collected 1 liter of berries, while the grandmother collected $(2.5-x)$ liters. Since their work efficiency does not change, the ratio of the amount of berries collected remains constant.
We can set up the equation: $\frac{1}{x}=\frac{2.5-x}{1} ; 2 x^{2}-5 x+2=0$, which has two roots $x_{1}=2, x_{2}=0.5$. The second root does not fit the problem's conditions. In total, the granddaughter collected $2+1=3$ liters of berries.
Answer: 3.
|
3
|
Logic and Puzzles
|
math-word-problem
|
Yes
|
Yes
|
olympiads
| false
|
9. A chemistry student conducted an experiment: from a bottle filled with syrup solution, he poured out one liter of liquid, refilled the bottle with water, then poured out one liter of liquid again and refilled the bottle with water. As a result, the percentage of syrup decreased from 9 to 4 percent. Determine the volume of the bottle in liters.
|
# Solution.
1) Let $X$ be the volume of the bottle in liters.
2) Then after pouring out one liter of liquid, there are $(x-1)$ liters of solution left, and in it $(x-1) \cdot \frac{9}{100}$ liters of syrup and $(x-1) \cdot \frac{91}{100}$ liters of water.
3) After adding one liter of water to the bottle, there are $X$ liters of solution, and in it $(x-1) \cdot \frac{9}{100}$ liters of syrup and $(x-1) \cdot \frac{91}{100}+1$ liters of water.
4) At the end of all the pouring, there are $X$ liters of solution in the bottle, and in it $x \cdot \frac{4}{100}$ liters of syrup and $x \cdot \frac{96}{100}$ liters of water.
5) Then before the last addition of one liter of water, there were $(x-1)$ liters of solution in the bottle, and in it $x \cdot \frac{4}{100}$ liters of syrup and $x \cdot \frac{96}{100}-1$ liters of water. This is the same liquid as in point 3) of the solution, so the ratio of syrup to water in it is the same.
We can set up the equation:
$$
\begin{aligned}
& \frac{(x-1) \cdot \frac{9}{100}}{x \cdot \frac{4}{100}}=\frac{(x-1) \cdot \frac{91}{100}+1}{x \cdot \frac{96}{100}-1} \Leftrightarrow \frac{(x-1) \cdot 9}{x \cdot 4}=\frac{(x-1) \cdot 91+100}{x \cdot 96-100} \Leftrightarrow \\
& \frac{9 x-9}{4 x}=\frac{91 x+9}{96 x-100} \Leftrightarrow(9 x-9)(96 x-100)=4 x(91 x+9) \Leftrightarrow \\
& 5 x^{2}-18 x+9=0 \Leftrightarrow x \in\{3 ; 0.6\}
\end{aligned}
$$
0.6 liters does not satisfy the condition of the problem.
Answer: 3.
|
3
|
Algebra
|
math-word-problem
|
Yes
|
Yes
|
olympiads
| false
|
1. In triangle $\mathrm{ABC}$, angle $\mathrm{C}$ is a right angle, and $\mathrm{CD}$ is the altitude. Find the length of the radius of the circle inscribed in triangle $\mathrm{ABC}$, if the lengths of the radii of the circles inscribed in triangles $\mathrm{ACD}$ and $\mathrm{BCD}$ are 6 and 8, respectively.
|
Answer: 10
## №4: Progression.
The numbers $5 \mathrm{x}-\mathrm{y} ; 2 \mathrm{x}+3 \mathrm{y} ; \mathrm{x}+2 \mathrm{y}$ are consecutive terms of an arithmetic progression. The numbers $(\mathrm{y}+1)^{2} ; \mathrm{xy}+1 ;(\mathrm{x}-1)^{2}$ are consecutive terms of a geometric progression. Find the numbers x and y. If there are multiple values, write the negative sum $x+y$ rounded to the nearest integer in the answer.
## Answer: -1
## №5: Percentages.
A flask is completely filled with a 96% hydrochloric acid solution (by volume). From it, 12 liters of the solution were poured out, the flask was topped up to the brim with water and mixed. Then, 18 liters of the resulting solution were poured out again, the flask was topped up to the brim with water and mixed. After this, the concentration of acid in the flask was 32%. Find the volume of the flask (in liters)?
Answer: 36
## №6: Set
Solve the equation $\frac{\sqrt{x+3.3}+\sqrt{x+11.3}+\sqrt{x+27.3}}{\sqrt{x+2.3}+\sqrt{x+6.3}+\sqrt{x+18.3}}=\frac{3}{2}$. In the answer, specify the root or the sum of the roots if there are several.
## Solution:
$$
\begin{aligned}
& \text { Rewrite } \quad \text { the equation } \\
& 2(\sqrt{x+3.3}+\sqrt{x+11.3}+\sqrt{x+27.3})=3(\sqrt{x+2.3}+\sqrt{x+6.3}+\sqrt{x+18.3}) \text {, and then in } \\
& \text { the form } \\
& 2(\sqrt{x+3.3}-\sqrt{x+2.3}+\sqrt{x+11.3}-\sqrt{x+6.3}+\sqrt{x+27.3}-\sqrt{x+18.3})=\sqrt{x+2.3}+\sqrt{x+6.3}+\sqrt{x+18.3}
\end{aligned}
$$
Let the left side of the equation be $f(x)$, and the right side be $g(x)$. $g(x)$ is monotonically increasing on the interval $[-2.3 ;+\infty)$ as the sum of three increasing functions. Transform the left side - $f(x)$. $f(x)=2\left(\frac{1}{\sqrt{x+3.3}+\sqrt{x+2.3}}+\frac{5}{\sqrt{x+11.3}+\sqrt{x+6.3}}+\frac{9}{\sqrt{x+27.3}+\sqrt{x+18.3}}\right)$.
$f(x)$ is monotonically decreasing on $[-2.3 ;+\infty)$ as the sum of monotonically decreasing functions. Therefore, the equation $f(x)=g(x)$ has no more than one root. Notice that $f(-2.3)=g(-2.3)$, so $x=-2.3$ is the only root of the equation.
Answer: $-2.3$
## №7: Circles.
In triangle $A B C$, the height $B H$ is drawn. A circle with its center lying on the height $B H$ passes through the vertices of the triangle $B, C$ and intersects the side $A B$ at point $E$. Find the length of the segment $A E$, if $A B=8, B C=6$.
## Solution:

Let the line $B H$ and the circle intersect at point $D$. Right triangles $B H A$ and $B E D$ are similar ( $\angle B$ is common), $\angle B C E=\angle B D E$ (as inscribed angles subtending the same arc), therefore, $\angle B A C=\angle B D E=\angle B C E$. Next, triangles $C B E$ and $A B C$ are similar (by two angles: $\angle B$ is common, $\angle B A C=\angle B C E)$.
From the equality of the ratios of corresponding sides, we find:
$$
\frac{B E}{B C}=\frac{B C}{A B^{\prime}}, B E=\frac{B C^{2}}{A B}=\frac{36}{8}=4.5
$$
Therefore, $A E=8-4.5=3.5$.
Answer: 3.5
## №8: Parameter.
Find all values of the parameter $a$ for which the equation $a^{2}+13|x-1|+3 \sqrt{4 x^{2}-8 x+13}=3 a+3|4 x-3 a-4|$ has at least one root. In the answer, specify the sum of all integer values of the parameter that satisfy the condition of the problem.
## Solution:
Rewrite the equation as $a^{2}-3 a+3 \sqrt{(2 x-2)^{2}+9}=3|4 x-3 a-4|-13|x-1|$ and consider the functions $f(x)=a^{2}-3 a+3 \sqrt{(2 x-2)^{2}+9}$ and $g(x)=3|4 x-3 a-4|-13|x-1|$, defined and continuous on the set of real numbers. The graph of the function $y=g(x)$ represents a piecewise-linear function consisting of segments of lines and rays. For $x \geq 1$ each segment of the graph is part of a line of the form $y=k x+b$, where $k<0$ (since for any expansion of the first modulus, the coefficient of $x$ will be negative). Therefore, on the interval $[1 ;+\infty)$ the function $y=g(x)$ decreases from $g(0)$ to $-\infty$. Similarly, it can be shown that on the interval $(-\infty ; 1]$ the function $g(x)$ increases from $-\infty$ to $g(0)$. Therefore, at the point $x=1$ this function reaches its maximum value. $g_{\text {max. }}=g(1)=3|3 a|=9|a|$.
Based on the properties of monotonic functions, the function $f(x)$ takes its minimum value at $x=1 . f_{\text {min. }}=f(1)=a^{2}-3 a+9$. On $[1 ;+\infty) f(x)$ increases from $f(0)$ to $+\infty$, and on the interval $(-\infty ; 0]$ it decreases from $+\infty$ to $f(0)$.
Therefore, the equation $f(x)=g(x)$ has at least one root only when $f_{\text {min. }} \leq g_{\text {max., }}$, that is, when the inequality $a^{2}-3 a+9 \leq 9|a|$ is satisfied. For $a \geq 0 \quad$ we get $a^{2}-3 a+9 \leq 9 a ; a^{2}-12 a+9 \leq 0 ; \frac{D}{4}=36-9=27$; $a_{1,2}=6 \pm 3 \sqrt{3} ; \quad a \in[6-3 \sqrt{3} ; 6+3 \sqrt{3}] . \quad$ For $\quad a<0 \quad$ we have $a^{2}+6 a+9 \leq 0 ;(a+3)^{2} \leq 0 ; a=-3$. Thus, the equation has at least one root for $a \in\{-3\} \cup[6-3 \sqrt{3} ; 6+3 \sqrt{3}]$. Estimate between which integers the boundaries of the interval lie: $0<6-3 \sqrt{3}<1 ; 11<6+3 \sqrt{3}<12$. Therefore, the integers on the considered interval are from 1 to 11 inclusive. Sum all the integers that satisfy the condition of the problem: $1+2+3+4+5+6+7+8+9+10+11-3=63$.
Answer: 63
## №9: Divisibility.
Find the smallest number among natural numbers exceeding 2022 that divides the number 2021!! + 2022!!. (The symbol n!! denotes the product of all natural numbers not exceeding $n$ and having the same parity: $n!!=n \cdot(n-2) \cdot(n-4) \ldots)$
## Solution.
We will prove that 2021!! + 2022!! is divisible by the number 2023. Indeed,
$$
2022!!=(2023-1)(2023-3)(2023-5) \ldots(2023-2021)
$$
the remainder of the division of this number by 2023 is equal to the remainder of the division of the product
$$
(-1)(-3)(-5) \ldots(-2021)=(-1)^{\frac{2022}{2}} \cdot 2021!!=-2021!!
$$
by 2023. Therefore, 2021!! + 2022!! is divisible by the number 2023. Since 2023 is the smallest number among natural numbers exceeding 2022, we get the answer.
Answer. 2023.
|
10
|
Geometry
|
math-word-problem
|
Yes
|
Yes
|
olympiads
| false
|
1. Find the value of the expression $\left(\left(\frac{3}{a-b}+\frac{3 a}{a^{3}-b^{3}} \cdot \frac{a^{2}+a b+b^{2}}{a+b}\right)\right.$ ? $\left.\frac{2 a+b}{a^{2}+2 a b+b^{2}}\right) \cdot \frac{3}{a+b}$ when $a=2023, b=2020$
|
Solution:
$$
\begin{aligned}
& \left(\left(\frac{3}{a-b}+\frac{3 a}{(a-b)(a+b)}\right) \text { back } \frac{2 a+b}{(a+b)^{2}}\right) \cdot \frac{3}{a+b}=\left(\left(\frac{3(a+b)+3 a}{(a-b)(a+b)}\right) \cdot \frac{(a+b)^{2}}{2 a+b}\right) \cdot \frac{3}{a+b}=\left(\frac{3(2 a+b)}{(a-b)} \cdot\right. \\
& \left.\frac{(a+b)}{2 a+b}\right) \cdot \frac{3}{a+b}=\frac{3(a+b)}{a-b} \cdot \frac{3}{a+b}=\frac{9}{a-b} \\
& \text { We get the answer: } \frac{9}{a-b}=\frac{9}{2023-2020}=\frac{9}{3}=3
\end{aligned}
$$
Answer: 3
|
3
|
Algebra
|
math-word-problem
|
Yes
|
Yes
|
olympiads
| false
|
5. . Find all values of the parameter $a$ for which the equation
$$
\left(\left|\frac{a x^{2}-a x-12 a+x^{2}+x+12}{a x+3 a-x-3}\right|-a\right) \cdot|4 a-3 x-19|=0
$$
has one solution. In your answer, write the largest value of the parameter $a$
|
Solution:
Simplify $\frac{a x^{2}-a x-12 a+x^{2}+x+12}{a x+3 a-x-3}=\frac{a x^{2}-x^{2}+(-a x+x)+(-12 a+12)}{a(x+3)-(x+3)}=$
$=\frac{x^{2}(a-1)-x(a-1)-12(a-1)}{(x+3)(a-1)}=\frac{(a-1)\left(x^{2}-x-12\right)}{(x+3)(a-1)}=$
Preliminary (correspondence) online stage of the "Step into the Future" School Students' Olympiad in the subject of Mathematics
$$
=\frac{x^{2}+3 x-4 x-12}{x+3}=\frac{(x+3)(x-4)}{x+3}=x-4
$$
$$
\text { We get }\left\{\begin{array}{c}
(|x-4|-a) \cdot|4 a+3 x-19|=0 \\
a \neq 1 \\
x \neq-3
\end{array} ; \quad\left\{\begin{array}{c}
|x-4|-a=0 \\
4 a+3 x-19=0 \\
a \neq 1 \\
x \neq-3
\end{array}\right.\right.
$$
$$
\left\{\begin{array}{c}
a=|x-4| \\
a=-0.75 x+4.75 \\
\quad a \neq 1 \\
\quad x \neq-3
\end{array}\right.
$$
We will plot the graph in the coordinate system $x O a$
| $a=-0.75 x+4.75$ | | |
| :--- | :--- | :--- |
| $x$ | -3 | 5 |
| $y$ | 7 | 1 |
$a=|x-4|$ the graph will be obtained from $a=|x|$ by shifting 4 units to the right
Since $x \neq-3$, then $a \neq 7$
$$
a \neq 1 \text {, then } x \neq 3 ; x \neq 5
$$
The points $(-3 ; 7) ;(3 ; 1) ;(5 ; 1)$ are punctured
For $a \in(-\infty ; 0) \cup\{7\}-$ one solution
For $a \in(0 ; 1) \cup(1 ; 7) \cup(7 ;+\infty)-$ three

solutions
For $a=0$ two solutions
For $a=1$ no solutions
Answer: 7
|
7
|
Algebra
|
math-word-problem
|
Yes
|
Yes
|
olympiads
| false
|
6. In the right-angled triangle $ABC$ with the right angle at vertex $B$, on the longer leg $BC$, a segment $BD$ equal to the shorter leg is laid off from point $B$. Points $K$ and $N$ are the feet of the perpendiculars dropped from points $B$ and $D$ to the hypotenuse, respectively. Find the length of segment $BK$, if $AK=ND=2$.
|
Solution:
Drop a perpendicular from point $D$ to segment $B K$, let the foot of this perpendicular be point $M$. Then the right triangles $A K B$ and $B M D$ are equal by hypotenuse and acute angle, therefore, $B M=A K=2$. Quadrilateral $M K N D$ is a rectangle and $M K=N D=2$, then $B K=B M+M K=2+2=4$.
Answer: 4.
|
4
|
Geometry
|
math-word-problem
|
Yes
|
Yes
|
olympiads
| false
|
7. The production of x thousand units of a product costs $q=0.5 x^{2}-2 x-10$ million rubles per year. At a price of p thousand rubles per unit, the annual profit from selling this
Preliminary (online) stage of the "Step into the Future" School Students' Olympiad in the subject of Mathematics
product (in million rubles) is $p x - q$. The factory produces the product in such a quantity that the profit is maximized. For what minimum value of p will the total profit over three years be at least 126 million rubles.
|
# Solution:
Let the annual profit $f(x)=p x-q=p x-0.5 x^{2}+2 x+10=$
$-0.5 x^{2}+x(p+2)+10=-0.5\left(x^{2}-2 x(p+2)-20\right)=$
$=-0.5\left(x^{2}-2 x(p+2)+(p+2)^{2}-(p+2)^{2}-20\right)=$
$=-0.5(x-(p+2))^{2}+(p+2)^{2} / 2+10$
The quadratic trinomial $\mathrm{f}(\mathrm{x})$ reaches its maximum value at $\mathrm{x}=\mathrm{p}+2$ and is equal to $(p+2)^{2} / 2+10$
In three years, the total profit should be at least 126 million rubles, so we get
$(p+2)^{2} / 2+10 \geq 126 / 3$
$(p+2)^{2} \geq 42 \cdot 2-20$

but $\mathrm{p}>0=>p \geq 6$.
Answer: $\mathrm{p}=6$.
|
6
|
Algebra
|
math-word-problem
|
Yes
|
Yes
|
olympiads
| false
|
8. In triangle $A B C$, sides $A B, A C, B C$ are equal to 5, 6, and 7 respectively. On the median $A M$, segment $A K$ equal to 2 is laid off. Find the ratio of the areas of triangles $A B K$ and $A C K$. Write the answer as $\frac{S_{A B K}}{S_{A C K}}$.
|
# Solution:
The median of a triangle divides the triangle into two equal-area (equal in area) triangles. In triangle $ABC$, the areas of triangles $ABM$ and $ACM$ are equal because $AM$ is its median. In triangle $KBC$, the segment $KM$ is the median, so the areas of triangles $KBM$ and $KCM$ are equal. $S_{ABK} = S_{ABM} - S_{\text{KBM}} = S_{ACM} - S_{\text{KCM}} = S_{ACK}$, thus we get $S_{ABK} : S_{ACK} = 1$.
Answer: 1.
|
1
|
Geometry
|
math-word-problem
|
Yes
|
Yes
|
olympiads
| false
|
7.1. A truck and a car are moving in the same direction on adjacent lanes at speeds of 65 km/h and 85 km/h, respectively. At what distance from each other will they be 3 minutes after they are side by side?
|
Answer: 1 km. Solution. The difference in the speeds of the cars is 20 km/h, so in 3 minutes they will be separated by a distance equal to 20 (km/h) $\cdot \frac{1}{20}$ (hour) $=1$ km.
|
1
|
Algebra
|
math-word-problem
|
Yes
|
Yes
|
olympiads
| false
|
7.2. On a line, several points were marked, after which two points were placed between each pair of adjacent points, and then the same procedure (with the entire set of points) was repeated again. Could there be 82 points on the line as a result?
|
Answer: Yes. Solution. Let there be x points marked on the line initially. Then after the first procedure, $2(x-1)$ points are added to them, and there are a total of $3x-2$ points. After the second procedure, $2(3x-3)$ points are added to these points. Thus, there are a total of $3x-2+2(3x-3)=9x-8$ points on the line. Therefore, we need to solve the equation in integers $9x-8=82$. From this, $x=10$. This means that if there were 10 points initially, then after two procedures, there will be 82 points.
|
10
|
Combinatorics
|
math-word-problem
|
Yes
|
Yes
|
olympiads
| false
|
7.4. In triangle $A B C$, the angles $A$ and $C$ at the base are $20^{\circ}$ and $40^{\circ}$ respectively. It is known that $A C - A B = 5$ (cm). Find the length of the angle bisector of angle $B$.
|
Answer: 5 cm. Solution. Let $B M$ be the bisector of angle $B$. Mark a point $N$ on the base $A C$ such that $A N=A B$. Then triangle $A B N$ is isosceles and $\angle A B N=\angle A N B=80^{\circ}$. Since $\angle A B M=\frac{180^{\circ}-20^{\circ}-40^{\circ}}{2}=60^{\circ}$, then $\angle B M N=\angle A+\angle A B M=20^{\circ}+60^{\circ}=80^{\circ}$. Thus, the angles at the base of $\triangle M B N$ are equal, which means $\triangle M B N$ is isosceles: $M B=B N$. In $\triangle B N C$, the angles $\angle N C B$ and $\angle C N B$ are equal to $40^{\circ}$ (since $\angle B N C=180^{\circ}-80^{\circ}=100^{\circ}$ and $\angle N B C=180^{\circ}-40^{\circ}-100^{\circ}=40^{\circ}$). Therefore, $\triangle B N C$ is isosceles: $B N=N C$. As a result, we have $B M=B N=N C=5$ cm (since $N C=A C-A N=A C-A B)$.
## 8th grade
|
5
|
Geometry
|
math-word-problem
|
Yes
|
Yes
|
olympiads
| false
|
9.3. What is the smallest number of digits that need to be appended to the right of the number 2014 so that the resulting number is divisible by all natural numbers less than $10?$
|
Answer: 4 digits. Solution. If three digits are appended to 2014, the resulting number will be $\leq 2014$ 999. Dividing 2014999 by $2520=$ LCM $(1,2, \ldots, 9)$, we get a quotient of 799 and a remainder of 1519. Since $1519>1000$, there is no integer multiple of 2520 between the numbers 2014000 and 2014999. Therefore, it is impossible to append three digits to 2014. From this, it follows that it is also impossible to append one or two digits (otherwise, it would be possible to append zeros to make up three digits). Four digits will be sufficient, since $10000>2520$, and therefore there is an integer multiple of 2520 between 20140000 and 20149999 (the smallest of such numbers is $20142360=2520 \cdot 7993$).
|
4
|
Number Theory
|
math-word-problem
|
Yes
|
Yes
|
olympiads
| false
|
11.1. Solve the equation $\sin ^{2} x+1=\cos (\sqrt{2} x)$.
|
The answer is $x=0$. Solution. The left side of the equation $\geq 1$, and the right side $\leq 1$. Therefore, the equation is equivalent to the system: $\sin x=0, \cos \sqrt{2} x=1$. We have $x=\pi n, \sqrt{2} x=2 \pi k$ ( $n, k$ - integers). From this, $n=k \cdot \sqrt{2}$. Since $\sqrt{2}$ is an irrational number, the last equality is possible only when $n=k=0$.
|
0
|
Algebra
|
math-word-problem
|
Yes
|
Yes
|
olympiads
| false
|
7.5. Andrey and Seva are going to visit Borya. Andrey is at point $A$, and Borya is at point $B$, 30 km away from point $A$ along a straight highway. Seva is at point $C$, exactly halfway between $A$ and $B$. The friends decided to leave simultaneously: Andrey on a bicycle, and Seva on foot, but Andrey will leave the bicycle at an agreed location so that Seva can use it (Andrey will finish the journey on foot). The boys move at a speed of 20 km/hour on the bicycle and 5 km/hour on foot. Where should the bicycle be left so that the friends can arrive at Borya's place together as soon as possible?
|
Answer: 5 km before point $B$. Solution. Let $a=15$ (km), $u=5$ (km/h), $v=20$ (km/h). Let $x$ (km) be the distance from point $B$ to the place where the bicycle is left. Then Andrei's travel time is $t_{A}=\frac{2 a-x}{v}+\frac{x}{u}$, and Seva's travel time is $t_{C}=\frac{a-x}{u}+\frac{x}{v}$. We need to find such a value of $x$ for which the maximum of the two times $t_{A}$ and $t_{C}$ is as small as possible (if, for example, $t_{A}t_{C}$ and in each of these cases it is easy to show how to improve the time by leaving the bicycle a little closer or, respectively, a little further from the given place). Without proving this fact, the solution is rated less than half of the maximum score.
|
0
|
Algebra
|
math-word-problem
|
Yes
|
Yes
|
olympiads
| false
|
9.2. From a rectangular table of $m \times n$ cells, several squares of different sizes need to be cut out along the grid lines. What is the maximum number of squares that can be cut out if: a) $m=8$, $n=11$; b) $m=8, n=12 ?$
|
Answer: a) 5; b) 5. Solution. a) Note that the area of six different squares is no less than $1+4+9+16+25+36=91>88$. Therefore, it is impossible to cut out more than five different squares. A possible example for five squares (even in a rectangle $8 \times 9$) is shown in the figure. b) Suppose, for the sake of contradiction, that it is possible to cut out 6 squares of different sizes. Then these must be squares of sizes $1 \times 1, 2 \times 2, 3 \times 3, 4 \times 4, 5 \times 5$, and $6 \times 6$. After cutting out the $6 \times 6$ square from one side, a strip of width no more than 2 will remain on one side, and a strip of width no more than 6 on the other side. Therefore, the squares $4 \times 4$ and $5 \times 5$ must be located in the strip (no more than) $6 \times 8$. But after cutting out the $5 \times 5$ square from this strip, the remaining part will have strips of width no more than 3, and thus it will be impossible to place the $4 \times 4$ square.
|
5
|
Combinatorics
|
math-word-problem
|
Yes
|
Yes
|
olympiads
| false
|
11.1. How many roots does the equation $\sqrt{14-x^{2}}(\sin x-\cos 2 x)=0$ have?
|
Answer: 6 roots. Solution. The domain of the equation: $14-x^{2} \geq 0 \Leftrightarrow|x| \leq \sqrt{14}$. On this domain, we solve the trigonometric equation $\sin x-\cos 2 x=0 \Leftrightarrow \sin x+2 \sin ^{2} x-1=0$; $\sin x=\frac{-1 \pm 3}{4}$, i.e., $\sin x=-1$ or $\sin x=\frac{1}{2}$. From this, we get three series of solutions: 1) $\left.\left.x=-\frac{\pi}{2}+2 \pi k ; 2\right) x=\frac{\pi}{6}+2 \pi n ; 3\right) x=\frac{5 \pi}{6}+2 \pi m(k, n, m \in Z)$. Solutions of the first series lie in the domain of definition only when $k=0$ (since for $k \neq 0,|x| \geq 2 \pi-\frac{\pi}{2}=\frac{3 \pi}{2}>\frac{9}{2}>\sqrt{14}$ ). Solutions of the second series also lie in the domain of definition only when $n=0$ (since $\left|\frac{\pi}{6}-2 \pi\right|=\frac{11 \pi}{6}>\frac{11}{2}>\sqrt{14}$ ). Solutions of the third series lie in the domain of definition for $m=0$ and $m=-1$. Indeed, $\frac{5}{6} \pi2 \pi>\sqrt{14}$ ). Adding the roots of the first factor $\sqrt{14-x^{2}}$ of the original equation, namely $\pm \sqrt{14}$, we get a total of 6 roots.
|
6
|
Algebra
|
math-word-problem
|
Yes
|
Yes
|
olympiads
| false
|
10.5. How many a) rectangles; b) right-angled triangles with integer sides exist, for which the area is numerically equal to the perimeter? (Congruent figures are counted as one).
|
Answer: a) two; b) two. Solution. a) Let the sides of the rectangle be integers $a$ and $b$ ( $a \leq b$ ). Then $a b=2(a+b)$, which is equivalent to the equation $(a-2)(b-2)=4$. The number 4 can be factored into the product of two integers in four ways: $(1 ; 4),(2,2),(-4 ;-1),(-2,-2)$, of which the first two give rectangles $(3,6)$ and $(4,4)$. b) Let the legs of the right triangle be $a$ and $b(a \leq b)$. We have the equation $a+b+\sqrt{a^{2}+b^{2}}=\frac{a b}{2}$. Let $u=a+b, v=a b$ Then the equation can be written as $2 u+2 \sqrt{u^{2}-2 v}=v$. After isolating the square root on the left side, squaring both sides, and dividing the equation by $v$, we get: $v-4 u+8=0$, i.e., $a b-4 a-4 b+8$, or $(a-4)(b-4)=8$. The number 8 can be factored into the product of two integers in four ways: ( $1 ; 8),(2,4),(-8 ;-1),(-4,-2)$, of which the first two give right triangles $(5,12,13)$ and $(6,8,10)$.
|
2
|
Geometry
|
math-word-problem
|
Yes
|
Yes
|
olympiads
| false
|
11.1. Solve the equation $\cos ^{2}(\sqrt{2} x)-\sin ^{2} x=1$.
|
Answer: $x=0$. Solution. The left side of the equation does not exceed one, and it can equal one only if the following two conditions are simultaneously satisfied: $\cos ^{2}(\sqrt{2} x)=1$ and $\sin x=0$. Hence, $\sqrt{2} x=\pi n$ and $x=\pi k, k, n \in \mathbf{Z}$. Then $\frac{\pi n}{\sqrt{2}}=\pi k$, i.e., $n=\sqrt{2} k$ for some integers $n, k$. Since $\sqrt{2}$ is an irrational number, it follows from the last equation that $k$ must be zero. Therefore, $k=n=0$, and $x=0$.
|
0
|
Algebra
|
math-word-problem
|
Yes
|
Yes
|
olympiads
| false
|
11.4. $n$ vectors in space are such that any pair of them forms an obtuse angle. What is the largest value that $n$ can take?
|
Answer: 4. Solution. Let $\vec{a}_{1}, \vec{a}_{2}, \ldots, \vec{a}_{n}$ be the given vectors. Direct the $z$-axis of the coordinate space along $\vec{a}_{n}$. Then the $z$-coordinate of the other vectors must be negative (this follows from the formula for the cosine of the angle between vectors through the scalar product of vectors). Let $\vec{a}_{1}=\left(x_{1}, y_{1}, z_{1}\right), \ldots, \vec{a}_{n-1}=\left(x_{n-1}, y_{n-1}, z_{n-1}\right)$ be the coordinates of the vectors, and let the two-dimensional vectors $\vec{b}_{1}=\left(x_{1}, y_{1}\right), \ldots, \vec{b}_{n-1}=\left(x_{n-1}, y_{n-1}\right)$ be the projections of these vectors onto the $x O y$ plane. Then the angle between any pair of vectors $\vec{b}_{i}$ and $\vec{b}_{j}$ is obtuse: indeed, $\cos \left(\vec{b}_{i} \wedge \vec{b}_{j}\right)=\frac{x_{i} x_{j}+y_{i} y_{j}}{\left|\vec{b}_{i}\right| \cdot\left|\vec{b}_{j}\right|}<0$, since $x_{i} x_{j}+y_{i} y_{j}<x_{i} x_{j}+y_{i} y_{j}+z_{i} z_{j}<0$ (in the first of these inequalities, it is used that $z_{i}$ and $z_{j}$ are negative, and in the second, that the angle between $\vec{a}_{i}$ and $\vec{a}_{j}$ is obtuse). Thus, on the $x O y$ plane, the vectors $\vec{b}_{1}, \ldots, \vec{b}_{n-1}$ have the same property, namely: the angle between any pair of them is obtuse. Therefore, $n-1 \leq 3$ (this is easy to show if, by placing the vectors from one point, we sum the adjacent angles around the circle, since they sum up to $360^{\circ}$). Thus, we obtain the estimate $n \leq 4$. An example for four vectors can be given as follows: $\vec{a}_{1}=(1,0,-\varepsilon), \vec{a}_{2}=\left(\cos \frac{2 \pi}{3}, \sin \frac{2 \pi}{3},-\varepsilon\right), \vec{a}_{3}=\left(\cos \frac{4 \pi}{3}, \sin \frac{4 \pi}{3},-\varepsilon\right), \vec{a}_{4}=(0,0,1)$, where $\varepsilon$ is a sufficiently small positive number, which can be taken as $\varepsilon=0.1$.
## 11th Grade
|
4
|
Geometry
|
math-word-problem
|
Yes
|
Yes
|
olympiads
| false
|
10.3. Find all values of the parameter $a$ for which the equation $a x^{2}+\sin ^{2} x=a^{2}-a$ has a unique solution.
|
Answer: $a=1$. Solution. Note that only $x=0$ can be the unique root of the equation, since due to the evenness of the functions involved, for any solution $x_{0} \neq 0$, $(-x_{0})$ will also be a solution. Therefore, we necessarily get $a^{2}-a=0 \Leftrightarrow a=0$ or $a=1$. Let's check these values. When $a=0$, we have the equation $\sin ^{2} x=0$, which has an infinite set of solutions $x=k \pi(k \in Z)$. If $a=1$, then the equation $x^{2}+\sin ^{2} x=0$ has a unique solution $x=0$.
|
1
|
Algebra
|
math-word-problem
|
Yes
|
Yes
|
olympiads
| false
|
11.4. On the coordinate plane, the parabola $y=x^{2}$ is drawn. On the positive $O y$-axis, a point $A$ is taken, and through it, two lines with positive slopes are drawn. Let $M_{1}, N_{1}$ and $M_{2}, N_{2}$ be the points of intersection with the parabola of the first and second line, respectively. Find the ordinate of point $A$, given that $\angle M_{1} O N_{1}=\angle M_{2} O N_{2}$, where $O$ is the origin.
|
Answer. 1. Solution. Let $a$ be the ordinate of point A. The line passing through point $A$ has the equation $\mathrm{y}=k \cdot x+a$, and the abscissas $x_{1}, x_{2}$ of points M and $N$ of intersection of the line with the parabola are the roots of the equation $x^{2}=k \cdot x+a$. From Vieta's theorem, we have $x_{1} \cdot x_{2}=-a$ and $x_{1}+x_{2}=k$. We calculate $\cos (\angle M O N)=$ $\frac{(\overrightarrow{M O}, \overrightarrow{N O})}{|M \hat{O}||\overrightarrow{O O}|}=\frac{x 1 \cdot x 2 \cdot(1+x 1 \cdot x 2)}{|x 1 \cdot x 2| \sqrt{\left(1+x 1^{2}\right)\left(1+x 2^{2}\right)}}=\frac{-a(1-a)}{a \sqrt{1+a^{2}-2 a+k^{2}}}=\frac{a-1}{\sqrt{1+a^{2}-2 a+k^{2}}}$. When $a=1$, we have $\cos (\angle M O N)=0$ and, therefore, $\angle M O N$ does not depend on $k$. If $a \neq 1$ and for two angular coefficients $k_{1}, k_{2}>0$ the corresponding angles are equal, then from the equality $\frac{a-1}{\sqrt{1+a^{2}-2 a+k 1^{2}}}=\frac{a-1}{\sqrt{1+a^{2}-2 a+k 2^{2}}}$ it follows that $k_{1}^{2}=k_{2}^{2}$, i.e., $k_{1}=$ $k_{2}$ (due to the positivity of $k_{1}, k_{2}$). Thus, we obtain the answer $a=1$. (The equality $k_{1}=k_{2}$ can also be obtained without using the dot product: instead, the tangent of the angle $M O N$ can be calculated using the tangent addition formula for angles MOA and NOA.)
|
1
|
Geometry
|
math-word-problem
|
Yes
|
Yes
|
olympiads
| false
|
11.2. Solve the equation $(\sqrt{2023}+\sqrt{2022})^{x}-(\sqrt{2023}-\sqrt{2022})^{x}=\sqrt{8088}$.
|
Answer: $x=1$.
Solution. Notice that $\sqrt{8088}=2 \sqrt{2022}$. This observation suggests that $x=1$ is a root of the equation. We will show that there are no other roots. Indeed, the left side represents the difference of two exponential functions: the base of the first is greater than one, and the base of the second is less than one (it can be noted that the product of these bases equals one). Therefore, the left side is the difference of an increasing and a decreasing function over the entire real line, i.e., it is a strictly increasing function, and thus it takes the value equal to the number on the right side at the unique point $x=1$.
|
1
|
Algebra
|
math-word-problem
|
Yes
|
Yes
|
olympiads
| false
|
9.3 How many right-angled triangles with integer sides exist, where one of the legs is equal to 2021.
|
Answer: 4. Solution. Let the hypotenuse of a right triangle be $x$, one of the legs be $-y$, and the other be 2021. Then, by the Pythagorean theorem, $x^{2}-y^{2}=2021^{2}$, i.e., $(x-y) \cdot(x+y)=2021^{2}$. Considering that $x>y$, we have: $x+y>x-y>0$. Since the prime factorization of 2021 is $2021=43 \cdot 47$, the prime factorization of $2021^{2}$ is $2021^{2}=43^{2} \cdot 47^{2}$, and therefore $2021^{2}$ can be represented as the product of two natural numbers in five ways:
$2021^{2}=1 \cdot\left(43^{2} \cdot 47^{2}\right)=43 \cdot\left(43 \cdot 47^{2}\right)=47 \cdot\left(43^{2} \cdot 47\right)=43^{2} \cdot 47^{2}=(43 \cdot 47) \cdot(43 \cdot 47)$.
Since in the product $(x-y) \cdot(x+y)$ the factors are different and the second factor is greater than the first, we have four systems of two equations:

Solving each of these systems, we obviously get natural $x, y$ (which follows from the oddness of the right-hand sides). Therefore, there exist four right triangles with integer sides, one of which has a leg equal to 2021.
|
4
|
Number Theory
|
math-word-problem
|
Yes
|
Yes
|
olympiads
| false
|
9.1. For what values of the parameter $a$ do the equations $a x+a=7$ and $3 x-a=17$ have a common integer root?
|
Answer: $a=1$.
Solution. Solving these two equations as a system with unknowns $x$ and $a$, express $a$ from the second equation and substitute it into the first. We get the quadratic equation $3 x^{2}-14 x-24=0$. It has two roots: 6 and (-4/3). For the integer root $x=6$, the corresponding value of $a=3 x-17=1$.
|
1
|
Algebra
|
math-word-problem
|
Yes
|
Yes
|
olympiads
| false
|
10.2. How many solutions in natural numbers $x, y$ does the equation $x+y+2 x y=2023$ have?
|
Answer: 6.
Solution. Multiply the equation by 2, add one to both sides, and factor the left side, while expressing the right side as a product of prime factors:
$$
2 x+4 x y+2 y+1=4047 \Leftrightarrow(2 x+1)(2 y+1)=4047 \Leftrightarrow(2 x+1)(2 y+1)=3 \cdot 19 \cdot 71
$$
Since \(x\) and \(y\) are natural numbers, each factor on the left side is at least three, so the number one cannot appear in the factorization options, and the possible options are:
|
6
|
Number Theory
|
math-word-problem
|
Yes
|
Yes
|
olympiads
| false
|
11.2. Solve the equation $2 \cos (\pi x)=x+\frac{1}{x}$.
|
Answer: $x=-1$.
Solution. The left side of the equation is no more than two in absolute value, while the right side is no less than two in absolute value: for the right side, this follows from elementary inequalities, for example (for $x>0$), - from the inequality between the arithmetic mean and the geometric mean, and for $x<0$ it is true for the absolute value due to the oddness of the function $y=x+1 / x$; the same conclusion can also be reached by studying the range of values of this function using the derivative. The value of 2 (in absolute value) is only achieved at $x=1$ or $x=-1$. Checking these numbers, we find that only $x=-1$ works.
|
-1
|
Algebra
|
math-word-problem
|
Yes
|
Yes
|
olympiads
| false
|
11.1. Given the sequence $a_{n}=(-1)^{1+2+\ldots+n}$. Find $a_{1}+a_{2}+\ldots+a_{2017}$.
|
Answer: -1. Solution. We have $a_{n}=(-1)^{\text {sn }}$, where $S_{n}=\frac{n(n+1)}{2}$. It is easy to notice and prove that the parity of the number $S_{n}$ repeats with a period of 4: indeed, $S_{n+4}-S_{n}=\frac{(n+4)(n+5)-n(n+1)}{2}=\frac{8 n+20}{2}=4 n+10$, i.e., an even number. Therefore, $a_{1}+a_{2}+\ldots+a_{2017}=(-1-1+1+1)+(-1-1+1+1)+\ldots+(-1-1+1+1)+(-1)=0+0+\ldots+0+(-$ $1)=-1$.
|
-1
|
Algebra
|
math-word-problem
|
Yes
|
Yes
|
olympiads
| false
|
11.7 Find all values of the parameter \(a\), for each of which the system of equations
\[
\left\{
\begin{array}{l}
x^{2}+y^{2}=2 a, \\
x+\log _{2}\left(y^{2}+1\right)=a
\end{array}
\right.
\]
has a unique solution.
|
Answer: $a=0$.

Solution. Note that if $(x, y)$ is a solution to the system, then $(x, -y)$ is also a solution to this system. Therefore, if for a parameter $a$ the system has a unique solution, the value of $y$ must be zero. Then from the second equation, we have $x=a$, and substituting $x=a$, $y=0$ into the first equation, we get $a^2 = 2a$. Thus, $a=0$ or $a=2$. Now we need to check these values of $a$ (note that they are derived as a consequence of the uniqueness of the solution to the system, but do not yet guarantee uniqueness).
For $a=0$, the first equation is equivalent to the equalities $x=y=0$, and for these zero values of the unknowns, the second equation is satisfied, i.e., the value $a=0$ works.
For $a=2$, the system has the solution $x=2, y=0$, but for the system, this solution is not unique. Indeed, the curve $x=2-\log_2(y^2+1)$ intersects the circle $x^2+y^2=4$ not only at the point $(2; 0)$ but also at two symmetric points in the second and third quadrants. (see figure). This follows from the fact that the points $(1; 1)$ and $(1; -1)$ lie on the given curve and are inside the circle $x^2+y^2=4$ (or one can verify that the points $(0; \pm \sqrt{3})$ on the y-axis will also be such points), and for $|y|>2$, the corresponding points on the curve are outside the circle.
|
0
|
Algebra
|
math-word-problem
|
Yes
|
Yes
|
olympiads
| false
|
7.4. What is the minimum number of kings that need to be placed on a chessboard so that they attack all unoccupied squares? (A king attacks the squares that are adjacent to its square by side or corner).

|
Answer: 9 kings. Solution. The required arrangement of nine kings is shown in the figure. Let's prove that it is impossible to manage with a smaller number. Indeed, consider the 9 rectangular zones outlined on the figure with bold lines. If we assume the opposite, then at least one of these zones does not contain a king. However, in this case, the cell in this zone marked with a cross will not be attacked by any king located in another zone, since this cell does not border with other zones.
## 11th grade
|
9
|
Logic and Puzzles
|
math-word-problem
|
Yes
|
Yes
|
olympiads
| false
|
8.4. In an $n \times n$ grid, each cell is colored either white or black. For what smallest $n$ is it always true (i.e., for any coloring) that there exists a rectangle whose vertices coincide with the centers of four cells of the same color?
|
Answer: $n=5$. Proof. We will prove that for $n=5$ (and thus for $\mathrm{n}>5$) such a rectangle will exist. Consider the bottom row of the table. In it, there are at least 3 cells of the same color. Let's assume for definiteness that these are white cells. Then consider the three columns with these cells at the base, i.e., we consider a smaller table of size $5 \times 3$, the bottom row of which consists of three white cells. If in any of the four remaining rows of this smaller table there are two white cells, then the desired "white" rectangle is formed by their centers and the centers of the corresponding cells in the bottom row.

Now, suppose in each of these four rows there are at least two black cells. Then among these four rows, there will be at least two rows with the same arrangement of black cells, since there are only 3 different arrangements of two black (denoted by b) cells, namely: (bb?), (b?b), and (?bb)), and thus their centers form a "black" rectangle. An example of coloring a $4 \times 4$ square for which there is no such rectangle is shown in the figure (it is easy to verify that for this example, there are no "monochromatic" rectangles even with sides not parallel to the grid lines).
|
5
|
Combinatorics
|
math-word-problem
|
Yes
|
Yes
|
olympiads
| false
|
8.5. Girls stood in a circle, some of them wearing scarves. A circle is called correct if each girl without a scarf has a neighbor wearing a scarf. a) What is the minimum number of scarves in a correct circle of 25 girls? b) Prove that if in this correct circle of 25 girls there are more than 12 scarves, then some girls can take off their scarves, and the circle will still be correct.
|
Answer: a) 9. Solution. a) Note that among three consecutive girls, there is at least one handkerchief: otherwise, the girl in the middle would not have a neighbor with a handkerchief. Fix one girl with a handkerchief in the circle, say Tanya, and consider three girls in sequence clockwise after Tanya. There are a total of 8 such triplets, and in each of them, there is at least one handkerchief. Thus, the total number of handkerchiefs is no less than $1+8=9$, and the estimate is obtained. Now let's construct an example of a correct circle with 9 handkerchiefs: for this, we can put a handkerchief on Tanya, and in each of the specified triplets, on the girl standing in the middle. b) Suppose there are more than 12 handkerchiefs in the circle. Fix a girl without a handkerchief, say Olya (if all 25 girls have handkerchiefs, the situation is obvious: any of them can take off their handkerchief). The remaining 24 girls can be divided into six quartets, counting clockwise after Olya. Then in one of these quartets, there will be at least three handkerchiefs (by the pigeonhole principle or reasoning by contradiction: otherwise, there would be no more than $2 \cdot 6=12$ handkerchiefs in total). Therefore, among the three girls with handkerchiefs in this quartet, the middle girl can obviously take off her handkerchief and the circle will remain correct.
|
9
|
Combinatorics
|
math-word-problem
|
Yes
|
Yes
|
olympiads
| false
|
8.1. $\quad$ A cyclist planned to travel from point $A$ to point $B$ in 5 hours, moving at a constant speed. He traveled at the planned speed until the midpoint of the journey, then increased his speed by $25 \%$. He completed the journey to point $B$ at the new speed. How long did the entire trip take?
|
Answer: 4 hours 30 minutes. Solution. See problem 7.1.
|
4
|
Algebra
|
math-word-problem
|
Yes
|
Yes
|
olympiads
| false
|
10.4. The sequence $a_{n}$ is defined as follows: $a_{1}=2^{20}, a_{n+1}=s\left(a_{n}\right)$ for all $n$, where $s(a)$ denotes the sum of the digits of the natural number $a$. Find $a_{100}$.
|
Answer: 5. Solution. The main fact used is that the sum of the digits of any number has the same remainder when divided by 9 as the number itself. This fact is proven in the same way as the well-known divisibility rule for 9. We will show that the sequence $a_{n}$ decreases rapidly until it becomes less than 10, and after that, it obviously becomes constant. Indeed, if the number $n$ is $k$-digit, then $n>10^{k-1}$, and $s(n) \leq 9 k < 10^{k / 2} = \sqrt{10}^{k}$ for $k \geq 4$ (the last inequality is easily proven by induction). The initial number $a_{1}=2^{20}$ is less than $10^{1024}$, since $2^{2015} < (2^{3})^{672} < 10^{1024}$. Therefore, $a_{2}<10^{528}, a_{3}<10^{256}, \ldots, a_{9}<10^{4}$, i.e., $a_{9}$ has no more than three digits. Hence, $a_{10} \leq 3 \cdot 9 = 27$ and, obviously, $a_{12}<10$. It remains to find the remainder of $2^{2015}$ when divided by 9. Since $2^{3}$ has the form $9 p - 1$ (i.e., it has a remainder of 8 when divided by 9), then $2^{2013} = (2^{3})^{671}$ also has such a form (as the product of an odd number of factors of the form $9 p - 1$), and $2^{2015} = 2^{2013} \cdot 4 = (9 p - 1) \cdot 4 = 9 q + 5$ (where $q = 4 p - 1$).
|
5
|
Number Theory
|
math-word-problem
|
Yes
|
Yes
|
olympiads
| false
|
7.4. In triangle $A B C$, the angles $A$ and $C$ at the base are $20^{\circ}$ and $40^{\circ}$, respectively. It is known that $A C - A B = 5$ (cm). Find the length of the angle bisector of angle $B$.
|
Answer: 5 cm. Solution. Let $B M$ be the bisector of angle $B$. Mark a point $N$ on the base $A C$ such that $A N=A B$. Then triangle $A B N$ is isosceles and $\angle A B N=\angle A N B=80^{\circ}$. Since $\angle A B M=\frac{180^{\circ}-20^{\circ}-40^{\circ}}{2}=60^{\circ}$, then $\angle B M N=\angle A+\angle A B M=20^{\circ}+60^{\circ}=80^{\circ}$. Thus, the angles at the base of $\triangle M B N$ are equal, which means $\triangle M B N$ is isosceles: $M B=B N$. In $\triangle B N C$, the angles $\angle N C B$ and $\angle C N B$ are equal to $40^{\circ}$ (since $\angle B N C=180^{\circ}-80^{\circ}=100^{\circ}$ and $\angle N B C=180^{\circ}-40^{\circ}-100^{\circ}=40^{\circ}$). Therefore, $\triangle B N C$ is isosceles: $B N=N C$. As a result, we have $B M=B N=N C=5$ cm (since $N C=A C-A N=A C-A B)$.
## 8th grade
|
5
|
Geometry
|
math-word-problem
|
Yes
|
Yes
|
olympiads
| false
|
10.2. Find all values of the parameter $a$ for which the equation $|x+a|=\frac{1}{x}$ has exactly two roots.
|
Answer: $a=-2$. Solution. The intersection of the graphs of the right and left parts can only be in the first

the graph $y=|x+a|$ in the first quadrant represents the line $y=x+a$, which intersects with the hyperbola $y=\frac{1}{x}$ at exactly one point (since $y=\frac{1}{x}$ is a decreasing function). Now consider the values $a<0$. For $x \geq -a$, we have (reasoning similarly) one point of intersection of the graphs. Therefore, we need to find $a$ such that there is exactly one more point of intersection for $x \in (0, -a)$. We have $-x-a=\frac{1}{x} \Leftrightarrow x^{2}+a x+1=0 \Leftrightarrow x=\left(-a \pm \sqrt{a^{2}-4}\right) / 2$, hence $a=-2$ (for $-2<a<0$ the quadratic equation has no roots, and for $a<-2$ it has two positive roots, both less than $|a|$).
|
-2
|
Algebra
|
math-word-problem
|
Yes
|
Yes
|
olympiads
| false
|
8.5. Given a convex quadrilateral $A B C D$, where $A B=A D=1, \angle A=80^{\circ}$, $\angle C=140^{\circ}$. Find the length of the diagonal $A C$.
|
Answer: 1. Solution. We will prove that $A C=1$ by contradiction. If $A C>1$, then in triangle $A B C$ the larger side $A C$ is opposite the larger angle: $\angle B>\angle B C A$. Similarly, for triangle $A D C$ we have $\angle D>\angle D C A$. Adding these inequalities, we get $\angle B+\angle D>\angle C=140^{\circ}$. Thus, the sum of all angles of the quadrilateral $(\angle A+\angle C)+(\angle B+\angle D)>\left(80^{\circ}+140^{\circ}\right)+140^{\circ}=360^{\circ}$ - a contradiction. Similarly, if we assume that $A C<1$, then $\angle B+\angle D<\angle C$, and as a result, we get the sum of the angles of the quadrilateral less than $360^{\circ}$ - again, a contradiction. Comment. Another solution method uses the properties of inscribed angles: if we assume that point $C$ lies inside the unit circle centered at point $A$, then angle $C$ will be greater than $\frac{1}{2}\left(360^{\circ}-\angle A\right)=140^{\circ}$, and if $C$ lies outside the circle, then angle $C$ will be less than $140^{\circ}$. Therefore, $C$ lies on the circle.
|
1
|
Geometry
|
math-word-problem
|
Yes
|
Yes
|
olympiads
| false
|
7.2. From a three-digit number, the sum of its digits was subtracted and the result was 261. Find the second digit of the original number.
|
Answer: 7. Solution. Let $\overline{x y z}=100 x+10 y+z$ be the original number. According to the condition, $99 x+9 y=261$, i.e., $11 x+y=29$. Since $y \leq 9$, for $29-y$ to be divisible by 11, we get $y=7$ (and then $x=2$).
|
7
|
Number Theory
|
math-word-problem
|
Yes
|
Yes
|
olympiads
| false
|
7.2. There are 11 kg of cereal. How can you measure out 1 kg of cereal using two weighings on a balance scale, if you have one 3 kg weight?
|
Solution. First weighing: place a weight (3 kg) on one scale pan, and on the other, initially 11 kg of grain, and keep pouring grain onto the first pan until equilibrium is achieved. We get 3 kg (weight) + 4 kg (grain) $=7$ kg (grain) (since $3+x=11-x=>x=4$). Second weighing: from the obtained 4 kg of grain, pour out 3 kg of grain to balance the 3 kg weight. The weight of the remaining grain is 1 kg.
|
1
|
Logic and Puzzles
|
math-word-problem
|
Yes
|
Yes
|
olympiads
| false
|
7.3. The numbers $a, b$, and $c$ satisfy the relation $\frac{a+b}{c}=\frac{b+c}{a}=\frac{a+c}{b}$. Find $a+b+c$, given that $b \neq c$.
|
Answer: 0. Solution. From the equality $\frac{a+b}{c}=\frac{a+c}{b}$, we get $a(b-c)=(c-b)(c+b)$. Dividing this equality by $b-c \neq 0$, we obtain $b+c=-a$. Therefore, $a+b+c=0$.
|
0
|
Algebra
|
math-word-problem
|
Yes
|
Yes
|
olympiads
| false
|
10.3. The sum $1+\frac{1}{2}+\frac{1}{3}+\ldots+\frac{1}{45}$ is represented as a fraction with the denominator $45!=1 \cdot 2 \cdots 45$. How many zeros (in decimal notation) does the numerator of this fraction end with?
|
Answer: 8 zeros. Solution. The numerator of the fraction is the sum of numbers of the form $1 \cdot 2 \cdot \ldots \cdot(k-1)(k+1) \cdot \ldots .45$ (the product lacks one of the natural numbers from 1 to 45). Let's denote such a term as $c_{k}$. Note that $45!=5^{10} \cdot 2^{n} \cdot \boldsymbol{p}$, where $\boldsymbol{p}$ is coprime with 10, and $n>$ 15 (in fact, $\boldsymbol{n}=\left[\frac{45}{2}\right]+\left[\frac{45}{2^{2}}\right]+\ldots+\left[\frac{45}{2^{5}}\right]=22+11+5+2+1=41$), i.e., 45! ends with 10 zeros. In the numerator, in the given sum, the terms $c_{k}$ for $k$ not divisible by five will be divisible by $5^{10} \cdot 2^{10}$, i.e., such terms end with 10 zeros. The terms $c_{k}$ for $k$ divisible by five but not equal to 25 will be divisible by $5^{9} \cdot 2^{9}$ and, therefore, will end with 9 zeros. There is only one term, namely, $c_{25}$, in which 5 enters to the 8th power, and only this term ends with 8 zeros. Therefore, the numerator ends with 8 zeros.
|
8
|
Number Theory
|
math-word-problem
|
Yes
|
Yes
|
olympiads
| false
|
7.1. There are 19 kg of cereal. Can 1 kg be measured with three weighings on a balance scale if there is one 3 kg weight?
|
Answer: It is possible. Solution. The first weighing can yield 8 kg of cereal. If a weight is placed on one (left) pan of the scales and, by pouring cereal from the right pan to the left, the scales are balanced. Indeed, from the equation $3+x=19-x$ we get $x=8$, i.e., there will be 8 kg of cereal on the pan with the weight. Leave 8 kg of cereal on the scales and, with the second weighing, divide this weight in half by pouring and balancing the pans of the scales. The last weighing will yield 1 kg if the weight is placed on one pan, and 4 kg of cereal on the other, and then 1 kg is poured (into a bag) to achieve balance.
|
1
|
Logic and Puzzles
|
math-word-problem
|
Yes
|
Yes
|
olympiads
| false
|
# Task 4. (12 points)
Solve the equation $x^{2}+y^{2}+1=x y+x+y$.
#
|
# Solution
$$
\begin{gathered}
x^{2}+y^{2}+1=x y+x+y \Leftrightarrow(x-y)^{2}+(x-1)^{2}+(y-1)^{2}=0 \Leftrightarrow \\
x=y=1 .
\end{gathered}
$$
Answer: $x=y=1$.
|
1
|
Algebra
|
math-word-problem
|
Yes
|
Yes
|
olympiads
| false
|
# Task 1. (10 points)
How many natural numbers $n$ exist such that the equation $n x-12=3 n$ has an integer solution
#
|
# Solution.
Since $n x-12=3 n \Rightarrow x=3+\frac{12}{n}$, the condition of the problem is satisfied if 12 is divisible by $n$. Therefore, $n$ can take the values $1,2,3,4,6,12$.
Answer. 6
| Criterion | Evaluation | Points |
| :---: | :---: | :---: |
| Complete solution. | + | 10 |
| All main logical steps of the solution are provided. Integer values of $\boldsymbol{n}$ are calculated. | | |
| All main logical steps of the solution are provided. The answer is incorrect. | $+/ 2$ | 5 |
| The answer is correct. The solution is missing or incorrect. | $\mp$ | 2 |
| The solution does not meet any of the criteria described above. | $-/ 0$ | 0 |
| Maximum score | 10 | |
|
6
|
Algebra
|
math-word-problem
|
Yes
|
Yes
|
olympiads
| false
|
# Task 5. (12 points)
On a plane, there are four different circles. We will call an intersection point a point where at least two circles intersect. Find the maximum possible number of intersection points of four circles.
#
|
# Solution
Any two circles can intersect at no more than two points. From four circles, we can choose 6 different pairs of circles. Therefore, the number of intersection points cannot exceed 12.
The figure below shows a case where there are exactly 12 intersection points.

Answer: 12.
|
12
|
Geometry
|
math-word-problem
|
Yes
|
Yes
|
olympiads
| false
|
# Task 11.3. (12 points)
How many distinct roots does the equation $f(f(f(x)))=1$ have, if $f(x)=x-\frac{2}{x}$.
|
# Solution.
Let $f(x)=k=x-\frac{2}{x}, f(f(x))=f(k)=k-\frac{2}{k}, f(f(f(x)))=f(f(k))=f(k)-\frac{2}{f(k)}$. The equation $f(f(f(x)))=f(k)-\frac{2}{f(k)}=1 \Leftrightarrow f^{2}(k)-f(k)-2=0$ has two solutions $f_{1}(k)=-1$ and $f_{2}(k)=2$.
We obtain $\left[\begin{array}{l}f(k)=k-\frac{2}{k}=-1 \\ f(k)=k-\frac{2}{k}=2\end{array} \Leftrightarrow\left[\begin{array}{l}k^{2}+k-2=0 \\ k^{2}-2 k-2=0\end{array}\right.\right.$.
The system has four distinct roots $k_{1}, k_{2}, k_{3}, k_{4}$.
Notice that the equations $x-\frac{2}{x}=k \Leftrightarrow x^{2}-k_{i} x-2=0$ have two distinct roots and these equations with different $k_{i}$ do not have common roots.
(Schoolchildren should strictly prove this or find the roots $x$ explicitly).
Thus, the original equation has 8 distinct roots.
Answer. 8.
| Content of the criterion | Evaluation | Points |
| :---: | :---: | :---: |
| Complete solution. | + | 12 |
| The answer is correct. All main logical steps of the solution are provided. There are arithmetic errors or typos that did not affect the overall course of the solution. | +. | 10 |
| The answer is correct. All main logical steps of the solution are provided. There is no strict justification for some conclusions. | $\pm$ | 9 |
| All main logical steps of the solution are provided. The incorrect reasoning led to an incorrect answer. | $+/ 2$ | 6 |
| The answer is correct. The main logical steps of the solution are provided. There is no proof that the equations $x^{2}-k_{i} x-2=0$ for different $k_{i}$ do not have common roots. | | |
| The answer is correct. The solution is missing or incorrect. | $\mp$ | 2 |
| :---: | :---: | :---: |
| Some steps reflecting the general idea of the solution are provided. The answer is missing or incorrect. | | |
| The solution does not meet any of the criteria described above. | $-/ 0$ | 0 |
| Maximum score | 12 | |
|
8
|
Algebra
|
math-word-problem
|
Yes
|
Yes
|
olympiads
| false
|
Task 11.6. (14 points)
Real numbers $a$ and $b$ are such that $\left(a+\sqrt{1+a^{2}}\right)\left(b+\sqrt{1+b^{2}}\right)=1$. Find the sum $a+b$.
#
|
# Solution.
$$
\begin{aligned}
& b+\sqrt{1+b^{2}}=\frac{1}{a+\sqrt{1+a^{2}}}=-a+\sqrt{1+a^{2}} \\
& a+\sqrt{1+a^{2}}=\frac{1}{b+\sqrt{1+b^{2}}}=-b+\sqrt{1+b^{2}}
\end{aligned}
$$
By adding the obtained equations, we get
$$
a+b+\sqrt{1+a^{2}}+\sqrt{1+b^{2}}=-a-b+\sqrt{1+a^{2}}+\sqrt{1+b^{2}} \Rightarrow a+b=0
$$
## Answer. 0.
| Criterion | Evaluation | Points |
| :---: | :---: | :---: |
| Complete solution. | + | 14 |
| All main logical steps of the solution are presented. Some justifications are missing in the solution. The answer is correct. | $\pm$ | 11 |
| The idea of the solution is found. The main logical steps of the solution are presented. The answer is incorrect or missing. | $+/ 2$ | 7 |
| The answer is correct. The solution is missing or incorrect. | $\mp$ | 3 |
| The solution does not meet any of the criteria described | | |
| above. | | |
|
0
|
Algebra
|
math-word-problem
|
Yes
|
Yes
|
olympiads
| false
|
# Task 4. (12 points)
The angle bisectors of angles $A, B$, and $C$ of triangle $A B C$ intersect the circumcircle of this triangle at points $A_{1}, B_{1}$, and $C_{1}$, respectively. Find the distances between point $A_{1}$ and the center of the inscribed circle of triangle $A B C$, given that $\angle A_{1} B_{1} C_{1}=50^{\circ}, \angle A_{1} C_{1} B_{1}=70^{\circ}, B_{1} C_{1}=\sqrt{3}$.
|
# Solution.
In the figure, identical numbers mark equal angles (this follows from the fact that $A A_{1}, B B_{1}, C C_{1}$ are the angle bisectors of triangle $ABC$, the angle marked "1+2" near point $O$ (which is the center of the inscribed circle) is equal to $\angle O A B + \angle O B A = \angle 1 + \angle 2$ by the exterior angle theorem of a triangle. Therefore, triangle $O B A_{1}$ is isosceles and $A_{1} B = A_{1} O$ is the desired segment.
$\angle A B_{1} C_{1} = 50^{\circ}, \angle A C_{1} B_{1} = 70^{\circ}$, hence $\angle B_{1} A_{1} C_{1} = 60^{\circ}$. By the Law of Sines,
$\frac{B_{1} C_{1}}{\sin \angle B_{1} A_{1} C_{1}} = 2 R, \frac{\sqrt{3}}{\sin 60^{\circ}} = 2 R, R = 1$. Next,
$\angle A = \angle A_{1} B_{1} C_{1} + \angle A_{1} C_{1} B_{1} - \angle B_{1} A_{1} C_{1} = 60^{\circ}$,

from which $\angle 1 = 30^{\circ}$. Then
$A_{1} O = A_{1} B = 2 \cdot R \cdot \sin \angle 1 = 1$.
Answer: 1.
| Criterion for Evaluation Full solution. | Rating + | Points |
| :---: | :---: | :---: |
| The main logical steps of the solution are presented. The solution lacks some justifications or has a computational error or typo. | $\pm$ | 9 |
| The idea of the solution is found, but it is not completed. However, a significant part of the task is performed. | $+/ 2$ | 6 |
| The solution is generally incorrect or incomplete, but contains some progress in the right direction. | $\mp$ | 2 |
| The solution does not meet any of the criteria described | | |
| above. | | |
All-Russian School Olympiad "Mission Possible. Your Calling - Financier!"
|
1
|
Geometry
|
math-word-problem
|
Yes
|
Yes
|
olympiads
| false
|
# Task 8. (16 points)
How many solutions in integers does the equation $x_{1}^{4}+x_{2}^{4}+\cdots+x_{14}^{4}=2031$ have.
|
# Solution.
Note that if the number $n$ is even, then $n^{4}$ is divisible by 16.
If $n$ is odd, then the number
$$
n^{4}-1=(n-1)(n+1)\left(n^{2}+1\right)
$$
is divisible by 16.
Therefore, the remainder of the left-hand side of the equation $x_{1}^{4}+x_{2}^{4}+\cdots+x_{14}^{4}$ when divided by 16 is equal to the number of odd numbers in the set $x_{1}, x_{2}, \ldots, x_{14}$, i.e., it does not exceed 14. On the other hand, 2031 has a remainder of 15 when divided by 16, which means the equality of the left and right sides is impossible.
Answer: 0 (no solutions).
All-Russian School Olympiad "Mission Possible. Your Calling - Financier!"
| Content of the criterion | Evaluation | Points |
| :---: | :---: | :---: |
| Complete solution. | + | 16 |
| Main logical steps of the solution are presented. Some justifications are missing in the solution. | $\pm$ | 12 |
| The idea of the solution is found, but it is not completed. A significant part of the task is completed. | $+/ 2$ | 8 |
| The solution is generally incorrect or incomplete, but contains some progress in the right direction. In particular, estimates for $x_{1}, x_{2}, \ldots, x_{14}$ and the correct answer may be provided. | $\mp$ | 4 |
| The solution does not meet any of the criteria described above. | $-/ 0$ | 0 |
| Maximum score | 16 | |
|
0
|
Number Theory
|
math-word-problem
|
Yes
|
Yes
|
olympiads
| false
|
Problem 4. At the exchange office, there are two types of operations: 1) give 2 euros - get 3 dollars and a candy as a gift; 2) give 5 dollars - get 3 euros and a candy as a gift.
When the wealthy Pinocchio came to the exchange office, he only had dollars. When he left, he had fewer dollars, no euros appeared, but he received 50 candies. How much did such a "gift" cost Pinocchio in dollars?
[6 points] (I.V. Raskina)
|
Answer: $10.
Solution: Since Buratino received 50 candies, he performed exactly 50 operations. At the same time, he exchanged all the euros he received back into dollars. Therefore, for every 3 operations of the first type, there were 2 operations of the second type. That is, Buratino received $3 30 times and gave away $5 20 times. Thus, he spent $20 \cdot 5 - 30 \cdot 3 = 10$ dollars.
|
10
|
Logic and Puzzles
|
math-word-problem
|
Yes
|
Yes
|
olympiads
| false
|
Problem 1. Yura has a calculator that allows multiplying a number by 3, adding 3 to a number, or (if the number is divisible by 3) dividing the number by 3. How can one use this calculator to get from the number 1 to the number 11? $\quad[3$ points] (T. I. Golenishcheva-Kutuzova)
|
Answer. For example, $((1 \cdot 3 \cdot 3 \cdot 3)+3+3): 3=11$ or $(1 \cdot 3+3): 3+$ $3+3+3=11$.
Comment. Note that on Yura's calculator, any number can be increased by $1:(x \cdot 3+3): 3=x+1$. Therefore, in principle, any natural number can be obtained from one on it.
|
11
|
Logic and Puzzles
|
math-word-problem
|
Yes
|
Yes
|
olympiads
| false
|
Problem 2. In a small town, there is only one tram line. It is circular, and trams run along it in both directions. There are stops on the loop: Circus, Park, and Zoo. The journey from Park to Zoo via Circus is three times longer than not via Circus. The journey from Circus to Zoo via Park is twice as short as not via Park. Which route from Park to Circus is shorter - via Zoo or not via Zoo - and by how many times?
(A.V. Shapovalov)
|
Answer: The path not through the Zoo is 11 times shorter.
Solution. Let's board the tram at the Zoo stop and travel through the Circus to the Park, and then, without leaving the tram, return to the Zoo. The second part of the journey is three times shorter than the first, meaning the first part takes up three quarters of the full circle, and the second part takes up one quarter. Let's mark the Zoo and the Park on the map, and somewhere on the longer arc between them, mark the Circus (see the diagram). Now, on the same tram, let's travel from the Circus to the Zoo (passing the Park, as shown on the map).

Having arrived at the Zoo, we will return to the Circus on the same tram, completing a full circle. The first part of the journey is twice as short as the second, meaning it takes up one third of the circle. This means that the path (still on the same tram) from the Circus to the Park will not pass through the Zoo and will constitute $\frac{1}{3}-\frac{1}{4}=\frac{1}{12}$ of the full circle. The path through the Zoo is $1-\frac{1}{12}=\frac{11}{12}$ of the circle, which is 11 times longer.
|
11
|
Logic and Puzzles
|
math-word-problem
|
Yes
|
Yes
|
olympiads
| false
|
Problem 1. On the surface of a planet shaped like a donut, two snails crawled, leaving trails behind: one along the outer equator, and the other along a spiral line (see figure). Into how many parts did the snails' trails divide the surface of the planet? (It is sufficient to write the answer.)

## [4 points] (S.K. Smirnov, I.V. Yashchenko)
|
Answer: 3.
Comment. Let's imagine the surface of a donut made of paper. Cut it along the path of the first snail and unfold it. We will get the lateral surface of a cylinder. The path of the second snail will be cut in three places. That is, on the resulting surface, the trail of the second snail represents three lines connecting the bottom base of the cylinder with the top. It is not difficult to realize that they divide the lateral surface of the cylinder into 3 parts.

|
3
|
Geometry
|
math-word-problem
|
Yes
|
Yes
|
olympiads
| false
|
Problem 2. The she-rabbit bought seven drums of different sizes and seven pairs of sticks of different lengths for her seven bunnies. If a bunny sees that both its drum is larger and its sticks are longer than those of one of its brothers, it starts to drum loudly. What is the maximum number of bunnies that can start drumming? [3 points] (D.V. Baranov)
|
Answer: 6 baby rabbits.
Solution: Not all baby rabbits can play the drum, as the baby rabbit that gets the smallest drum will not play it. On the other hand, if the same baby rabbit is also given the shortest drumsticks, then all the other baby rabbits will play the drum.
|
6
|
Combinatorics
|
math-word-problem
|
Yes
|
Yes
|
olympiads
| false
|
Problem 3. There were several whole cheese heads on the warehouse. At night, rats came and ate 10 heads, and everyone ate equally. Several rats got stomachaches from overeating. The remaining 7 rats the next night finished off the remaining cheese, but each rat could eat only half as much cheese as the night before. How much cheese was originally on the warehouse? [5 points] (A.D. Blyunkov, I. V. Raskina)
|
Answer: 11 cheese heads
Solution: Let the total number of rats be $k$ ( $k>7$ ), then each rat ate $10 / k$ cheese heads on the first night. On the second night, each rat ate half as much, that is, $5 / k$ cheese heads. Thus, the 7 rats ate a total of $35 / k$ cheese heads. This is an integer. The only divisor of the number 35 that exceeds $7$ is the number 35 itself. Therefore, $35 / k=1$, and the total number of cheese heads on the warehouse before the rat invasion was $10+1=11$ cheese heads.
|
11
|
Logic and Puzzles
|
math-word-problem
|
Yes
|
Yes
|
olympiads
| false
|
Problem 3. Dima lives in a nine-story building. He descends from his floor to the first floor by elevator in 1 minute. Due to his small stature, Dima cannot reach the button for his floor. Therefore, when going up, he presses the button he can reach, and then walks the rest of the way. The entire journey upwards takes 1 minute 10 seconds. The elevator moves up and down at the same speed, and Dima climbs at half the speed of the elevator. On which floor does Dima live?
[6 points] (D.E. Shnol)
|
Answer. Dima lives on the seventh floor.
First solution. Consider the part of the journey that Dima travels down by elevator and up on foot. On the one hand, the walk takes twice as long, and on the other, it is 10 seconds longer. Therefore, he traveled this part by elevator in 10 seconds and walked it in 20 seconds. Since the entire elevator ride takes 60 seconds, he walked $1 / 6$ of the way.
Notice that he walked a whole number of intervals between floors. Since the building is nine-story, he walked 1 interval and rode 5. Therefore, Dima lives on the 7th floor.
Second solution. Let the elevator move at a speed of $v$ floors per second, Dima lives on the $n$-th floor, and usually gets off on the $m$-th floor. Then
$$
\left\{\begin{array}{l}
\frac{n-1}{v}=60 \\
\frac{m-1}{v}+\frac{n-m}{v} \cdot 2=70
\end{array}\right.
$$
from which $m-1+2 n-2 m=70 v$. Substitute $v=\frac{n-1}{60}$ from the first equation:
$$
\begin{gathered}
2 n-m-1=\frac{n-1}{6} \cdot 7 \\
12 n-6 m-6=7 n-7 \\
5 n+1=6 m
\end{gathered}
$$
Since $m<9$, it is not difficult to find that $n=7$, and $m=6$.
|
7
|
Logic and Puzzles
|
math-word-problem
|
Yes
|
Yes
|
olympiads
| false
|
Problem 3. Bus stop $B$ is located on a straight highway between stops $A$ and $C$. After some time following departure from $A$, the bus found itself at a point on the highway such that the distance from this point to one of the three stops is equal to the sum of the distances to the other two. After the same amount of time, the bus was again at a point with this property, and after another 25 minutes, it arrived at $B$. How much time does the bus need for the entire journey from $A$ to $C$, if its speed is constant and it stops at $B$ for 5 minutes?
$[6$ points] (A.V.Khachaturyan)
|
Answer: 3 hours.
Solution. At both moments in time mentioned in the problem, the sum of distances will obviously be the distance from the bus to the farthest stop from it. This cannot be $B$, as it is closer than $C$. Therefore, these were $C$ (before the bus had traveled halfway from $A$ to $C$) and $A$ (after this moment).

In the first case, the bus was at point $X$ and the distance from it to $C$ was equal to the sum of the distances to $A$ and to $B$. But this distance is also equal to the sum of the distance to $B$ and the distance $B C$. Therefore, the bus had traveled exactly the distance $B C$. On the diagram, we marked equal distances with arcs.
By the second moment, the bus had traveled another distance $B C$ and was at point $Y$. The sum of the distances from it to $B$ and to $C$ is equal to $B C$ and $Y B$, counted twice. According to the problem, this is the distance to $A$, so $Y B$ is half the length of $B C$.

Since $Y B$ was traveled in 25 minutes, $B C$ will be traveled in 50 minutes, and the entire journey will take $3 \cdot 50 + 25 + 5 = 180$ minutes, which is three hours.
|
3
|
Algebra
|
math-word-problem
|
Yes
|
Yes
|
olympiads
| false
|
Problem 3. In the park, there were lindens and maples. Maples among them were $60 \%$. In spring, lindens were planted in the park, after which maples became $20 \%$. In autumn, maples were planted, and maples became $60 \%$ again. By what factor did the number of trees in the park increase over the year?
[6 points] (D.E. Shnol)
|
Answer: 6 times.
First solution. Before the planting, lindens constituted $2 / 5$, and maples $-3 / 5$ of all the trees in the park. By summer, the number of maples did not change, but they began to constitute $1 / 5$ of all the trees. Therefore, the total number of trees in the park increased threefold. At the same time, lindens constituted $4 / 5$ of all the trees.
By winter, the number of lindens did not change, but they began to constitute $2 / 5$ of all the trees. Therefore, the total number of trees increased by another factor of two. Thus, over the year, the number of trees increased by a factor of 6.
Second solution. At first, there were 1.5 times fewer lindens than maples, and then there were 4 times more. While the number of maples did not change. Therefore, the number of lindens increased by $1.5 \cdot 4 = 6$ times. Note that by the end of the year, the ratio of the number of maples to the number of lindens became the same as it was at the beginning.
Since the number of lindens did not change in the fall, the number of maples also increased by six times. That is, the number of trees in the park increased by six times.
|
6
|
Algebra
|
math-word-problem
|
Yes
|
Yes
|
olympiads
| false
|
Problem 1. Children went to the forest to pick mushrooms. If Anya gives half of her mushrooms to Vitya, all the children will have the same number of mushrooms, and if instead Anya gives all her mushrooms to Sasha, Sasha will have as many mushrooms as all the others combined. How many children went mushroom picking?
|
Answer: 6 children.
Solution: Let Anya give half of her mushrooms to Vitya. Now all the children have the same number of mushrooms (this means that Vitya did not have any mushrooms of his own). For Sanya to now get all of Anya's mushrooms, he needs to take the mushrooms from Vitya and Anya. Then he will have the mushrooms of three children - Vitya's, Anya's, and his own. The others will have just as many, so with Vitya, Anya, and Sanya, there were three more children in the forest.
|
6
|
Logic and Puzzles
|
math-word-problem
|
Yes
|
Yes
|
olympiads
| false
|
Problem 5. Mom baked pies - three with rice, three with cabbage, and one with cherries - and laid them out in a circle on a plate (see fig.). Then she put the plate in the microwave to warm them up. On the outside, all the pies look the same.

Masha knows how they were arranged, but she doesn't know how the plate was rotated. She wants to eat the cherry pie, considering the others to be unappetizing. How can Masha definitely achieve this, biting into as few unappetizing pies as possible
[7 points] (A. V. Khachaturyan)

|
Solution. It is clear that Masha cannot solve the task with one bite. If Masha, for example, tried a cabbage pie, she cannot determine which of the three she got, and therefore cannot confidently find the pie with the cherry.
Let's show how Masha can solve the task in two bites.
Suppose Masha bit into a pie, and it turned out to be not with cherry, but with cabbage. Then she can try the pie that lies one position clockwise from it. If this is the pie with cherry, Masha has achieved her goal; if it is with rice, then the desired pie is between the bitten ones; and if it is again with cabbage, then she should take the next one clockwise, and this will definitely be the pie with cherry.
If the first pie is with rice, Masha can act similarly, but move counterclockwise.
Comment. Masha can act similarly with a larger number of "unpalatable" pies. Suppose there are $N$ cold pies with cabbage on the plate, then a pie with cherry, and again $N$ pies with rice. Masha can notice the middle pie with cabbage (and if $N$ is even, then any of the two middle ones) and remember how many pies she needs to count clockwise to take the pie with cherry. When the pies warm up, Masha tries one pie. Suppose she is unlucky, and it turns out to be with cabbage. Masha can then imagine that she tried the very middle pie and count from it as needed. If she guessed correctly, she will get the cherry, and if not, she will understand whether she is closer to the desired pie than the chosen middle one or farther from it. In any case, the uncertainty is reduced by half: after one attempt, Masha has "under suspicion" no more than half of the pies with cabbage.
A lot of interesting information about problems on the amount of information can be found in the book by K.A. Knop "Weighings and Algorithms: From Puzzles to Problems" (Moscow, MCCME, 2011).
|
2
|
Logic and Puzzles
|
math-word-problem
|
Yes
|
Yes
|
olympiads
| false
|
Problem 4. In the morning, a dandelion blooms, it flowers yellow for three days, on the fourth day in the morning it turns white, and by the evening of the fifth day, it withers. On Monday afternoon, there were 20 yellow and 14 white dandelions on the meadow, and on Wednesday there were 15 yellow and 11 white. How many white dandelions will there be on the meadow on Saturday?
[6 points] (D.E. Shnol)
|
Answer: 6 white dandelions.
Solution: A blooming dandelion is white on the fourth and fifth day. Therefore, on Saturday, the dandelions that bloomed on Tuesday or Wednesday will be white. Let's determine how many there are.
14 dandelions that were white on Monday had all their seeds dispersed by Wednesday, while 20 yellow ones definitely survived until Wednesday (possibly turning white).
On Wednesday, there were $15+11=26$ dandelions on the meadow. We know that 20 of them were on the meadow since Monday, and the remaining $26-20=6$ bloomed on Tuesday and Wednesday.
Comment: It is not hard to notice that the number of white dandelions on Monday does not affect the answer.
|
6
|
Logic and Puzzles
|
math-word-problem
|
Yes
|
Yes
|
olympiads
| false
|
Problem 1. Children visited the dolphinarium. Katya remembered that there were exactly 7 either otters or seals; Yura that there were exactly 6 either sea lions or seals; Igor - that there were exactly 5 either otters or sea lions; Seryozha - that there were the fewest either seals or otters. No one was wrong. How many otters, seals, and sea lions were there in the dolphinarium?
[4 points] (T. Kazitsyna)
|
Answer: 5 otters, 7 seals, 6 sea lions.
Solution: Since none of the children made a mistake, one of the otters, sea lions, and seals was exactly 5, one was exactly 6, and one was exactly 7. Sergey remembered that the fewest (meaning 5) were either seals or otters, and Igor remembered that 5 were either otters or sea lions. Therefore, 5 were exactly otters. Then 7 were not otters, but seals. Therefore, 6 were sea lions.
|
5
|
Logic and Puzzles
|
math-word-problem
|
Yes
|
Yes
|
olympiads
| false
|
Problem 2. In an aquarium, there are three types of fish: gold, silver, and red. If the cat eats all the gold fish, the number of fish will be 1 less than $2 / 3$ of the original number. If the cat eats all the red fish, the number of fish will be 4 more than $2 / 3$ of the original number. Which fish - gold or silver - are there more of, and by how many?
[4 points] (I.R. Vysotsky, I.V. Raskina)
|
Answer: There are 2 more silver fish.
Solution: From the first condition, there is 1 more goldfish than a third. From the second condition, there are 4 fewer red fish than a third. Therefore, there are 3 more silver fish than a third.
|
2
|
Algebra
|
math-word-problem
|
Yes
|
Yes
|
olympiads
| false
|
Problem 5. Given an equilateral triangle $ABC$. On side $AB$, point $K$ is marked, and on side $BC$ - points $L$ and $M$ ( $L$ lies on segment $BM$ ) such that $KL=KM, BL=2, AK=3$. Find $CM$.
[7 points]

(E. V. Bakayev)
|
Answer: 5.
Solution. Mark a point $T$ on the extension of segment $L M$ beyond point $M$ such that $M T=2$. Angles $B L K$ and $T M K$ are equal because they are adjacent to the equal angles of the isosceles triangle $K L M$. Therefore, triangles $B L K$ and $T M K$ are congruent by two sides and the included angle. Then their corresponding angles are equal: $\angle K T M=\angle K B L=60^{\circ}$.

In triangle $K B T$, two angles are $60^{\circ}$, so it is equilateral, and $B K=B T$. Since triangle $A B C$ is also equilateral and $B A=B C$, then $C T=B C-B T=B A-B K=A K=3$ (and point $T$ lies on side $B C$, not on its extension). Then $C M=C T+M T=3+2=5$.
Second solution. Draw the height $K H$ of the isosceles triangle $K L M$. It is also its median, so $L H=H M$. Let $L H=H M=x$. Triangle $K B H$ is a right triangle with angle $B$ equal to $60^{\circ}$, so its hypotenuse $K B$ is twice its leg $B H$. Since $B H=2+x$, then $K B=2 B H=4+2 x$, and thus $B A=B K+K A=4+2 x+3=7+2 x$. Triangle $A B C$ is equilateral, so $B C=B A=7+2 x$. Therefore, $M C=B C-B M=(7+2 x)-(2+2 x)=5$.

|
5
|
Geometry
|
math-word-problem
|
Yes
|
Yes
|
olympiads
| false
|
Problem 3. Senya cannot write some letters and always makes mistakes in them. In the word TETRAHEDRON he would make five mistakes, in the word DODECAHEDRON - six, and in the word ICOSAHEDRON - seven. How many mistakes would he make in the word OCTAHEDRON?

|
# Answer. 5.
Solution. If Senya mistakenly writes D, then out of the letters O, E, K, A, E, R, which are also in DODEKAEDR, he makes three mistakes and writes three correctly. But all these letters, except E, are also in IKOSAEDR, which means he will write at least two letters correctly and cannot make 7 mistakes. Therefore, Senya writes the letter D correctly. Then he inevitably makes mistakes in writing all the other letters in the words DODEKAEDR and IKOSAEDR, and in the word TETRAEDR, he writes the letter D correctly and also writes the letter T correctly, but makes mistakes in all the others. Now it is clear that in the word OKTAEDR, Senya will make five mistakes.
|
5
|
Logic and Puzzles
|
math-word-problem
|
Yes
|
Yes
|
olympiads
| false
|
Problem 4. Seven cities are connected in a circle by seven one-way flights (see figure). Assign (draw with arrows) several more one-way flights so that from any city to any other, one could get there with no more than two transfers. Try to make the number of additional flights as small as possible.

(up to 6 points) (V.A. Klepinin)
|
Solution. An example with five additional flights is shown in the figure. It can be proven that it is impossible to add a smaller number of flights.

|
5
|
Combinatorics
|
math-word-problem
|
Yes
|
Yes
|
olympiads
| false
|
Problem 6. Each face of a cube $6 \times 6 \times 6$ is divided into $1 \times 1$ cells. The cube is covered with $2 \times 2$ squares such that each square covers exactly four cells, no squares overlap, and each cell is covered by the same number of squares. What is the maximum value that this identical number can take? (Squares can be bent over the edges.) [8 points] (A.V. Shyakov)
|
Answer: 3.
Solution: Estimation. A cell in the corner of a face can be covered in three ways (entirely within the face, with a fold over one edge of the corner, with a fold over the other edge of the corner). Therefore, each cell is covered by no more than three squares.
Example. Consider the usual covering of a cube with squares, where each face is covered by nine squares. From the usual covering, we can obtain a rotated one: leave two opposite faces untouched, and on the other four faces, shift all squares in a ring by one cell. Since a pair of opposite faces can be chosen in three ways, there will be exactly three rotated coverings. We will show that no two squares on coverings rotated differently coincide.
Indeed, consider one face. On the diagram, the centers of the squares covering it are marked: with crosses if this face was not shifted, with black and white dots if it was shifted in one or the other direction. It is clear that no centers, and therefore no squares, coincide.

|
3
|
Combinatorics
|
math-word-problem
|
Yes
|
Yes
|
olympiads
| false
|
4. Petya observes two ants crawling along a straight path at constant speeds. After 3 minutes of observation, the distance between the ants was 9 meters, after 5 minutes - 5 meters, after 9 minutes - 3 meters. What was the distance between the ants after 8 minutes of observation?
$[5$ points]

| 1a | 1b | 2a | 2b | 2c | 2d | 3a | 3b | 3c | 4 | $\Sigma$ |
| :--- | :--- | :--- | :--- | :--- | :--- | :--- | :--- | :--- | :--- | :--- |
| | | | | | | | | | | |
| | | | | | | | | | | |
|
4. The faster ant is ahead of the slower one and is moving away from it.
It is clear that situation 1 can over time turn into situation 2, and situation 3 can turn into situation 4. But if the ants at some point find themselves in situation 2 or 4, then from that moment on, they will always be moving away from each other.
We know the distance between the ants at three moments in time. Note that between the first and second moment, 2 minutes have passed, and the distance between the ants has decreased by 4 meters. Between the second and third moment, 4 minutes have passed, and the distance has decreased by 2 meters. Since the distance decreased both times, we can be sure that 3 minutes and 5 minutes after the start of the observation, the ants were not in a "moving away" state, meaning they could only be in states 1 or 3.
If the meeting between them had not occurred in the next 4 minutes (from the 5th to the 9th minute), they would have remained in the same state (1 or 3) and continued to approach each other at a rate of 4 meters in 2 minutes, meaning they should have closed the distance by 8 meters in 4 minutes. However, the distance between them decreased by only 2 meters, so at some point between the 2nd and 3rd moments, a meeting must have occurred.
After the meeting, the ants move away from each other at the same speed they approached (in situations 1 and 2, the speeds of approaching and moving away are equal to the sum of the ants' speeds, while in situations 3 and 4, they are equal to the difference in their speeds). Therefore, in 4 minutes, the distance between the ants decreased from 5 meters to zero and then increased from zero to 3 meters. In total, 8 meters in 4 minutes, which matches the previously found rate of approaching. One minute earlier, the distance was 2 meters less. Therefore, 8 minutes after the start of the movement, the distance between the ants was 1 meter.
|
1
|
Algebra
|
math-word-problem
|
Yes
|
Yes
|
olympiads
| false
|
Subsets and Splits
No community queries yet
The top public SQL queries from the community will appear here once available.